- 易迪拓培训,专注于微波、射频、天线设计工程师的培养
ADS lumped elements for higher frequencies/modes
I would like to simulate an antenna using ADS and lumped elements. The problem is I get only two resonance frequencies despite that the antenna simulated with CST has four resonances. I doubt that it is because of the equations I am using to get the lumped components values they are dependent of the frequency of operation could be that the issue if so How I can fix this ?
Any ideas or suggestions are more than welcomed
Are you sure that the difference between CST and ADS is because of using lump-elements? I guess CST considers lump elements as ideal elements(like what ADS does).
hi Nano_o,
its weird problem you facing. what is the frequency step size you using for ADS simulation? reduce the step size to get more data points so the results will match your CST.
BR
pragash
to verify the cause of disappearance of two resonance frequency, 1st simulate the imported touchstone file or layout without lumped component. if the results matches your CST, than probably you lumped element makes two resonance disappear.
Dear all,
thank you for replying to my question, actually I am trying to simulate the equivalent circuit of the antenna using ADS, in order to compare the results. The formula that I am using allow only to get the lower resonances,How I can get the resonances at higher frequencies ?
thanks once more!
hi Nano_o,
i need more information in order to help you. you are doing EMDS/Momentum simulation in ADS to compare the results with CST simulation for your antenna. Am i right?
what equation you are using in ADS to create lumped component? is this lumped element matching components for the antenna?
Hi pragash,
first, thank you for your time and interest I really appreciate it.
I am trying to build the schematic using RLC elements.
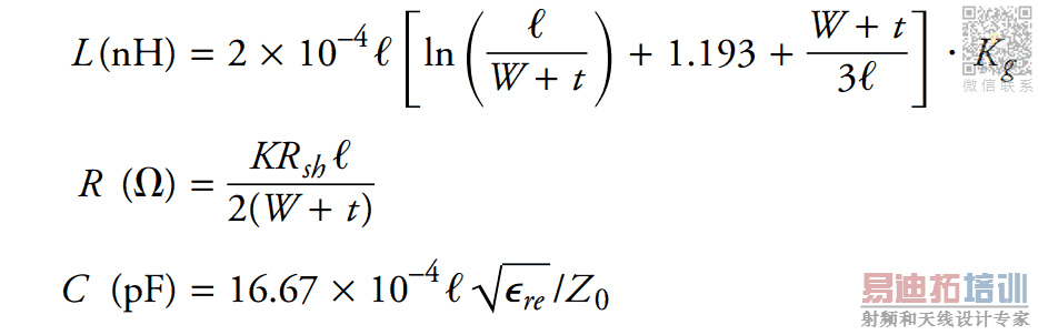
the expressions that I am using are depicted in the picture attached.
As you can see they dependent only on the antenna dimension, I believe that it is why I have this problem. Any suggestions?!

Hi nano,
so you representing antenna structure in CST with lumped element in ADS. am i correct? antenna structure means physical antenna with conductor material and etc. you trying to correlate between equation (ADS) and EM simulation (CST).
this equations created by you? if yes, how did you come out with this equation?
most probably it caused by inaccuracy of this equations in representing the antenna (provided your frequency step size in ADS is small enough). ADS simulation is straight forward so i doubt you have done mistake in that.
are you using ideal component or vendor component libraries/RCL in ADS? if you are using RCL/vendor component libraries, make sure that SRF of the components much higher than resonance frequency of the antenna.
Hi pragash,
Yes that is what I want to do.
Concerning the equations I found it in the literature. they work very well for lower frequencies which leads me to think that I need to add components to my schematic that are dependent only on frequency so I can have the resonances at higher frequency, but as far as I know when the frequency become higher it is difficult to model such a behavior. Any ideas on this matter?!
for the components, I am using the ones from ADS library but they don't have / I could not found where to check the self resonance frequency (SRF).
thank you very much for your help I really appreciate it!
[QUOTE=Nano_o;1480761]Hi pragash,
Yes that is what I want to do.
Concerning the equations I found it in the literature. they work very well for lower frequencies which leads me to think that I need to add components to my schematic that are dependent only on frequency so I can have the resonances at higher frequency, but as far as I know when the frequency become higher it is difficult to model such a behavior. Any ideas on this matter?!
You are right. Every lumped component has SRF. For frequency well below SRF, inductor will be inductor and capacitor will be a capacitor. After SRF, the capacitor will become/behave as inductors and the inductor will behave as a capacitor. There will be huge variation in inductance (for inductor) and capacitance (for the capacitor) when its closest to SRF point. That's why its preferred to select lumped component with SRF way above operating frequency.
ADS components which you select from lumped component tap are ideal components meaning those component does not have SRF. ideal component will behave the same over infinite range of frequency. so your issue should be in the equation you inserted. it has nothing to do with SRF.
申明:网友回复良莠不齐,仅供参考。如需专业帮助,请学习易迪拓培训专家讲授的ADS视频培训课程。
上一篇:ADS_momentum
下一篇:Help needed - Design of class-C RF PA using ADS
国内最全面、最专业的Agilent ADS培训课程,可以帮助您从零开始,全面系统学习ADS设计应用【More..】
- Agilent ADS教学培训课程套装
- 两周学会ADS2011、ADS2013视频教程
- ADS2012、ADS2013射频电路设计详解
- ADS高低阻抗线微带滤波器设计培训教程
- ADS混频器仿真分析实例视频培训课程
- ADS Momentum电磁仿真设计视频课程
- ADS射频电路与通信系统设计高级培训
- ADS Layout和电磁仿真设计培训视频
- ADS Workspace and Simulators Training Course
- ADS Circuit Simulation Training Course
- ADS Layout and EM Simulation Training Course
- Agilent ADS 内部原版培训教材合集
