- 易迪拓培训,专注于微波、射频、天线设计工程师的培养
PBG结构的微带贴片天线设计
由于微带贴片天线具有体积小、重量轻、低剖面、易加工、共形等优点,所以在军事和民用方面都有着广泛的应用前景。众所周知,集成电路的基底是一些高介电常数材料,而微带贴片天线在低介电常数基底上才能获得最佳性能。位于高介电常数基底的贴片天线由于表面波的损耗辐射效率很低,并且频率带宽极窄,当应用的频率变高时这种情况更加突出,导致贴片天线的增益和效率下降,并且在阵列情况下还会有高的交叉极化电平和互耦电平。
为了实现微带贴片天线的集成化,同时避免昂贵的基底混合技术,就必须在高介电常数基底上实现高效率的贴片天线。近年来出现的新型光子晶体贴片天线能够较好地改善以高介电常数介质为基底的贴片天线的性能。光子晶体贴片天线是指基于光子晶体的贴片天线。所谓光子晶体,或称PBG材料,是指将高介电常数的介质周期性的放置所产生的一种人工电磁晶体,该电磁晶体的表面波波矢图在某一频率范围内出现一个频率禁带,简称禁带。通过在贴片天线中人为的引入光子晶体结构,并利用光子晶体的禁带效应,抑制沿基底传播的表面波,增加天线辐射到空间的电磁波,从而改善天线的性能。
本文所采用的高阻抗表面型PBG结构具有结构紧凑、带隙性能好、可以集成等优点,在天线的设计中得到了广泛的应用。
1 PBG天线设计
本文设计的矩形贴片天线,是中心频率为10 GHz的矩形微带天线(辐射元为矩形),馈电方式选为中心侧馈。采用ROGER3010材料做为基板,厚度h=1.28 mm,相对介电常数=10.2。矩形贴片的尺寸为L×W。贴片单元的尺寸由经验公式计算可以得出:

The picture is from: edatop.com
利用ADS自带的计算传输线的软件LineCalc来计算传输线的宽度ω=0.162 mm。
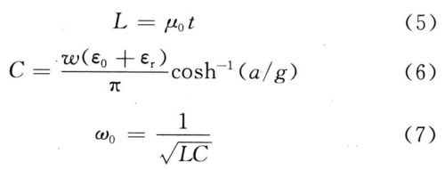
PBG材料的设计首先利用等效媒质模型得到初始的参数,更准确的参数则通过全波数值仿真获得。由于高阻抗表面PBG结构的周期大小远小于工作波长,适合用集总电路元件(电容、电感)组成的等效LC并联谐振电路来描述其电磁特性。像电路滤波器一样阻止沿表面传输的电流。如前所述,蘑菇型高阻抗表面相邻贴片间的电容效应(介质基片既起着支撑作用,又达到增强电容的效果),与金属过孔的等效电感组成集中参数的并联谐振电路。这里有高阻面的设计公式:

The picture is from: edatop.com
式中:εr是介质的介电常数;t是高阻面的高度;g是周期间距;ω是单元边长;a为周期。
最后得到的设计结果是,ω=1.73 mm,g=0.22 mm(如图2(b)所示)。

The picture is from: edatop.com
2 建模与仿真
根据设计的PBG天线的结构,在HFSS中建模并仿真。模型图如图3所示

The picture is from: edatop.com
仿真得到的反射系数图如图4和图5所示。

The picture is from: edatop.com

The picture is from: edatop.com

The picture is from: edatop.com

The picture is from: edatop.com
可以看到回波损耗小于-10 dB的带宽约为600 MHz,参考天线谐振频率为9.96 GHz,PBG微带天线谐振频率为10.05 GHz。PBG天线的谐振频率比参考天线略高,这是因为二者之间的耦合造成的。二者在9.99 GHz具有相同的反射系数-21.28 dB,在这个频率上仿真得到其方向图如图6和图7所示。可以看到PBG结构使方向性有所增强,天线的增益大约提高0.53 dB。PBG贴片天线因为表面波被抑制从而增强了主模的辐射幅度而使增益提高。
3 结 语
本文对高阻抗型PBG结构的微带天线进行了设计和仿真,求解了PBG结构的微带贴片天线和常规微带贴片天线辐射方向图。仿真结果证明,在表面波的影响比较显著的情况下,PBG材料的引入可以有效抑制表面波的传播,提高天线的增益,优化天线的方向图。证明了光子带隙结构确实能够压制表面波,提高辐射增益。得出的结论对微带天线的计算及工程设计上有一定的意义。


