- 易迪拓培训,专注于微波、射频、天线设计工程师的培养
如何调试NFC天线
一. NFC 天线介绍
NFC (Near Field Communication)是一种近距离无线通讯技术,可以在移动设备、消费类电子,PC和智能控件之间近距离非接触地无线通讯。
NFC 应用: 无线支付 、设备间信息互通、考勤门禁系统、公共服务及运输系统、零售业与物流、 安防、 市场营销等。
NFC工作模式: Read & Write / Peer to Peer/ Card emulation.
NFC天线常规形式:

图1
二. NFC线圈设计
目前NFC天线常用材质FPC或PCB
常规设计圈数:4-5
线圈面积:理想(40mm*50mm),一般(30mm*40mm)
线宽尺寸:0.5mm<w <1mm
线距尺寸:0.5mm<g <1mm
铜厚度:控制在大于1盎司
NFC天线总厚度=0.05mm(PFC)+0.05mm(胶厚)+0.25mm(常用铁氧体厚度)

三. NFC天线环境及影响
周边环境影响: 金属物件、电池、PCB、LCD等
环境影响结果:产生涡流(Eddy Currents)
涡流影响:
1. 功率反射
2.天线失谐
3.电感量降低
4.品质因数(Q值)降低
5.改变磁场分布

图2 产生涡流
铁氧体(Ferrite)可减少涡流:
1.功率不反射
2.控制天线失谐
3.增加电感量
4.提高品质因数(Q值)
5.改变磁场分布

图3 减少涡流
铁氧体尺寸选择对NFC天线性能起到关键作用,下图为铁氧体大小对涡流改善情况。

图4
四. NFC天线设计原理及要求

图5
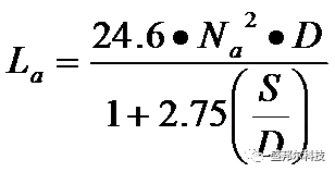
上图是圆形NFC天线模型: D天线均值匹配 ,S天线宽度 , Na线圈匝数

圆形NFC天线电感值计算-公式1

图6
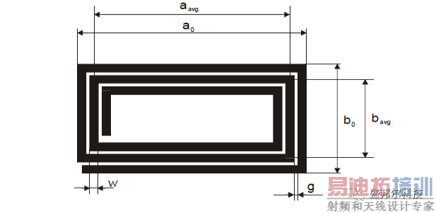
上图是矩形NFC天线模型:a0线圈长度 , b0线圈宽度,w线宽 ,g线距

矩形NFC天线电感值计算-公式2

由上述公式可知,当g、w值增大,La值降低;当a0、b0增大,La值增大。
下面了解下NFC天线磁场强度与哪些因素有关。

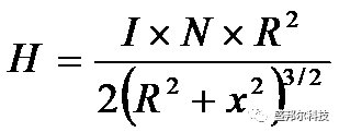
圆形NFC天线磁场强度计算-公式3
H:磁场强度 I:电流强度 N:线圈匝数 R:线圈半径 x:读取距离

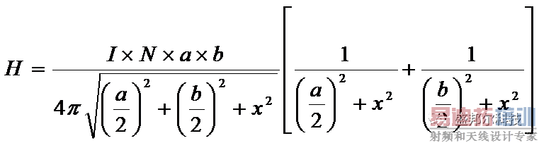
矩形NFC天线磁场强度计算-公式4
H:磁场强度 I:电流强度 N:线圈匝数 a:线圈长边长度 b:线圈短边长度 x:读取距离
根据公式4可知, 当x《a及x《b,即离线圈比较近处,磁场强度几乎不变;当x逐渐增大,则磁场强度在慢慢的衰减,因此NFC天线读取的距离不能达到很大,天线一般读取距离在0-10cm。
五. NFC天线调试
NFC天线治具制作如下图:
图7
上图3、4为测试NFC线圈本身参数治具焊接点,且两0欧姆需断开;上图1、2为调整NFC匹配治具焊接点,电源线需断开。
NFC天线线圈无源参数

图8
上图8为图7中3、 4点测试出线圈的阻抗图,即1MHz谐振频率测试及自谐振频率测试。
线圈等效电路如下:

NFC天线线圈无源参数要求:

根据上图8中可知线圈参数如下:


图9
上图9为图7中1、 2点测试的阻抗图,蓝色圈区域的频率阻抗可根据NFC芯片阻抗来调整。 读卡器模式谐振频率要求:fres=13.56MHz ,卡模式谐振频率要求:fres=14.5 ~16 MHz。
六. NFC天线认证测试
NFC天线过认证对读卡距离要求参考

NFC常用协议标准有:
1. ISO/IEC 标准 2. NFC Forum标准 3. EMVCo 标准 4. 其它 (如 Mifare ultralight 、Sony FeliCa等)
下面简单介绍下NFC Forum测试情况:
NFC Forum协议测试设备Micro Pross MP manager 2.7.5
NFC Forum测试治具有六种:NFC Forum Poller 0/3/6; NFC Forum Listener 1/3/6。
NFC Forum测试套件:总测试项为1533,其中设置项为51,poller 0(301项),poller 3(294项), poller 6(294项),listener1(198项)listener3(196项), listener6(196项)。
NFC Forum 测试坐标如下图。

本文章是根据实际项目调试所得出的一些心得,有不对之处,还请各位多多指正,非常感谢大家细心的阅读!



