- 易迪拓培训,专注于微波、射频、天线设计工程师的培养
技术文章||RFID 系统中的PCB 环型天线设计
关键词:PCB 环型天线,设计,RFID 调试
摘要:本文实现了RFID 系统中的一种PCB 环型天线设计。在对天线的工作原理进行分析的基础上,提出基于13.56 MHz、200 mw 的低功率阅读器的天线设计方法,并给出天线的设计和调试过程。
引 言
天线是一种转能器。发射时,它把发射机的高频电流转化为空间电磁波;接收
时,它又把从空间截获的电磁波转换为高频电流送入接收机。对于设计一个应用于射频识别系统中的小功率、短距离无线收发设备,天线设计是其中的重要部分。良好的天线系统可以使通信距离达到最佳状态。天线的种类很多,不同的应用需要不同的天线。在小功率、短距离的RFID系统中,需要一个通信可靠、价格低廉的天线系统,PCB 环型天线是比较常用的一种。
所设计的RFID 阅读器使用的射频芯片是RI-R6C-001A。由于该芯片要求的天线
阻抗为50 Ω,工作于13,56 MHz,因此在设计中,采用PCB 环型天线。PCB 环型天线是电小环天线的一种。所谓电小环天线,一般定义
为其中:l 为天线的最大几何尺寸;λ 为工作波长。
1 PCB 环型天线的设计
天线主要是基于TI 公司的ASIC 设计的,用于200mW 的低功率阅读器,适合于
所选的射频芯片。图1 是制作的PCB 环型天线。

图2 显示了该矩形环型天线的几何尺寸。
图中将要在计算中用到的物理参数有以下4 个:A1,环型天线宽度(m);A2,环型天线长度(m);B1,环型导体厚度(m);B2,环型导体宽度(m)。
对于PCB 环型天线,导线厚度B1 就是TOP 层上铜走线的厚度。在计算天线的参
数时,矩形天线可以简化为一个正方形等效电路模型,而二维平面的环型导体可以等效为圆形截面的导线。由图2 可知,正方形等效电路的边长为:
这个等效边长在以后的环面积、感应系数的计算中都要用到。环型导体等效导线截面圆半径B 由下式给出:

在静电学上,等效圆导线半径表示该半径下的圆导线所具有的电容与截面是非圆形导体所具有的电容相等。下面分析环型天线的等效电路。环型天线激励点的电压和电流通过环的输入阻抗联系起来,即V=ZI0。为了评估用于天线谐振的电容Z′IN,环型天线的输入阻抗必须确定;同样,为了评估天线效率和辐射阻抗,环型导体内的欧姆损耗和其他欧姆损耗也必须确定下来。在发射模式下,环型天线输入阻抗的等效电路如图3 所示。

环型天线输入阻抗ZIN 可由下式给出:

式中:RR 为辐射电阻;RL 为环型导体损耗电阻;RX 为额外欧姆损耗电阻;LA 为环型天线电感;L1 为环型导体电感。
辐射电阻为:

式中:
为谐振频率;RR 单位为Ω。
环型导体损耗电阻为:

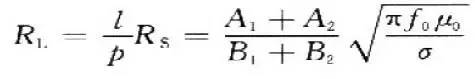
式中:l 为金属环形导体长度,p 为环形导体交叉部分的周长,RS 为导体表面电阻,μ0 为4π×10-7H/m;σ 为导体电导率;R1 单位为Ω。
额外欧姆损耗电阻主要来自电容CP 上的等效串联电阻:

式中:RX 的单位为Ω。
环型天线的品质因数Q 主要决定于CP 上的等效串联电阻。一个与CP 并联的电阻RQ可以用来控制天线的品质用数Q,这个电阻的加入会减小天线的输入阻抗。图3 中,并联于输入阻抗ZIN 的电容CP 起谐振天线的作用,用于抵消在工作频率下的输入阻抗ZIN 的虚部;CP 也可用来表示分布寄生电容。CP(单位为F)由下式给出:

另外,天线的Q 值必须与用来调谐天线到正确频率的电容相匹配。环型天线的Q
值可以根据下式来选择:

式中:tol 变量是电容的误差值。这一等式的基础是假定由电容变化引起的辐射功
率变化不超过3 dB。
?
2 PCB 环型天线的调试
设计的PCB环型天线必须再接一些附加元件才可以使用。调试的过程就是通过专
用仪器确定这些附加的参数,以保证天线的输入阻抗等于50Ω;同时使输入信号的相移最小(最好是0),调试电路如图4 所示,作用是调节所设计的天线的两个可调电容。具体做法是接上电容值尽可能接近理论值的c。、G,然后分别并联一个理论值为l/5~1/10 的呵调电容,反复调节,使输入阻抗尽可能接近50Ω,同时相移最小。

将调试好的C1、C2 接到PCB 板天线上,然后通过同轴电缆接到阅读器上,即可
满足要求。具体调试流程如图5 所示。

在输入阻抗为50Ω 情况下,如果相移大于O,则减小C1;如果相移小于O,则增
大C1。在相移等于O 的情况下,如果阻抗小于50Ω,则减小C2;如果阻抗大于50Ω,则增大G2。3 天线调谐和天线匹配的研究
3.1 调谐电容的研究
带有天线的阅读器的等效电路如图6 所示,产生交变磁场所需的导体回路由线
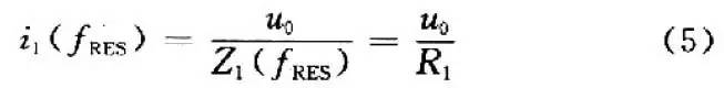
圈L1 表示,串联电阻R1 相当于导体回路L1 中线绕电阻的欧姆损耗。为了在阅读器的工作频率为fTX的情况下在导体回路L1 中获得最大的电流,从而产生最大磁场强度H,经电容器C1 的串联形成了谐振频率fRES=fTX 的串联谐振电路。

图6 中,阅读器的发送器出口产生高频电压u2,接收器直接与天线线圈L1 相连
接。串联谐振电路的总阻抗Z1 为各项单阻抗之和,即:
对谐振频率fRES 来说,L1 和C2 的阻抗相互抵消。总阻抗Z1 仪由R1 确定,并达到最小值。此时,天线电流i1 在谐振频率的情况下达到最大值,并且(假没为理想电压源的情况下Ri=0)由发送器终端级的电源电压u0 和线圈电阻R1 可以算出:

跨导体回路电感的电压u1 和电容器C1 上的电压uC1 是反相的,并且由于电流
i1 在谐振频率的情况下相互抵消。然而,单项值可能很大。尽管电源电压u0 很小,多为几伏,但在L1 和C1 上很容易达到几百伏的数值。因此,在设计具有高电流的回路天线时,一定要注意使用的元件;特别是电容器应有足够的耐压强度,否则很容易被击穿破坏。
3.2 天线连接的匹配研究
根据阅读器所使用的频率范围,使用不同的方法将灭线线圈连接到阅读器发送
器的输出端.通过功率匹配将天线线圈直接连接到功率输出级,或通过同轴电缆馈送到天线线圈。图7 为采用50Ω 技术的电感耦合式射频识别系统的电路图。天线线圈L1 在射频识别系统的工作频率范围内表现为阻抗ZL。为了实现与50Ω 系统的功率匹配,必须通过无源的匹配电路将此阻抗转换为50 n,然后通过同轴电缆即可几乎无损失且无辐射地将此功率从阅读器末级传送到匹配电路。

结语
经过调试,所设计的PcB 环型天线已经可用于所设计的基于RI—R6c—001A 射
频芯片和PIcl6F874 控制器的阅读器卜,对研究RFID 技术具有一定的参考价值。
关于赛盛技术:
成立于2005年,专注电磁兼容(EMC)等工程技术,为企业提供产品电磁兼容(EMC)问题整改、产品电磁兼容设计、电磁兼容技术培训、体系建设咨询服务。
关于赛盛


