- 易迪拓培训,专注于微波、射频、天线设计工程师的培养
低轮廓车载卫星通信天线的跟踪设计
在车载卫星通信中,由于低轮廓车载天线具有良好的隐蔽性和使用性,应用前景较为广泛。但要实现性价比达到最优,天线跟踪控制器的设计是关键技术之一。在脱离航向引导信息的情况下,要实现车载天线稳定跟踪的控制系统难度较大,提出一种新的跟踪控制策略,使这一问题得到解决。
1 系统组成
天线稳定跟踪控制系统主要由跟踪接收器、控制器、驱动器以及惯性器件组成。跟踪接收器主要提供卫星信标的AGC电平值;控制器主要提供操作和显示接口以及完成控制策略的实施;驱动器主要完成功率放大和控制电机的旋转;轴角编码器主要提供天线方位及俯仰的实时角度;惯性器件主要提供天线载体的扰动信息。天线控制系统组成如图1所示。

The picture is from: edatop.com
2 跟踪控制策略
这里所讨论的天线系统是方位和俯仰波束宽度不对称的车载平板天线,俯仰轴的波束宽度较宽,采用了电扫描的方式,同时辅以倾角仪定位和陀螺稳定补偿,实现了俯仰的稳定跟踪,而方位波束宽度较窄,所以跟踪控制策略主要针对方位进行。
车载天线控制系统具有在抗载体扰动的稳定措施、航向解算的能力才能实现对卫星目标的快速捕获和准确跟踪。在稳定措施实现上,本文采取了前馈稳定技术,利用安装在车体上的速率陀螺提供的载体姿态信息,解算出补偿信号进行开环补偿;航向信息的解算是以天线捕捉到的跟踪接收机的AGC最大值点位置为相对航向初始点,利用速率陀螺积分得到航向的偏移量对方位进行动态实时修正。
2.1 控制环路设计
系统以跟踪接收机所捕捉到的AGC的最大点的方位相对角度值做为初始位置,采用安装在车体3个正交方向上的速率陀螺提供的数据,通过坐标变换,解算出车体扰动所产生的天线方位和俯仰的扰动分量,对天线进行稳定控制,同时将陀螺的输出量进行积分得到位置偏移量,然后用位置环再对位置进行补偿。控制环路如图2 所示。图2中,θi为目标角位置;θo为天线角位置;KaWa(s)为位置环放大校正环节传递函数;KbWb(s)为速度环放大校正环节传递函数;KcWc(s)为速度反馈校正环节传递函数;f为方位陀螺输出。

The picture is from: edatop.com
2.2 跟踪策略
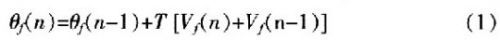
扫描与跟踪是本系统技术实现的核心部分,当目标卫星设定后,通过天线当前经纬度和目标星的经度可计算出天线方位和俯仰的目标角,根据目标角将天线引导到位,以当前位置为中心点进行方位扫描,同时俯仰进行电扫描,直至AGC大于AGC门限。当天线AGC大于AGC门限时将航向置为零,同时采样方位陀螺速度 Vf并进行积分得到车体航向的变化θf。将该角度叠加到步进跟踪的命令角θi,作为新的命令角进行爬坡找最大值。当找到最大值后将航向重新置为零。进入跟踪状态,同时启动陀螺输出积分θf,积分迭代

The picture is from: edatop.com
3 设计应用及试验结果
在某车载平板“动中通”天线控制系统中采用上述设计方法。经测试在直路跟踪精度为0.24 V。转弯跟踪精度为0.35 V。精度计算公式详见文献。转弯跟踪测试结果如图4和图5所示。而直路跟踪测试结果如图6和图7所示。

The picture is from: edatop.com

The picture is from: edatop.com

The picture is from: edatop.com
4 结束语
本文所描述的控制策略,使用倾角仪和3个速率陀螺通过软件实现了车体扰动的隔离以及航向隔离,提高了车载卫星通信天线的性价比。通过对该跟踪算法的测试结果可知,该算法能够满足精度要求,可以用来作为低轮廓车载天线的跟踪策略,推广使用。


