- 易迪拓培训,专注于微波、射频、天线设计工程师的培养
710 MHz LTE天线的去耦合分析
为了提高天线的容量和发射接收速率,LTE通信系统使用了MIMO天线。由于移动终端上空间有限,多个天线间存在较大耦合,天线的辐射效率和通信容量会降低。为了解决这一问题,从S参数的角度推导出了天线的正交辐射模式,提出了通过加入180°耦合器来降低多个天线间耦合的方法。使用HFSS和ADS对设计好的710MHz天线进行联合仿真,结果显示加入耦舍器后,两个天线间的耦合明显减小。这种设计使得该天线可以很好地应用于LTE通信系统的移动终端。
0 引言
LTE项目是3G技术的演进,它改进并增强了3G的空中接入技术,采用OFDM和MIMO作为其无线网络演进的标准。在20MHz频谱带宽下能够提供下行150Mb/s与上行50Mb/s的峰值速率。
为了满足LTE在高数据率和高系统容量方面的需求,LTE系统支持多天线MIMO(Multiple Input Multiple Output)技术,在发射端和接收端同时使用多个天线进行接收和发射,将不可避免地引起多个天线之间的相互耦合,导致天线之间的相关性减小,从而降低通信容量,而且也会降低天线的辐射效率。这种耦合在移动终端天线上表现得尤为明显。通常为了降低天线之间的耦合,要求增大天线之间的距离,而移动终端有限的空间又不能满足此要求,尤其是在700MHz左右的频段,几个天线之间的电气距离通常只有波长的十几分之一,这就更加剧了耦合程度。
在移动终端,通常使用印制板天线,所以本文研究的主要问题也是多个印制板天线之间的耦合问题。印制天线之间的耦合通常包括3个部分:远场耦合;近场耦合;表面波耦合。当多个天线之间的极化方向相同时,就会存在远场耦合,天线之间的距离增大一倍,耦合会减小6dB。当一个天线处于另一个天线的近辐射场时,近场耦合就会发生,耦合与介质的介电常数有关,也与天线之间的距离有关,当天线的距离增大一倍时,耦合会减小12~18 dB。表面波耦合发生在介质层,天线之间的距离增大一倍,表面波耦合减小3dB。当介质的厚度h与波长λ0之间的比值达到一定数值时,表面波之间的耦合将起主导作用。
为了降低多个天线之间的耦合,人们想出了各种办法。其中一种有效的方法就是使用DMN(Decoupling and Matehing Networks)技术。具体的设计方法与实例文献均有论述,但是文中并没有给出具体的理论说明。文献提出了一种采用正交模式分析的方法,通过S参数分析,从理论上给出了一种合理的去耦合方法。本文采用文献给出的S参数分析方法,对文献提出的710MHz天线之间的耦合进行研究,并通过计算设计出一种采用集总参数元件构成的耦合器与匹配网络去掉两个天线之间的耦合。通过HFSS和ADS联合仿真可以看出,S12与S21参数得到了明显改善。
1 一种710MHz双天线的设计
710MHz的频段是LTE使用的一个重要频段,然而在移动终端上,移动设备有限的体积与710MHz较大的波长给设计师提出了苛刻的要求。LET 使用的是MIMO技术,也就是在一个终端上同时存在着多个发射天线,不可避免地引起了天线之间的耦合,降低了通信容量。文献提出了一种曲线形双天线,这种紧凑的结构符合了移动终端对体积的要求。但是紧凑的结构也引起了天线之间较高的耦合。
天线的结构设计如图1所示。天线工作在710MHz的频段,由两个曲线单极子天线组成。两个天线印制在FR4介质板上(介电常数等于4.6,介质厚 1mm)。天线走线的宽度是1mm,走线之间的距离也是1mm。两个天线之间的距离是6mm,天线端口接1.8mm的微带线馈电。使用HF-SS 12进行仿真,可以得出S参数如图2所示。可见S11的性能很好,然而天线之间的耦合S12过大,难以满足LTE对天线工作性能的要求。

The picture is from: edatop.com
2 S参数的去耦合分析
为了提高天线的辐射效率,学者们提出了DMN技术,即在多个天线的输入端先加耦合器以去掉天线之间的耦合,然后加匹配网络,如图3所示。文献对这种方法进行了详细论述,并阐述了用S参数分析正交模的方法。下面对一个二端口网络的天线进行S参数的分析。

The picture is from: edatop.com
双天线系统是一个无源二端口网络,用ai表示第i个端口的入射波,用bi表示第i个端口的反射波。入射波矢量a=(a1,a2)T,反射波矢量b=(b1,b2)T,其中:T表示矩阵的转置。则有:
![]()
所有的波矢量都是复数,则入射功率和反射功率由下式给出:

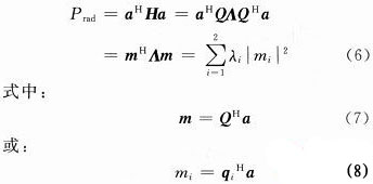
式中:|·|表示复数的模,上角标H表示厄米特转置。那么,辐射功率就可以表示为:

式中:H就是辐射矩阵,并且辐射矩阵是个厄米特量(HH=H),而厄米特矩阵是可以通过一个相似变换而对角化的。因此有:

式中:A=diag{λ1,λ2},而Q是幺正的(即QQH=I)。根据厄米特矩阵的性质,两个正交值λ1和λ2都是实数,并且小于等于1。将式(5)代入式(4)得:

则Q矩阵的第i列qi就称为天线阵列的正交模式。|ai|2表示第i个端口的入射功率;|mi|2表示第i个正交模式的激发功率。由于Q的幺正性,有|a|2=|m|2,这就保证了入射总功率等于激发起的正交模总功率。而λi则反应了正交模式的辐射效率。
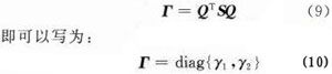
与辐射功率相对的是反射功率。根据(5)式及厄米特矩阵的性质,如果Q可以将H化为对角矩阵,则S也可以化为对角矩阵。有:

The picture is from: edatop.com
则反射矢量可以写为:

The picture is from: edatop.com
为了使正交模式的辐射效率最大,文献和文献详细论述了等效耦合参数的方法。对于一个双天线系统,等效去耦合网络如图4所示,其中S是天线的反射参数,SD是去耦合网络的反射参数,文献指出加入了去耦合系统的S参数可以表示为:

The picture is from: edatop.com

The picture is from: edatop.com
则等效天线的Ss参数将是对角化的,并且它的等效天线输入端口将是去耦合的。Q的列向量也就是天线的正交辐射模式。下一节将使用以上理论分析第1部分设计的天线的参数,并将其输入端的耦合去掉。
3 等效耦合器的设计
对于一个双天线系统,应该有两个正交模同时存在,去耦合网络是一个四端口网络,正交辐射矩阵可以写为:

The picture is from: edatop.com
这是一个180°定向耦合器,也称为rat-race网络,如图5所示。物理上可以通过微带实现,如图6所示。然而对于第1部分提出的710MHz 天线,由于波长太长,这样的耦合器在移动设备上无法实现。为了实现去耦合,可以用贴片电感和电容做出成等效传输线,从而用电感和电容做成一个耦合网络,这就可以显著降低耦合器占用的体积。如图7所示,一个等效1/4波长传输线可以用两个电容和一个电感来等效代替。电容和电感的计算公式为:

The picture is from: edatop.com

The picture is from: edatop.com
由于第二部分设计的天线传输线阻抗是50Ω,所以1/4传输线的阻抗是70.7Ω,将710MHz代入,则可以求得 L=15.8nH,C=3.17pF。这样,就可以设计出180°的混合耦合器如图8所示。将耦合器的3,4端口通过通孔连接天线,1,2端口接馈电网络,就可构成一个双天线的去耦合系统。

The picture is from: edatop.com
4 710MHz的LTE双天线与去耦合网络的联合仿真
本文使用ADS对双天线系统的去耦合网络进行仿真。先在ADS中设计出耦合器的电路,如图8所示,然后将第1部分设计的LTE天线使用HFSS仿真出的S参数导出为SNP文件,最后将SNP文件导入到ADS中,进行联合仿真。SNP文件的两个输入端口接耦合器的3、4端口,耦合器的1,2端口接馈电端。仿真结果如图9所示。可见,加入了去耦合网络后,S12和S21降到了30dB以下。由于输入端口存在着不匹配,所以S11和S22太大,不能满足要求,这可以通过在馈电端口加入匹配网络来改善。通过ADS的优化设置,可知当匹配网络先并联一个3.815nH电感,再串联一个14 nH的电感后,S11和S22均可以达到满意的效果,S12和S21也进一步减小到-35dB以下。加入匹配网络后的仿真结果如图10所示,从图中也可以看出,S11只是在一个很窄的带宽内满足要求,这也是DMN技术的局限。

The picture is from: edatop.com
5 结语
本文从s参数的角度分析了一个双天线系统的去耦合方法,并通过一个天线设计实例,使用HFSS和ADS进行去耦合前和去耦合后的仿真。结果显示加入去耦合网络和匹配网络后两个天线间的耦合可以降低至-35dB以下,反射系数也可达到-15dB以下,这满足了工作于710MHz的移动设备的要求。下一步的研究工作将是如何增加耦合器的带宽,从而使这种设计能够灵活工作于一个更宽的频带。


