- 易迪拓培训,专注于微波、射频、天线设计工程师的培养
双频圆极化GNSS天线设计
0 引言
全球卫星导航系统(GNSS)由于其具有全能性(陆地、海洋、航空和航天)、全球性、全天性、连续性和实时性的导航、定位与定时功能,能为各类用户提供精密的三维坐标、三维速度和时间信息,而备受人们青睐。天线作为卫星导航系统的终端起着举足轻重的作用,其性能直接影响着整个系统。
通常应用于全球卫星导航系统的终端天线有四臂螺旋天线和微带天线两种形式。四臂螺旋天线通过改变其物理尺寸可形成不同的辐射方向图来满足不同空间的应用需求,但由于其成本高,轴向尺寸大等缺点极大地限制了它的发展。与此同时微带天线的出现使人们看到了希望,由于其体积小,剖面低,能与载体共形,易于实现圆极化等优点受到了人们的极大关注,而频带窄,增益小等缺点也阻碍着其发展,但同时吸引着大量的研究。目前基于不同馈点个数,和新型贴片结构的微带天线得到了广泛的研究。Chari Ricky和Mak Chi-Lun等人提出了通过在贴片上开E型槽来得到满意的带宽,但这种方法所设计的天线尺寸很大。在文献中介绍了加载短路销钉的圆形微带天线和矩形微带天线,在天线的工作频率上,天线的尺寸缩小了89%。本文结合上述两种方法提出并设计了一种新型的层叠结构的微带天线,通过在贴片上对称的开四个槽,并利用使各馈点之间的相位相差90°的旋转馈电技术,有效地扩展了天线的阻抗带宽,并使天线的尺寸减小了26%。
1 腔膜理论分析
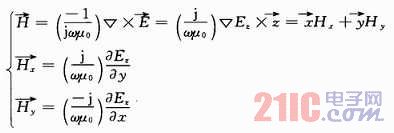
选择如图1所示的坐标系,当h<<λ0时,假设贴片与接地板之间的磁场只有Hx和Hy分量,电场只有Ez分量,内场不随z坐标变化,四周为磁壁,贴片和接地板之间为电壁。

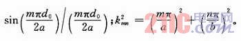
Ez满足波动方程:


由麦克斯韦方程组可解得Hx和Hy:

即得到腔内的场分布,同时可得到天线的谐振频率为:
![]()
由以上计算可得天线的贴片尺寸a和b,其中a和b是考虑了边缘效应后的等效尺寸,它与物理尺寸a’和b’之间的关系为:

分别为基片的厚度和等效介电常数。
2 天线模型的设计及优化
基于腔膜理论结合表面开槽法(曲流技术)和短路销钉加载技术,本文设计并优化了一种新型的小型化层叠结构的微带天线,其结构如图2所示。它由上、下两层贴片,短路探针及同轴线组成,采用双层贴片,上、下两层选用相同介电常数的聚四氟乙烯材料(相对介电常数εr1= εr2=4.4,损耗角正切值为tanδ=0.001),基片厚度为4 mm。同轴线通过下层贴片的钻孔连接到上层贴片,下层贴片是上层贴片的寄生单元,通过探针直接馈电。通过调节上、下两层贴片的尺寸实现L1(1.575 GHz)和L2(1.227 GHz)两个谐振频率。基于波瓣宽度、效率及带宽性能的考虑选用正方形微带贴片作为辐射单元,并在贴片边缘对称地开四个矩形槽,既保证了这种单元结构的对称性,同时可实现良好的正交极化辐射特性;又可通过调节所开矩形槽的尺寸,在反射损耗基本不变的情况下极大地改善了天线的轴比带宽,使其轴比带宽在一定程度上得到了扩展;同时由于在贴片上开槽使贴片的表面电流路径增长,降低了其谐振频率,从而减小了贴片的尺寸,使其满足了实际应用中要求的指标。

3 结语
应用腔膜理论和时域有限差分法分析并设计了双层结构微带层叠结构。该层叠结构微带天线的设计结合了曲流技术和加载短路销钉技术,使用CST电磁仿真软件仿真。仿真结果表明,该天线的增益、阻抗带宽等均优于同结构的矩形贴片微带天线,完全满足GNSS天线的性能要求,天线还具有结构简单、体积小、易于加工等诸多优点,有望在无线通信领域中得到重要的应用。


