- 易迪拓培训,专注于微波、射频、天线设计工程师的培养
一种宽带圆形阵列天线的矩量法分析
作者:曹卫平,张 鹤 桂林电子科技大学
0 引言
在众多的对线天线及线天线阵分析方法中,矩量法以其计算精度高、计算速度快、适用性强等特点得到了广泛的应用。通常利用矩量法分析阵元间互耦时将阵元近似为细线模型,此时线天线电流近似沿振子轴线流动,这种分析方法在阵子半径r<0.01λ时可以取得较为精确的计算结果,然而,当天线振子的尺寸比较大时,利用此方法就会得到错误的结果。
为实现较粗振子间的互耦分析,在矩量法的基础上,文中提出了一种能够精确建模分析较粗线天线的方法。该方法采用正弦差值基函数与点匹配法,对Pocklington方程的计算采用全域线天线积分核,以实现对天线的精确分析。为验证该分析方法的正确性,文中就此设计阵列天线分别进行了仿真和测试,达到了预期的结果。
1 基于正弦差值基函数与点配法的矩量法
在线天线矩量法的计算中,基函数的选取对实现天线快速分析具有很大的影响,本文采用如下形式的基函数:

式中,zn是第n个分段的中点,△n是该分段的长度,An,Bn,Cn是3个未知量,将其中的一个作为待求变量,利用电流、电荷连续性方程可将另外两个变量的表达式求出。由于该基函数能够很好地模拟天线的实际电流,因此使用该基函数能够获得较快的收敛特性。
图1所示,为较粗线天线的矩量法模型。

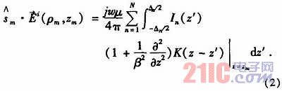
将(1)式表达的电流代入Pocklington方程,采用点配法得到如下公式:

其中m=1,2,3,…,N表示分段数目,(ρm,zm)为第m个分段的中点坐标,
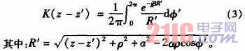
为第m个分段电流方向的单位向量,w表示角频率,μ为空间磁导率,In(z’)为第m分段上电流表达式,K(z-z’)通常被称为线天线的积分核,其表达如下:

将表达式(1)代入(2)且考虑到阵元采用较粗线天线,可知,在公式展开整理的过程中将涉及如下3个积分公式:

对于场点距源点较远的情况下,利用数值方法计算公式(4)、(6)、(7)、(9)能够得到精确的结果,但是当场点与源点距离非常近时,就要处理奇异点区域积分的问题。
对奇异点处理的问题,文献给出了一种处理奇异点区域积分的问题的方法。
在奇异点附近的区域,对公式(4)和(7)分别做如下处理:

(10)式第二项积分变化比较平稳,运用通常数值积分方法可进行计算,对于第一项做如下变换。


为第二类完全椭圆积分。
式(15)中的前两项可借助椭圆积分计算结果,最后一项的计算,取
代入,可知其变化平缓,运用常用数值积分方法可计算出其精确结果。
2 天线阵设计和测试
我们现在设计一宽带圆形阵列天线,此天线为6元阵列(见图2)。根据设计要求,阵元采用较粗线天线,阵元半径为:a=0.035 m,阵元总长度为:l=0.45 m,阵列半径:R=0.3 m,天线的工作频率为300 MHz~500 MHz。

由于天线的工作频段比较宽,为了方便验证和不失一般性,本文分别就阵列天线工作在300 MHz、500 MHz两个频点进行比较和分析。
2.1 6阵元同幅同相馈电时的全向辐射特性分析
我们分别利用基于正弦差值基函数与点匹配法的矩量法、CST软件对阵列天线进行了设计和仿真,并和实验测试进行比较,其H面方向图如图3所示:


从图3(a)可以看出,频率f=300 MHz时,由矩量法数值计算所得方向图与CST仿真方向图几乎重合,测试所得的方向图在整个圆周上有波动,但其不圆度仅为0.2 dB左右。图3(b)中,当工作频率在500 MHz时,三种结果都比较吻合。但由于阵列半径的电尺寸变大,矩量法数值计算、CST仿真、实验测试得到的方向图不圆度均有所变差。由于天线振子的制作工艺影响及各阵元通道不一致性,以及测试环境的影响,从而导致了实测方向图比数值计算和软件仿真要差一点,但其不圆度在工程上处于可以接受的范围之内。
2.2 6阵元同幅异相馈电时的波束赋形定向特性分析
基于正弦差值基函数与点匹配法的矩量法结合遗传算法在300 MHz及500 MHz两个频点分别对天线阵进行波束赋形,得出天线阵各端口相位分布如表1。


天线H面方向图如图4。由图4(a)知,频率f=300 MHz时,矩量法数值计算结果与CST仿真结果比较一致,实验测试结果相比而言副瓣方向有所偏移且尾瓣电平有所改变。图4(b)中,频率f=500 MHz时,相对于4(a),实验测试结果与矩量法计算结果和CST仿真结果的差异有所增大,但从影响天线性能的关键参数,如:主波瓣方向、主波束宽度、主副瓣电平比等来看,三种情况的结果差别并不大,对天线的性能没有多大影响。
3 结论
本文就目前分析阵列天线互耦特性所存在的问题,提出了一种基于正弦差值基函数与点配法的矩量法,并对Pocklington方程的计算采用全域线天线积分核。采用此方法对宽带圆形阵列天线进行了分析和设计,得出的结果与CST仿真结果和实验测试结果进行对比,取得了较好的一致性,从而验证了该分析方法的有效性。


