- 易迪拓培训,专注于微波、射频、天线设计工程师的培养
基于频率选择和高仰角天线的通信盲区解决方案
作者:谢婷婷,徐 军,蒋云阳,贾宁宁
在模拟系统的设备跟踪研制过程中,短波通信因其具有机动性强、抗毁能力强和跨地平线超视距通信的能力,受到亲睐。然而,短波通信有一个明显的缺点,即在20~100 km范围内,通常存在通信盲区的问题,给网络的连续通信带来了严重影响。因此,解决通信盲区的问题,成为保证实现模拟系统短波连续通信的关键。文中结合短波通信的特点和工程应用实际,从两种途径讨论了有效克服通信盲区的方法,并分析了技术实现的可行性,最后提出了一种采用较低频率和高仰角天线的通信技术,有效地解决了某型模拟系统短波通信的盲区问题。
1 盲区的形成原因
短波通信使用的无线电频率为3~30 MHz。短波的传播方式主要分为地波传播和天波传播两种形式,如图1所示。

1.1 地波传播
沿大地与空气的分界面传播的电波,叫地面波或表面波,简称地波。其传播途径主要取决于地面的电特性。地波在传播过程中,由于部分能量被大地吸收,很快减弱,波长越短,减弱越快,因而传播距离不远。
1.2 天波传播
天波是指由天线向高空辐射的电磁波受到天空电离层反射或折射后返回地面的无线电波。天波是短波的主要传播途径。短波信号由天线发出后,经电离层反射回地面,又由地面反射回电离层,可以多次反射,因而传播距离很远,而且不受地面障碍物阻挡。但电离层对一定频率的电波反射只能在一定距离以外才能收到。
1.3 通信盲区
由于天波不能到达跳距以内的区域,地波则随距离的增加场强会急剧衰减,因此,在跳距以内存在着地面波和天波均不能到达的区域,这个区域成为盲区。
一般来说,地波的传播距离可达20~30 km,而天波经电离层反射的第一跳落地跳距约为80~100 km,可见20~100 km之间通常是短波通信的盲区。假设发射天线是无方向性的,则盲区就是围绕发射机的某一环形区域,如图2中灰色区域所示。盲区内的通信大多较困难。

2 改善盲区的途径及其可行性分析
通过分析盲区产生的机理,文中从两种途径讨论了有效克服盲区的方法,并从工程应用方面分析了技术实现的可行性:一是加大电台发射功率及选择较低频率以延长地波传播距离r1,二是选用高仰角天线,缩短天波第一跳落地的距离r2。所谓仰角是指天线辐射波瓣与地面之间的夹角。仰角越高,电波第一跳落地的距离越短,盲区越少,当仰角接近90°时,盲区则基本不存在。
2.1 发射功率对短波通信盲区的影响
为保证接收点处电台的接收功率能达到信号识别所需的功率值,随着地波传播距离r1的不断延长,电台的发射功率逐步加大,可以通过以下步骤计算要有效克服盲区所需的发射功率,从而分析其可行性,具体如表1所示。
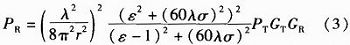
设接收功率为PR,则
![]()
式中,PT为发射功率,GT为发射天线增益系数,GR为接收天线增益系数,r为通信距离,W为地面衰减因子。
W主要反映电波在传播过程中的能量损耗,其表达式为
![]()
其中,ρ是一个无量纲的参数,ε是地面的相对介电常数,σ为地面电导率。
将式(2)代入式(1)得
![]()
由式(3)可以看出,地波传播时接收功率PR与传播距离r的4次方成反比,即在接收功率pR一定的条件下,发射功率PT与传播距离r的4次方成正比,随着传播距离r的增大,发射功率PT会大大增加。
设接收功率PR一定,即电台在各距离的接收功率为10-10W,在实际工作中,地面主要以干土为主,因此取地面的电参数ε=4,σ=10-3S/ m,令增益系数GT=GR=1,取波长λ为100 m,则随着通信距离r的不断增大,电台需要的发射功率值如表1所示。

由表1可看出,要保证接收点处电台的接收功率PR能达到信号识别所需的功率值,电台的发射功率PT需要达到较大值。
对于该型模拟系统而言,一方面由于短波设备为舰载或机载,使得电台承受功率不会很高,一般为125 W,另一方面,加大发射功率,设备成本就会升高,性价比将下降。因此,工程应用中通过加大电台发射功率来克服盲区问题的方法是不可行的。
2.2 频率对短波通信盲区的影响
从式(3)中可以看到,在发射功率PT和接收功率PR一定的条件下,通信距离r与电波波长λ成正比,即随着电波波长λ的增大,传播距离r也会增大。
电波频率越低,波长越长,地波能传播的距离r1更远,盲区范围会慢慢缩小,因此较低频率有利于解决盲区问题。
2.3 天线仰角对短波通信盲区的影响
如图3所示,以电离层E层110 km的高度计算,要保证电波经电离层反射后第一跳的跳距可与地波传播最远距离30 km无缝接续,则通过三角计算可知天线的发射仰角θ至少应为86°,也就是说,要解决短波通信盲区问题天线必须满足高仰角的要求。目前,国内市场现在有许多天线都可以达到高仰角的要求,例如三线式天线、电磁环天线、宽带软天线等。因此,可选用高仰角天线来解决通信盲区问题。

选用高仰角天线也受极限频率的限制,即最高可用频率和最低可用频率的限制。若选择的频率太高,虽然电离层吸收小,多径时延小,但电波容易穿出电离层,若选用的频率太低,虽然电波容易被反射,但电波受到电离层的吸收损耗大且多径时延大,影响通信质量。
综上所述,选用较低频率和高仰角天线来解决通信盲区问题在理论和应用方面是可行的。
3 工程应用
实际工程应用中,可以根据白天和夜晚的特点,选择通信效果较好的低频频率进行通信,而高仰角天线的选型却需要根据不同的使用环境条件按一定的原则来进行。
如前所述,三线式天线、电磁环天线和宽带软天线都可以解决通信盲区问题,但在该型模拟系统的工程应用中,考虑其主要用于舰舰和舰空通信的特点,天线选型还应遵循以下原则:
(1)可实现固定站与移动站之间通信。在该型模拟系统中舰舰和舰空通信相当于是固定站与移动站之间的通信,这就要求所选天线可以作为固定站天线,实现固定站与移动站之间的通信,同时,由于移动站在运动中,通讯方向不固定,所以固定站的天线应选用全向天线,例如三线式天线或配有天线调谐器的鞭状天线等。
(2)承受功率。由于舰载或机载电台的发射功率一般为125 W,所以天线的承受功率不可太低。
(3)兼顾近、中、远各种距离,有效覆盖范围至少可达500 km。
(4)与各种类型各种极化方式的机载、舰载、固定台的天线都能良好兼容。
根据以上原则,通过比较,如表2所示,认为三线式天线更适合在该型模拟系统短波通信中使用。

4 结束语
通过上述分析,找到了通过频率选择和高仰角天线解决某型模拟系统在工程应用中通信盲区问题的有效方法,具有一定的实用价值。
上一篇:LTE
下一篇:左手材料在天线上的应用


