- 易迪拓培训,专注于微波、射频、天线设计工程师的培养
一种高性能的微带全向天线设计与分析
在移动通信领域中,全向高增益天线有着广泛的应用。微带交叉阵子天线作为一种全向高增益天线,以其结构简单,匹配容易,便于批量生产以及造价低廉等优点受到重视。一般的微带交叉阵子天线如图1所示,这种结构在仿真和实测中,方向图畸变比较严重,天线的电压驻波比也比较差。文献给出了一种改进的方案,将微带天线的地面做成梯形结构,如图2所示。这在一定程度上改善了天线性能。文中给出了该结构天线的仿真和实物测试结果,以便与本文提出的微带全向天线作比较。文中所提出的微带全向天线如图3所示。该天线除了采用微带渐变结构和电感匹配器外,还在天线的顶端加载了λg/4短路匹配枝节。仿真和测试表明,该天线同文献中提出的天线相比较,具有更好的电压驻波比和更高的增益,是一种高性能的微带全向天线。

图1 微带交叉阵子天线示意图
1 微带交叉阵子天线的基本原理
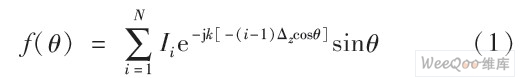
微带交叉阵子天线的基本结构如图1所示。将每段微带传输线的地面看成同轴线的外导体,导带看作同轴线的内导体,其与传统的COCO天线具有相似的结构。同样,微带交叉阵子天线也是由多个λg/2的微带单元级联而成,天线的地面和导带在介质基片的两侧交替放置,从而利用交叉连接来实现倒相。由于交叉连接点的不连续性形成辐射,使得这种结构存在两种模式,即传输模和辐射模。对于传输模,由于波沿导带和接地板的内表面传输,而且微带传输线是均匀的,所以在分析时不考虑空间的辐射。而辐射模,则是由于各接地板的交替处电压源激励起的辐射电流存在于接地板的内外表面,从而形成辐射。同COCO天线一样,微带交叉阵子天线也是一个阵列天线。由阵列天线的基本理论可知,对于远场区,天线的归一化方向性函数为

天线的增益为

其中,η为天线的辐射效率,D为天线的方向性系数。
2 微带交叉阵子天线的设计与分析
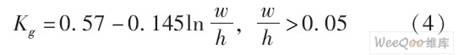
基本的微带交叉阵子天线如图1所示,实验证明,该结构天线的方向图畸变比较严重,而且带内电压驻波比也不理想。为了改善天线的性能,将天线地板设计成梯形结构,并在每个微带单元导带的中间加载一个矩形贴片,用于对天线进行调谐,此时的天线结构如图2所示,这在一定程度上改善了天线的阻抗特性。加载的矩形贴片相当于1个电感器。假设该电感器的长为l,宽为w,那么其等效电路的电感L如式(3)所示。

其中,h为介质板厚度,t是导体的厚度,Kg为校正因子,其经验公式为

从式(3)可以看出,在介质板参数确定的情况下,矩形贴片的电感值主要由其宽度w来决定。

图2 顶端未加载天线示意图
微带交叉阵子天线同COCO天线具有相似的结构和相同的工作原理,因而它们具有相似的等效电路。图2所示为微带天线,每个微带单元的等效电路如图4所示,其中,R为等效辐射电阻,C为等效电容,L为等效电感。L包括微带单元本身的电感和加载的电感。它们组成一个RLC谐振电路。在天线没有加载矩形贴片之前,其特性阻抗呈现较大的容抗,因此,通过调整矩形贴片的宽度,改变加载电感的大小,以求得最佳的S11。

图3 顶端加载短路匹配枝节的微带交叉阵子天线示意图

图4 顶端未加载短路枝节时的天线的等效电路
图5给出了不同值时天线的S11。经过优化,当w=6时,此时的天线具有最佳的匹配性能。这时天线S11在带内<-15 dB。

图5 顶端未加载时不同W值对应的天线S11
为了进一步减小天线的能量反射,改善天线的辐射特性,在天线顶端加载了λg/4短路匹配枝节,此时天线结构如图3所示。在天线顶端进行加载后,每个微带单元的等效电路如图6所示,相当于在微带单元上并联了一个导纳。其中,R1为该微带单元的等效辐射电阻,C1为等效电容,L1为等效电感,Y为顶端短路枝节的等效导纳。

图6 顶端加载后天线的等效电路
短路匹配枝节的导纳Y对整个天线的阻抗匹配起到调节作用。从Smith圆图得知,天线顶端未加载λg/4短路匹配枝节时,在2 400~2 483.5 MHz,天线阻抗的实部介于37~46 Ω之间,加载匹配枝节后,天线特性阻抗的实部在47~58 Ω之间。而且天线阻抗的虚部也有明显的变化,在要求频带内,其值更接近于0。图7和图8给出了两副天线由CST仿真软件得到的阻抗实部和虚部随频率变化曲线。从图中可以看出,天线顶端加载λg/4短路匹配枝节后,天线阻抗实部明显增加,虚部也比未加载时有减小。图9给出了顶端加载短路匹配枝节后不同w对天线S11的影响。从图中可知,当w为6时,在要求频带内,天线的S11<-20 dB。

图7 天线阻抗实部随频率变化曲线

图8 天线阻抗虚部随频率变化曲线

图9 顶未加载后不同W值对应的天线S11
天线顶端加载λg/4短路匹配枝节后,天线上的电流分布随之发生变化。当波传到天线顶端经过λg/4单元时,产生90°相移,经过短路点时,产生180°相移,再经过λg/4地面时,又产生90°相移。电流经过短路匹配枝节后,产生了360°的相移。经过移相后的电流就同原来的激励电流具有相同的相位,从而对天线起到电流补偿的作用,保持了天线上电流的平衡。
天线的实物如图10所示。天线采用厚度为1.5 mm,相对介电常数为2.65的介质板,底部采用50 ΩSMA接头馈电。在实际制作中,天线阵子长度要略小于仿真长度,这是由于材料的损耗引起的。一般而言,天线梯形地面的底边长<λg/2,矩形贴片的长略小于梯形地面的短边长。顶端的λg/4匹配枝节的长度也要略小于天线工作波长的1/4。

图10 天线的实物
表1和图11分别给出了两副天线实测增益和S11的对比。可以看出,天线顶端加载短路匹配后,天线的增益提高了1~1.3 dBi。这是因为,顶端加载短路匹配枝节后,改善了天线的阻抗匹配性能,提高了天线的辐射效率,减小了天线上能量的反射,使得每个微带单元上所得到的辐射功率最大,充分利用了天线的口径效率,从而提高了天线的增益。

天线实际测量 src="http://www.edatop.com/uploadfile/2014/0303/20140303071225285.jpg" width=384 height=263>
图11 顶端加载和顶端无加载天线实际测量
3 结束语
两副天线的CST仿真结果和实测结果基本吻合。实际测试结果与仿真结果对比后发现,天线的实测增益均略高于由仿真软件得到的增益,这主要是由于大地对天线的影响造成的。在天线顶端加载λg/4短路匹配枝节后,进一步降低了天线的VSWR,提高了增益。天线实物采用7节微带单元级联,总高度<25 cm。实测平均增益达9 dBi,如果要获得更高增益,可以在此基础上采用更多的微带单元进行级联,是一种高性价比的微带高增益全向天线。
上一篇:发射机房的天线自动控制系统
下一篇:CC-Link在天线开闭所控制中的应用


