- 易迪拓培训,专注于微波、射频、天线设计工程师的培养
高增益宽带圆极化微带天线阵研究
黄迎春,张涛,张福顺
(西安电子科技大学 天线与微波技术国家重点实验室 陕西西安 710071)
0 引 言
随着微带天线技术的发展,新形式和新性能的微带天线不断涌现。对于便携式天线,就需要天线在尺寸上更小,并且天线在电性能上更要求宽频带、高增益等电特性。前人在天线的这些性能的改进上做了相当多的工作,但是大多数都是只在其中的一个或者两个特性上做了改进。针对现有存在的问题,本文提出一种具有小型化、高增益、宽频带的圆极化微带阵列天线。研制了S波段小型化宽带圆极化天线阵实验样机,并对天线阵实验样机的电特性进行了测量。测量结果表明,天线最大增益为15 dB时,天线阵尺寸仅为295 mm×210 mm,天线阵的电压驻波比带宽达到了12.25%,圆极化轴比小于3 dB,带宽达到9.4%,大于文献[1]中的3.4%。且波瓣宽度分别为64°和20°大于文献[1]中所提到的63°和9°
1理论分析与设计
本文利用一般微带天线的设计方法设计天线单元。并通过对微带天线的匹配枝节进行调节阻抗,利用Ansoft HFSS软件对天线单元进行仿真优化设计,大大降低了天线阵的设计复杂度,并通过若干级二等分功率分配器便可设计出馈电网络。
1.1 天线单元的设计
圆极化天线应用面很广,其实用意义主要体现在:
(1)圆极化天线可接收任意极化的来波,且其辐射波也可由任意极化天线收到,故电子侦察和干扰中普遍采用圆极化天线,
(2)在通信、雷达的极化分集工作和电子对抗等应用中广泛利用圆极化天线的旋向正交性,
(3)圆极化波入射到对称目标(如平面、球面等)时旋向逆转,因此圆极化天线应用于移动通信、GPS等能抑制雨雾干扰和抗多径反射。
微带天线要获得圆极化波的关键是激励起两个极化方向正交的,幅度相等的且相位相差π/2的线极化波。最早的圆极化微带天线采用正交馈电方式,但这种天线构成天线阵元时,馈电电路之间会引起不希望有的耦合,从而限制了它的实际应用。曲线微带天线构成的宽频带圆极化微带天线不采用开放式的谐振腔,避开了基于谐振系统的辐射。不但有较强的辐射功率,而且有较低的Q值,但是它需要很复杂的功分器组合电路形成圆极化馈电,不易实现,而且很难组阵。在采用边馈微带矩形贴片单元的基础上,根据微扰法,用切角的方法产生两种正交的TM10和TM01模式,来实现圆极化,切角尺寸约为λ/10,如图1所示。这种设计方案使得天线外形更为小巧,使用也更加灵活。

1.2馈电方式
本文采用边缘馈电方式对微带贴片进行馈电,由于贴片的边缘阻抗并不是50 Ω,所以要对输入端口进行阻抗变换。本文用单枝节匹配方法进行阻抗匹配,采用的这种方式馈电有以下特点:阵元的主平面方向图宽,容易馈电,非常适合组阵,通过改变单元在馈线上的位置可降低交叉极化。
1.3单元结构尺寸的设计
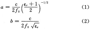
单元示意图如图1所示,矩形微带天线尺寸按下列公式确定:

式中:a为贴片长度,b为贴片宽度,εe为等效介电常数,f0(λ0)为微带天线工作的中心频率(波长),c为光速(3×108m/s)。
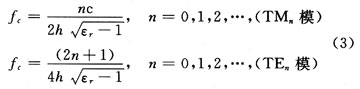
在微带天线中采用高介电常数的基板可以减小天线尺寸,但由于基板内存在表面波,尤其是当介质板厚度和工作波长可相比拟时,表面波的影响就不能被忽略。这样在采用厚基板的时候尽管可以拓宽频带,但由于表面波损耗的增大,导致天线辐射效率下降。所以在选择介质基板厚度时,要尽可能地避免激励高次模。TM和TE模表面波的截止频率分别为:

所以根据式(3),选用介电常数εr=4.4的介质基片,既能够使天线的尺寸降低,又能够保证天线的辐射效率。
1.4馈电网络的设计
本文设计的微带天线阵列馈电系统采用的是并联侧馈,即利用多个功率分配器就可将输入功率平均分配到各个阵元。为了保证各阵元的馈电相位为同相馈电,采用三级二等分功率分配器对阵元进行馈电,使各天线阵元的馈电均为等幅同相。这样的设计,结构简单,一致性好,能够增加天线阵阻抗带宽,且利于天线的实现。
2天线阵的设计与实验结果
根据以上设计的单元进行组阵,单元数为8(2×4)。对不同天线阵列间距进行了仿真设计,在频率f0=2.45 GHz时,对阵列间距为0.55λ,0.6λ,0.65λ时的天线方向图进行比较(图2(a)),并且对阵列间距为0.55λ,0.6λ,0.65λ时增益方向图进行比较(图2(b))。

图2所示的是天线在中心频率时不同阵列间距时的xoz面(图2a)和yoz面(图2b)的方向图,由图2可见在阵列间距为0.55λ时方向图对称并且方向图的后向辐射幅度比较小,由图3可见在阵列间距为0.55λ时天线阵的增益最高,所以在设计天线时选择阵列间距为0.55λ。图3给出了天线阵的样机图。

2.1 Smith圆图和驻波曲线的测量
用HP8753D矢量网络分析仪对该天线阵的Smith圆图和驻波曲线以及天线的轴比进行了测量,测量结果如图4及表1所示。

由图4(b)可知天线的电压驻波比小于2的带宽为300 MHz,达到12.25%,轴比带宽为200 MHz,达到9.4%。在要求的频带内阻抗特性、圆极化特性良好,满足通信系统的要求。
2.2方向图和增益的测量
在微波暗室、远区条件下,用自制的天线远场自动测量系统对该天线的方向图进行了实测。在频率f0=2.45 GHz时,图5对实测的xoz面方向图、yoz面方向图和仿真方向图进行了比较。可以看出实验结果与仿真结果一致性良好,3 dB带宽分别为64°(图5(a)φ0°,xoz面)和20°(图5(b)φ=90°,yoz面),实测增益为15 dB,实现了高增益,与仿真结果基本一致。

3结 语
本文研究了S波段小型化宽带圆极化天线阵的设计方法,讨论了阵列间距与天线方向图之间的关系,论述了微带天线阵馈电网络工程实现途径,并研制了S波段小型化宽带圆极化天线阵实验样机,并对天线阵实验样机的电特性进行了测量,测量结果表明,天线增益为16 dB时,天线阵尺寸仅为295 mm×210 mm,天线阵的阻抗带宽达到了300 MHz,圆极化轴比小于3 dB,带宽为150 MHz,测试数据充分说明了该天线阵具有尺寸小、高增益、宽频带特性,从而验证了设计方法的有效性。研究成果可应用于工程实际,且具有很高的实用价值和推广价值。


