- 易迪拓培训,专注于微波、射频、天线设计工程师的培养
浅谈TD-SCDMA智能天线基本原理和测试方法
1引言
作为第三代移动通信系统标准之一的TD-SCDMA,采用了两项最为关键的技术,即智能天线技术和联合检测技术。其中智能天线对于系统的作用主要包括:
(1)通过多个天线通道功率的最大比合并以及阵列信号处理,明显提高了接收灵敏度,
(2)波束赋形算法使得基站针对不同用户的接收和发射很高的指向性,因此用户间的干扰在空间上能够得到很好的隔离,
(3)波束赋形对用户间干扰的空间隔离,明显增加了CDMA的容量,结合联合检测技术,使得TD-SCDMA能够实现满码道配置,
(4)通过波束赋形算法能够实现广播波束宽度的灵活调整,这使得TD-SCDMA在网络优化过程中小区广播覆盖范围的调整可以通过软件算法实现(常规基站天线的广播波束是固定不可变的,若想调整覆盖范围必须要更换天线),从而明显提高了网优效率,
(5)通过对天线阵进行波束赋形使得下行信号能够对准一个(或若干个不同位置的用户)用户,这等效于提高了发射机的有效发射功率(EIRP)。
CDMA系统中采用了大功率线性功放,价格比较昂贵,采用智能天线技术的TD系统可以采用多个小功率功放,从而降低了制造成本。
2基本工作机理
根据波束成形的实现方式以及目前的应用情况,智能天线通常可分为多波束智能天线和自适应智能天线。
多波束智能天线采用准动态预多波束的波束切换方式,利用多个不同固定指向的波束覆盖整个小区,随着用户在小区中的移动,基站选择其中最合适的波束,从而增强接收信号的强度。多波束智能天线的优点是复杂度低、可靠性高,但缺点是它受天线波束宽度等参数影响较大,性能差于自适应智能天线。
自适应智能天线采用全自适应阵列自动跟踪方式,通过不同自适应调整各个天线单元的加权值,达到形成若干自适应波束,同时跟踪若干个用户,从而能够对当前的传播环境进行最大程度上的匹配。自适应智能天线在理论上性能可以达到最优,但是其实现结构和算法复杂度均明显高于多波束智能天线。
TD-SCDMA系统采用的是自适应智能天线阵,天线阵列单元的设计、下行波束赋形算法和上行DOA预估是智能天线的核心技术。
智能天线阵的实现原理类型于相控阵天线。下面我们以一维线阵相控阵天线为例。
首先,作为最基本的一维波束扫描相控阵天线是一个等间距排列的直线阵列(见图1),其中阵列的每个辐射单元的激励相位可以变化,即当相邻辐射单元的激励相位呈特定的等差级数变化时,阵列方向图是通过对每一列天线单元的幅度相位激励进行调整实现波束扫描的。

图1一维线阵天线波束扫描原理
当波束的最大指向偏离法线方向为θ0时,则各个天线端口的激励波程差为:ФN=(N-1)2πdsinθ0/λ
其中:d为相邻单元的间距,λ为天线工作频率的波长
智能(自适应)天线系统以阵列天线和自适应信号处理算法为基础,能够从多个多路径信号和干扰信号中把有用信号区分出来,自动地把主瓣最大值锁定在有用的移动来波信号方向上,并自动减小干扰方向的付瓣电平。智能天线所具有的这种精确跟踪能力和干扰抑制能力可以使在同一个小区内的几个用户使用相同的信道。
智能天线系统的工作机理概念可以用图2和图3予以描述。在图2中,N个天线辐射单元接收到信号经过射频放大后,在基带的数字波束成形(DBF)网络中采用Wi的复权系数加权并进行叠加合成,然后进入接收机,其中DSP智能算法处理器根据N个天线辐射单元来波的幅度/相位关系预测出有用信号的方向。叠加合成得到最大的接收信号。在图3中,DSP根据上述预测的有用信号方向以及预测的干扰信号方向,可以自适应产生合适的Wi复权系数,并激励各个天线单元的辐射,从而将主瓣板对准有用信号,将零点对消。

图2智能天线上行接收原理

图3智能天线下行接收原理 function ImgZoom(Id)//重新设置图片大小 防止撑破表格 { var w = $(Id).width; var m = 650; if(w
一种典型的智能天线阵如图4所示。它共有9个端口,中间的端口为校准口,其余的8个端口为天线端口。校准口的作用是用于校正智能天线阵在实际应用环境下的各接收(发射)通道到各列天线口面的相位差,其它八个端口分别连接到基站的收/发信机通道。

图4典型的定向智能天线阵
3主要测试参数和典型测试方法
由于智能天线测试比普通天线要复杂得多,对智能天线的测试也比较复杂。以图4给出的智能天线阵为例,我们可以将该天线的测量分为2类:电路参数测量和辐射参数测量。
电路参数包括:各端口输入阻抗、相邻天线单元端口隔离度、各天线端口有源反射系数、校准口到各天线单元的幅度相位一致性。
辐射参数测试包括:各天线单元的方向图和增益、典型业务波束的方向图和增益,广播波束的方向图和增益。
由于电路参数指标为智能天线出厂必测指标,下面我们重点探讨一下智能天线的电路参数测试项目和测试方法。一个8单元单极化智能天线阵的电路参数测试包括:
(1)相邻端口的隔离度,即S12、S23、S34、S45、…S78的特性(不包括校准口),
(2)校准口到各天线单元的幅相一致性,即S01、S02、…、S07、S08的幅度相位特性(Mag|S01|、|Mag|S02|、Mag|S03|、Mag|S04|、Mag|S05|、Mag|S06|、Mag|S07|、Mag|S08|,Pha|S01|、Pha|S02|、Pha|S03|、Pha|S04|、Pha|S05|、Pha|S06|、Pha|S07|、Pha|S08|),
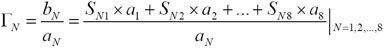
(3)各天线端口的无源反射系数(或无源回波损耗),即S00、S11、S22、…、S33、S88的特性,
(4)各天线端口的有源反射系数(或有源回波损耗),考虑单元之间的互耦和各单元的幅相激励问题。
根据下面的S参数激励矩阵模型
(2.1)
可以推出各端口的有源反射系数为
(2.2)
进行波束扫描的时候,对源进行相位加权。测试的典型值给出一组:
(2.3)
一般的天线测试可以使用2端口矢量网络分析仪。而智能天线有8个天线端口和一个校准端口,且其测试项目和测试复杂度比普通天线要高很多,因此一般的2端口或4端口矢网很难满足其测试要求。但是为了确保智能天线的性能,上面提到的测试项往往是天线研发和生产时必测的项目,因此我们需要寻求一种快速、全面的测量解决方案。
罗德与施瓦茨(R&S)的ZVT是业界唯一的8端口矢量网络分析仪。它内置4个独立的源,16个独立接收通道,有着极快的测量速度,因此是针对智能天线和相控阵天线测试的最佳选择(见图5)。它可以一次完成一个S88全矩阵测试,这对2端口和4端口矢网是不可能实现的。

图5用R&S的8端口矢网ZVT测试智能天线
(2.4)
针对第1、2项测试,R&SZVT可一次性完成。
针对第3项测试(共需要9个端口),R&SZVT只需要两步就可完成(如图6和图7所示),同时结合TraceMath(轨迹计算,对多个轨迹进行任意的计算,以扩展测量功能)功能,可以实时的计算并显示各通道幅度/相位一致性(如图8所示)。

图6R&SZVT针对智能天线幅度相位一致性的测试(第1步)

图7R&SZVT针对智能天线幅度相位一致性的测试(第2步)

图8典型的幅度一致性测试结果(校准口到各天线端口)
针对第4项测试,借助结合R&SZVT的强大的TraceMath功能,可以将公式(2.3)中的θ编入ZVT的公式编辑器中,结合R&SZVT测量的全矩阵(2.4),可以实时地显示各端口的有源反射系数,典型的测量结果如图9,图10所示:

图9智能天线端口1的有源反射系数(k*d*sinθ=π/3条件下)
其中:k=2*π/λ,d=相邻天线单元的间隔(此两项为常量),
θ为智能天线合成波束的扫描角(此项为变量)

图10智能天线端口1的有源反射系数(k*d*sinθ=π/5条件下)
其中:k=2*π/λ,d=相邻天线单元的间隔(此两项为常量),θ为智能天线合成波束的扫描角(此项为变量)。
由图9,图10可知,利用ZVT的8端口和强大的TraceMath功能,可以实时的显示任意扫描角下的各端口有源反射系数,为智能天线系统的研发和生产测试提供了极大的便利。
4结束语
智能天线比普通天线复杂得多,对智能天线系统的性能评估也比较复杂。在研发和生产阶段必须对智能天线进行全面测试,这样才能对其性能进行全面的考核,将智能天线的优势发挥出来。使用一般的2端口或4端口矢网很难全面、快速地测试智能天线。而R&S的ZVT独具8个端口,并有强大的TraceMath功能,因此能满足智能天线的测试需求,能帮助天线厂家对其智能天线进行快速、全面的测试。
上一篇:天线交换柜系统网络性能的测试评估
下一篇:手机智能天线测试系统开发及应用


