- 易迪拓培训,专注于微波、射频、天线设计工程师的培养
相控阵天线通道误差对波束形成的影响研究方案
0 引言
相控阵天线的数字波束形成技术具有多波束、灵活的波束控制和波束重构等优点,但是阵列通道误差的存在使得这些优越性受到影响[1~8].相控阵天线系统的误差可以分为两类,即固定误差和随机误差。固定误差在制造安装时产生,系统测试时可以准确测出并校正,本文不考虑这种误差。随机误差又可以分为短暂误差和长期误差,短暂误差由系统的稳定性决定。本文仅对由温度、时间等引起的长期存在的随机误差进行分析。这种误差包括由于热胀冷缩等引起的阵元位置误差,阵元老化等导致的阵元增益误差,各通道内器件参数的不一致引起的幅相误差等[1-2].
1 误差建模
首先给出阵元位置误差的模型。任意阵列的阵列流形矢量可以表示为[7]:

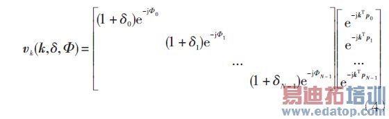
假设每个阵元存在位置误差Δpn = [Δpxn,Δpyn]T,n = 0,1,-,N - 1,则存在位置误差时阵列流形矢量为:

由式(3)得出对于每一个入射信号,阵元位置误差将导致每个阵元接收到的信号出现相位误差,而这种相位误差与信号频率和入射方向有关。
下面给出阵列通道间幅相误差的模型。由阵元增益误差和各通道内器件参数不一致导致的幅相误差与信号入射角度无关,假设各通道幅相误差是相互独立的,则存在幅相误差时的阵列流形矢量可以表示为:

式中:δi 表示第i 个通道的幅度增益误差;Φi 表示第i 个通道的相位误差。
由式(3),(4)可以看出,不管是阵元位置误差还是阵列通道误差,最终都表现为对阵列流形矢量的影响。
2 幅相误差对数字波束形成的影响
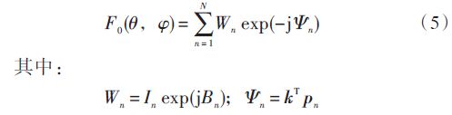
不存在幅相误差时,阵列的方向图为[5,9-10]:

式中N 为阵元个数,k 为波数函数,pn 为第n 个阵元的坐标,Wn 为各阵元加权,In 表示幅度加权值,Bn 表示相位加权值,θ 表示入射波的俯仰角,φ 为方位角。
2.1 幅相误差对主瓣增益的影响当存在幅相误差时天线的远场辐射方向图为:

可见,阵列通道的幅度误差和相位误差都会影响方向图的主瓣增益,而当阵列阵元数较大时,阵列天线主瓣增益的损耗主要取决于其相位误差。
2.2 幅相误差对波束指向的影响下面分析阵列通道间幅相误差对波束指向的影响。文献[4]指出均匀分布的阵列(相邻阵元的间距相等)指向误差的方差可由式(10)得到:

式中Σ2Φ 为通道相位误差的方差;Ii 为第i 个阵元的幅度加权;xi 为第i 个阵元的坐标除以阵元间距d.
当各阵元幅度加权相等(设Ii = 1),则N 元阵指向误差的方差为:

由上式可得阵列天线的波束指向误差主要取决于相位误差,并且与阵元数成反比,当阵元数较大时,幅相误差对波束指向误差的影响较小。
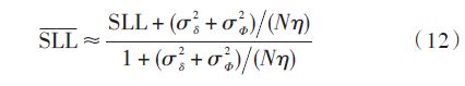
2.3 误差对旁瓣电平的影响由文献[3]可知,旁瓣电平为设计的旁瓣电平加上由于幅相误差产生的随机量,这个随机量导致旁瓣电平的上升。在幅相误差影响下,平均旁瓣电平为:

式中:SLL为无幅相误差时的旁瓣电平;Σ2δ 为通道幅度误差的方差;Σ2Φ 为通道相位误差的方差;η 为锥销效率。可以看出通道幅度误差和相位误差都会影响旁瓣电平。
3 仿真分析
本文基于30 阵元的等边三角形栅格阵进行仿真,阵元排列方式如图1所示,阵列采用稀疏布阵的形式,相邻阵元间距为d,是入射波长的2倍,入射信号方位角为0°,俯仰角为0°,波束形成采用静态加权的方式。

通道间不存在幅相误差时的形成波束如图2所示。
仿真实验1:不同幅相误差条件下的主瓣增益损失,取100次蒙特卡罗试验结果的平均值,仿真结果见表1.

仿真实验2:不同幅相误差条件下的波束指向误差,取100次蒙特卡罗试验结果的最大值,仿真结果见表2.

仿真实验3:不同幅相误差条件下旁瓣电平的增加量,取100次蒙特卡罗试验结果的平均值,仿真结果见表3.

由表1~表3可以得到以下信息:通道间幅相误差都会引起波束主瓣增益下降,且相位误差对主瓣增益的影响更大,当通道间幅度误差为3.52 dB,相位误差为28.64°时,主瓣增益损失可达1.461 8 dB;波束指向误差主要由相位误差导致,当通道间相位误差为28.64°时,最大波束指向偏差可达2.02°;通道间幅相误差还会引起波束旁瓣电平的升高,当通道间幅度误差为3.52 dB,相位误差为28.64°时,旁瓣电平增加值可达4.182 5 dB.
4 结语
由此可得出结论:相位误差不仅会使波束主瓣增益降低,旁瓣电平抬高,还会引起波束指向偏差,而相控阵天线通道间幅度误差对波束指向的影响不大,但会使波束方向图的主瓣增益降低,旁瓣电平升高。


