- 易迪拓培训,专注于微波、射频、天线设计工程师的培养
偶极子 RFID 标签天线的优化设计与研究
录入:edatop.com 点击:
近年来,RFID技术飞速发展并逐渐成为自动物体识别应用中的主要技术。RFID技术利用无线射频方式进行非接触双向通信,可达到识别并交换数据的目的。与磁卡和IC卡等接触式识别技术不同,RFID系统的电子标签和读写器之间无需物理接触就可完成识别,属于非接触识别。RFID技术具有一些独特的优点,如读写操作方便、灵活,实时完成,一次识别多个射频卡,识别运动中的射频卡,避免了由于接触带来的对卡片的磨损和对集成电路的损坏等。因此,它可更广泛地应用于供应链路和零售业中。
RFID系统能捕捉运动物体的详细信息并识别物体中存储的每一个信息项目。该技术避免了跟踪过程中的人工干预,在节省大量人力的同时可极大地提高工作效率。在不同的应用环境中RFID技术需要采用不同的天线通信技术来实现数据交换,现今有很多种RFID天线类型,如偶极子天线、分形天线、环形槽天线和微带贴片天线等。笔者主要研究偶极子天线在RFID系统中的设计与应用。
1 偶极子天线理论分析
1.1 RFID系统原理
典型的RFID系统由阅读器和电子标签组成,如图1所示。阅读器连接着电脑终端,主要用数据天线
数据和能量传输是RFID系统运作的一个重要环节。射频信号通过阅读器天线和标签天线的空间耦合(交变磁场或电磁场)实现数据传递,因此,天线在整个RFID系统中扮演着重要角色。而标签天线与标签芯片之间的阻抗匹配在提高系统的阅读范围和能量传输的效率上尤为重要。
1.2 半波偶极子天线特性
一个简易的偶极子天线由两段同样粗细、长度相等的直导线构成,在中间两个端点之间进行馈电。由于它结构简单,广泛应用于通信、雷达和探测等各种无线电设备中,适用于短波、超短波,甚至微波。它既可作为简单的天线单独使用,又可作为天线阵的单元或面天线的馈源。
半波偶极子天线的长度是半个波长,它的结构如图2所示。由于半波偶极子是基本的线天线,很多天线都是在半波振子的基础上设计的。
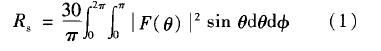
半波偶极子天线的辐射电阻为:
(1),可得到半波偶极子天线的辐射电阻为:
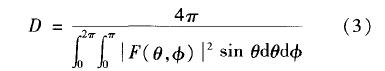
可得,半波偶极子的方向系数D=1.64。
由于半波偶极子的特性阻抗接近纯阻性,因此可以把半波偶极子看作无耗天线,即η=1。由于半波偶极子的方向系数D=1.64,因此半波偶极子的增益为:
偶极子RFID标签天线的等效电路如图3所示,如果RFID标签在阅读器周围的一定范围内,假设 为标签天线在电场强度为E,距离为r的区域所产生的感应电压,而传送至RFID标签终端的电压U1只是U0 的一部分。由图3可看出U1,为RFID标签的供电电压。
天线的一个重要性质是它的阻抗za等于电抗Xa与辐射电阻Ra的和(5),即:
za=Ra+ jXa (5)
同理可知标签的阻抗为:
Zt =Rt + jXt (6)
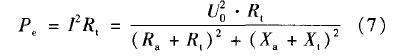
设天线传送到标签的功率为Pe,则Pe为影
式(7)表明了天线阻抗和标签接收到功率的对应关系,显然,要得到最大的功率Pe ,就必须使天线的阻抗与RFID标签的阻抗达到阻抗匹配,即Ra=Rt且Xa=-Xt。当天线和标签达到阻抗匹配时,将式(8)代入式(7),可以得到最大的接收功率Pe为:
可以看出,要使RFID标签获得最大的功率,天线与标签之间的阻抗匹配起着关键作用,因此,天线的设计,直接影响着天线阻抗特性及整个RFID系统的性能。
2 偶极子RFID标签天线的优化设计
2.1 三线折叠半波偶极子天线模型
RFID标签天线的设计由所选的标签芯片决定,为了优化标签天线的传输性能,天线的辐射电阻必须适应标签芯片的阻抗特性。天线的设计一直与50Ω或75Ω的标签芯片相匹配,随着RFID技术的发展,一些标签芯片的阻抗变得任意化,从而天线的设计也需要满足不同芯片的阻抗特性 。图4给出了一种三线折叠半波偶极子天线的设计结构,该结构可以使天线得到较高的输人阻抗,从而更方便与标签芯片达到阻抗匹配。
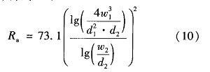
该结构中,每根偶极子之间的宽度d应小于0.05λ。这种天线结构使得天线的辐射电阻能够达到简单半波偶极子的8倍左右,其辐射电阻值可由式(10)得到:
从式(10)可看出,该结构由若干参数决定,如偶极子宽度d1和d2,每根偶极子之间的距离W1和W2 。这些参数值直接影响天线辐射电阻值,为使标签达到最大效率,表1给出了RFID系统应用频率在868~915 MHz的天线结构参数值。
表1 天线结构参数值
图5给出了三线折叠半波偶极子天线和简单偶极子天线阻抗随频率变化的情况,可以看出,该结构的天线阻抗明显比简单偶极子高了很多,能够较好地与RFID标签芯片达到阻抗匹配。图6给出了应用该三线折叠偶极子天线及简单偶极子天线的RFID标签接收功率随频率的变化情况,可以看出,三线折叠偶极子天线结构使RFID标签的功率接收效率有了明显提高。
对无源RFID标签半波偶极子天线总体的设计方法进行了讨论,提出了一种应用于868~915MHz的RFID标签天线的优化设计方案,并通过图形分析了天线的阻抗特性及RFID标签功率接收效率。用这种方案制作的半波偶极子天线简单、方便且费用低廉,可以使天线达到较高的输入阻抗来实现与一些RFID标签的匹配,从而有效提高RFID标签的功率接收效率。
天线的RFID标签接收功率的频率特性
RFID系统能捕捉运动物体的详细信息并识别物体中存储的每一个信息项目。该技术避免了跟踪过程中的人工干预,在节省大量人力的同时可极大地提高工作效率。在不同的应用环境中RFID技术需要采用不同的天线通信技术来实现数据交换,现今有很多种RFID天线类型,如偶极子天线、分形天线、环形槽天线和微带贴片天线等。笔者主要研究偶极子天线在RFID系统中的设计与应用。
1 偶极子天线理论分析
1.1 RFID系统原理
典型的RFID系统由阅读器和电子标签组成,如图1所示。阅读器连接着电脑终端,主要用数据天线

数据和能量传输是RFID系统运作的一个重要环节。射频信号通过阅读器天线和标签天线的空间耦合(交变磁场或电磁场)实现数据传递,因此,天线在整个RFID系统中扮演着重要角色。而标签天线与标签芯片之间的阻抗匹配在提高系统的阅读范围和能量传输的效率上尤为重要。
1.2 半波偶极子天线特性
一个简易的偶极子天线由两段同样粗细、长度相等的直导线构成,在中间两个端点之间进行馈电。由于它结构简单,广泛应用于通信、雷达和探测等各种无线电设备中,适用于短波、超短波,甚至微波。它既可作为简单的天线单独使用,又可作为天线阵的单元或面天线的馈源。
半波偶极子天线的长度是半个波长,它的结构如图2所示。由于半波偶极子是基本的线天线,很多天线都是在半波振子的基础上设计的。

半波偶极子天线的辐射电阻为:


(1),可得到半波偶极子天线的辐射电阻为:


可得,半波偶极子的方向系数D=1.64。
由于半波偶极子的特性阻抗接近纯阻性,因此可以把半波偶极子看作无耗天线,即η=1。由于半波偶极子的方向系数D=1.64,因此半波偶极子的增益为:

偶极子RFID标签天线的等效电路如图3所示,如果RFID标签在阅读器周围的一定范围内,假设 为标签天线在电场强度为E,距离为r的区域所产生的感应电压,而传送至RFID标签终端的电压U1只是U0 的一部分。由图3可看出U1,为RFID标签的供电电压。
天线的一个重要性质是它的阻抗za等于电抗Xa与辐射电阻Ra的和(5),即:
za=Ra+ jXa (5)
同理可知标签的阻抗为:
Zt =Rt + jXt (6)
设天线传送到标签的功率为Pe,则Pe为影



式(7)表明了天线阻抗和标签接收到功率的对应关系,显然,要得到最大的功率Pe ,就必须使天线的阻抗与RFID标签的阻抗达到阻抗匹配,即Ra=Rt且Xa=-Xt。当天线和标签达到阻抗匹配时,将式(8)代入式(7),可以得到最大的接收功率Pe为:

可以看出,要使RFID标签获得最大的功率,天线与标签之间的阻抗匹配起着关键作用,因此,天线的设计,直接影响着天线阻抗特性及整个RFID系统的性能。
2 偶极子RFID标签天线的优化设计
2.1 三线折叠半波偶极子天线模型
RFID标签天线的设计由所选的标签芯片决定,为了优化标签天线的传输性能,天线的辐射电阻必须适应标签芯片的阻抗特性。天线的设计一直与50Ω或75Ω的标签芯片相匹配,随着RFID技术的发展,一些标签芯片的阻抗变得任意化,从而天线的设计也需要满足不同芯片的阻抗特性 。图4给出了一种三线折叠半波偶极子天线的设计结构,该结构可以使天线得到较高的输人阻抗,从而更方便与标签芯片达到阻抗匹配。

该结构中,每根偶极子之间的宽度d应小于0.05λ。这种天线结构使得天线的辐射电阻能够达到简单半波偶极子的8倍左右,其辐射电阻值可由式(10)得到:

从式(10)可看出,该结构由若干参数决定,如偶极子宽度d1和d2,每根偶极子之间的距离W1和W2 。这些参数值直接影响天线辐射电阻值,为使标签达到最大效率,表1给出了RFID系统应用频率在868~915 MHz的天线结构参数值。
表1 天线结构参数值

图5给出了三线折叠半波偶极子天线和简单偶极子天线阻抗随频率变化的情况,可以看出,该结构的天线阻抗明显比简单偶极子高了很多,能够较好地与RFID标签芯片达到阻抗匹配。图6给出了应用该三线折叠偶极子天线及简单偶极子天线的RFID标签接收功率随频率的变化情况,可以看出,三线折叠偶极子天线结构使RFID标签的功率接收效率有了明显提高。

对无源RFID标签半波偶极子天线总体的设计方法进行了讨论,提出了一种应用于868~915MHz的RFID标签天线的优化设计方案,并通过图形分析了天线的阻抗特性及RFID标签功率接收效率。用这种方案制作的半波偶极子天线简单、方便且费用低廉,可以使天线达到较高的输入阻抗来实现与一些RFID标签的匹配,从而有效提高RFID标签的功率接收效率。

天线的RFID标签接收功率的频率特性


