- 易迪拓培训,专注于微波、射频、天线设计工程师的培养
小型双频段射频能量接收天线设计
随着物联网技术的迅速发展和日益成熟,超低功耗的无线传感器已成为物联网的重要组成单元。无线传感器网络通过将大量的传感器节点部署在监测区域内,使用无线电通信方式形成一个多跳的具有动态拓扑结构的自组织网络系统,目前已得到了广泛应用。但是采用传统供电模式的传感器节点一旦电池耗尽需要重新更换电池,如果传感器节点大量分布,人工更换电池所需的工作将不容忽视。随着超低功耗芯片技术的越发成熟,收集周围环境中的无线射频能量提供电能成为一种有效可行的新型能源供应模式。近年来,随着通信技术的迅速发展,环境中充斥着大量的无线电波信号,主要包括移动电话(GSM) 频段和工业通讯(ISM) 频段。未来的很长一段时间内,多种通信网络共存,也为射频能量收集系统提供了丰富的射频资源。
无线能量采集技术最重要的部分是接收天线的分析设计,也是国内外相关专家学者关注的热点。微带天线具有低成本,轻重量,易于共形等诸多优点,被广泛的应用于各种通信系统中。但微带天线由于频带较窄又限制了它的实际应用,增加寄生单元或者具有不同形状缝隙的矩形贴片元可以克服微带天线的窄频带特性;目前在高频段上,国内外对缝隙天线进行了大量的研究报道。基本结构的缝隙天线性能良好,但是也存在阻抗带宽窄、只能单频工作等固有缺陷。因此多频/宽带化技术成为缝隙天线研究的一个热点。文献"工作于2.4GHz /5.2GHz 双频段微带缝隙天线的设计"在缝隙天线的基础上通过再加载两个倒u 型槽,实现了2.4/5.2 GHz的双频工作的特性;文献"新型小型化双频缝隙微带天线的设计"在接地板上开了一个F 型的槽并用微带线馈电,通过调节槽的主要尺寸使天线工作在2.4 / 5.8 GHz频段。文献"一种带宽圆形缝隙天线的设计"采用叉子型微带线馈电并在接地板开了一个圆形缝隙天线,通过调整微带线终端和缝隙中心的相对位置以及圆形缝隙的半径来获得最佳匹配,天线工作在2 GHz时,频带达到了32.5%。但是由于5 GHz频段在周围环境中的信号功率谱密度较低,因此这些天线设计并不适合用于环境无线能量收集。
通过对以上文献的分析研究,文中提出一种适用于无线能量收集的小型双频微带馈电缝隙天线。该天线基于叉子型微带馈电缝隙结构,采用电抗加载法,即通过加载微带枝节和槽实现双频段工作特性,以提高天线的工作带宽,在保证性能的同时克服了微带缝隙天线窄带宽的缺陷。并通过仿真分析获得了该缝隙天线工作频率随缝隙尺寸变化的一般规律。
1、缝隙天线结构原理
基于微带天线结构,利用电抗加载的方法可以实现双频工作,此时双频比可以调节得较接近。根据空腔模型理论,薄基片的微带天线在模谐振频率附近的输入阻抗Zin,可等效为
![]()
式中,Xr为该模并联谐振等效电路的"谐振"电抗,Xf为其他模的合成效应。其谐振频率的特征方程为Xr + Xf = 0,若用一个电抗XL对微带天线进行加载,则上述特征方程变为
![]()
调节XL的值,可以获得两个零点,实现双频工作。
图1 是改进后的天线结构,该天线顶部是一个左右不对称的分支型微带线。分支型馈电的优点是该馈电方法可以获得较宽的带宽并且使天线在很宽的频率范围内达到很好的阻抗匹配。在本设计中,在接地板开了两个矩形缝隙,通过调整微带线分支和缝隙的相对位置以及矩形缝隙的大小来获得最佳匹配。

图1 天线的几何模型
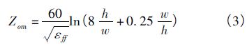
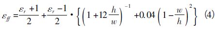
为了实现接口的阻抗匹配,分支型微带线主臂的特性阻抗为50 Ω,侧臂的特性阻抗为100 Ω,根据经验式( 3) 、式( 4) 可以计算出微带线的宽度。

其中等效介电常数为

由此算出50 Ω 的微带馈线对应的宽度为3.0 mm, 100 Ω微带线对应的宽度为1.4 mm。天线的底部接地板上刻蚀了两个矩形缝隙,这样相当于引入了两个电抗元素,产生了两个谐振点。天线使用FR - 4 作为介质基板,基板的厚度为1.6 mm,相对介电常数为4.2,损耗角正切为TanD = 0.0003。接地板的尺寸为50 mm × 50 mm。由于缝隙所在地面的边沿存在较强的绕射场,所以选择合适的介质基片大小,可以获得较好的远场方向图。馈电点在宽边的中心,p1和p2为差分输入端口。
2、参数设计与优化分析
为了进一步探索天线的各个几何参数对天线回波损耗的影响,得到适合GSM 1900 MHz和ISM 2.4 GHz频段的工作特性,使用ADS 全波电磁场仿真工具对天线进行参数分析和优化。天线的各物理尺寸参数如图2 所示。
通过初步的仿真,天线的回波损耗对两个矩形缝隙的长度L1、L2和宽度W3、W4的变化比较敏感,因此选取以上4 个参数对它们进行参数分析。每个参数选取一个初始值,当一个参数变化时,其他参数保持不变。各参数的初始值如表1 所示。

图2 缝隙天线的设计参数示意
图3 给出了小缝隙长度L1对天线回波损耗的影响,L1尺寸选取从22.9 mm处以1 mm增加,其他主要参数保持不变,仿真结果可以发现在低频段处L1越大,谐振点右移,当L1 = 23.9 mm时,回波损耗最小;在高频段处随着L1增大,谐振频率点左移,回波损耗减小但带宽也随之减小。
图4 给出了大缝隙长度L2对天线回波损耗的影响,L2从41.6 mm处以每1 mm增加,其他各参数保持不变。从图中可以看出在低频段处L2越小,回波损耗越大,带宽也相应的增加。谐振点基本维持不变;在高频段处L2越大,谐振点向左移动,回波损耗越小,天线阻抗越来越不匹配。
图5 给出了小缝隙宽度W3对天线回波损耗的影响,W3的大小从10.6 mm处以每1 mm增加,其他各参数保持不变。仿真结果显示W3对低频段的影响几乎很小;在高频段处当W3增大时,谐振频率左移,回波损耗和带宽维持不变。
图6 为大缝隙宽度W4对天线回波损耗的影响,W4尺寸从14.1 mm处以每1 mm增加,其他各参数均保持不变。从图中可以看出低频段处W4越大,谐振频率略向右移,回波损耗越来越大,天线的匹配越好,带宽也相应的增大。在高频段处规律同低频段一样。通过仿真结果发现,调节缝隙的尺寸可以改变两个谐振频率的距离。再根据对频段的设计要求最后选定的缝隙尺寸的大小分别为L1 = 23.9 mm,L2 = 41.6 mm,W3 =12. 6 mm,W4 = 18.1 mm。最终得到了最佳的天线尺寸参数,如表2 所示。

图3 谐振频率随L1变化

图4 谐振频率随L2变化

图5 谐振频率随W3变化

图6 谐振频率随W4变化
天线在谐振频率1.9 GHz 和2.4 GHz 两处的增益方向图如图7 和图8 所示。从图中可以看出该缝隙天线的辐射是双向性的,缝隙上、下方的辐射场最强,辐射强度基本相同。天线的谐振频率为1.9 GHz时,在XOZ 面上的最大增益为1.4 dBi;天线谐振频为2.4 GHz 时,在XOZ 面上最大增益为2.9 dBi。天线的方向图具有一定的方向性,但是天线的增益并不高,因此这种天线可以作为全向天线来使用,适用于接收周围的射频无线能量。

图7 XOZ 面上的天线的增益( f = 1.9 GHz)

图8 XOZ 面上的天线的增益( f = 2.4 GHz)
3、测试结果
根据上一节的参数分析和优化结果,使用FR4双面PCB 板加工制作了该天线,并通过Agilent 矢量网络分析仪对天线进行了测试,天线的实物图如图9所示。

图9 天线实物的正面图和反面
图10 给出了天线的输入回波损耗仿真和实测曲线,从仿真图中可以看出,天线的中心谐振点分别为f1 = 1.9 GHz,f2 = 2.4 GHz.当回波损耗S11 <- 10 dB时,天线在低频段的工作频率范围为1.82~ 1.96 GHz,带宽达到了140 MHz,天线在高频段的频率范围为2.34 ~ 2.45 GHz,带宽接近110 MHz。天线在谐振点处的回波损耗分别是- 40 dB 和- 20 dB,表明该天线匹配较好。实测得到的结果与仿真结果基本相同,低频段处谐振频段向右偏移约为1.92 GHz,高频段处谐振点略向左偏移,两谐振点处的回波损耗均有所减小。造成误差的原因包括加工天线过程中尺寸的微小误差,SMA 接头处焊接不良、接口处有能量损耗,环境干扰等因素。

图10 回波损耗测试结果
4、结语
文中提出了一种缝隙加载结合双线馈电的多频段天线方法,设计了一种适用于环境无线能量接收的新型小尺寸双频微带缝隙天线。通过Agilent 公司的ADS 对其仿真并进行了优化分析,实现了天线分别在1.9 GHz和2.4 GHz双频工作。在低频端带宽为140 MHz,相对带宽约为7.4%,在高频端带宽110 MHz,相对带宽约为4.6%。该射频能量接收天线能够适应GSM 和ISM 两个频段,尺寸小,制作成本低,具有较强的实用性和良好的应用前景。
上一篇:紧凑型射频天线模块SmarTile
下一篇:天线频响定性测试案例


