- 易迪拓培训,专注于微波、射频、天线设计工程师的培养
IBIS 模型:利用 IBIS 模型研究信号完整性问题
本文是关于在印刷电路板 (PCB) 开发阶段使用数字输入/输出缓冲信息规范 (IBIS) 模拟模型的文章。本文将介绍如何使用一个 IBIS 模型来提取一些重要的变量,用于信号完整性计算和确定 PCB 设计解决方案。请注意,该提取值是 IBIS 模型不可或缺的组成部分。 图 1 错配端接阻抗 PCB 装置
信号完整性问题当观察传输线两端的数字信号时,设计人员会吃惊于将信号驱动至某条 PCB 线迹时出现的结果。通过相对较长的距离,相比瞬时变化信号,电信号更像行波。描述电路板上电波行为的较好模拟是池中波 (wave in a pool)。纹波穿过池顺利传播,因为体积相同的两组水具有相同的"阻抗"。然而,池壁的阻抗差异明显,并以相反方向反射波。注入 PCB 线迹的电信号也出现相同的现象,其在阻抗错配时以类似方式反射。图 1 显示了错配端接阻抗的一个 PCB 装置。微控制器即 TI MSP430™ 向 TI ADS8326 ADC 发送一个时钟信号,其将转换数据发送回 MSP430。图 2 显示了该装置中阻抗错配所形成的反射。这些反射在传输线迹上引起信号完整性问题。让一端或者两端的 PCB 线迹电阻抗相匹配可极大地减少反射。 图 2 图 1 中错配端接阻抗促发反射
要解决系统电阻抗匹配问题,设计人员需要理解集成电路 (IC) 的阻抗特性,以及起到传输线迹作用的 PCB 线迹的阻抗特性。知道这些特性,让设计人员能够将各连接单元建模为分布式传输线迹。 传输线迹为各种电路服务,从单端和差分端器件到开漏输出器件。本文主要介绍单端传输线迹,其驱动器有一个推拉输出电路设计。图 3 显示了用于设计该举例传输线迹的各组成部分。 图 3 实例单端传输线电路
另外,还需要如下 IC 引脚规范: 发送器输出电阻 ZT (Ω) 发送器上升时间tRise和下降时间tFall(秒) 接收机输入电阻ZR (Ω) 接收机引脚电容值CR_Pin (F)这些规范一般没有在 IC 制造厂商的产品说明书中。正如这篇文章将要讲到的那样,所有这些值均可以在设计 PCB 和使用模型模拟 PCB 传输线迹的过程中,通过 IC 的 IBIS 模型获得。 利用下列参数定义传输线迹: 特性阻抗Z0 (Ω) 传播延迟 D(ps/英寸) 线迹传播延迟tD (ps) 线迹长度 LENGTH(英寸)根据具体的 PCB 设计,该变量清单可能会更长。例如,PCB 设计可以有一个带多个传输/接收机点的底板。3所有传输线迹值均取决于特定的 PCB。一般而言,FR-4 板的 Z0 范围为 50 到 75Ω,而 D 的范围为 140 到 180 ps/英寸。Z0 和 D 的实际值取决于实际传输线迹的材料和物理尺寸。4特定板的线迹传播延迟可以计算为: tD=D × LENGTH。(1) 就 FR-4 板而言,线状线的合理传播延迟(请参见图 4)为 178 ps/英寸,并且特性阻抗为 50Ω。通过测量线迹的导线电感和电容,并将这些值插入到下列方程式中,我们可以在板上验证这一结果:
(2)或者
(3)及
(4) CTR 为法拉/英寸为单位的线迹导线电容;LTR 为享/英寸为单位的线迹导线电感;85 ps/英寸为空气介电常数;而 er 为材料介电常数。例如,如果微波传输带-板导线电容为 2.6 pF/英寸,则导线电感为 6.4 nH/英寸,而 D=129 ps/英寸,Z0=49.4Ω。 图 4 微带板与带状线板横截面
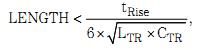
集总式电路与分布式电路对比传输线一经定义,下一个步骤便是确定电路布局代表集总式系统还是分布式系统。一般而言,集总式系统体积较小,而分布式电路则要求更多的板空间。小型电路具备有效的长度 (LENGTH),其在信号方面比最快速电气特性要小。要成为合格的集总式系统,PCB 上的电路必须要满足如下要求:
(5)其中,tRise 为以秒为单位的上升时间。 在 PCB 上实施一个集总式电路以后,端接策略便不是问题了。根本上而言,我们假设传送至传输导线中的驱动器信号瞬间到达接收机。 IBIS 模型的数据组织结构根据 IC 的电源电压范围,一个 IBIS 模型包括三、六或者九个角的数据。决定这些角的变量为硅工艺1、电源电压和结温。某个器件模型的具体工艺/电压/温度 (PVT) SPICE角对创建精确的 IBIS 模型至关重要。额定值不同,硅工艺也各异,创建的模型也有弱有强。设计人员根据组件的电源要求定义电压设置,并让其在额定值、最小值和最大值之间变化。最后,根据组件的指定温度范围、额定功耗和封装的结点到环境热阻,即 θJA,来确定组件硅结点的温度设置。 表1列举了一个例子,其为三 PVT 变量及其与 TI 24 位生物电势测量 ADC ADS129x 系列的 CMOS 工艺关系。这些变量用于实施六次SPICE模拟。第一次和第四次模拟均使用额定工艺模型、额定电源电压和室温条件下的结点温度。第二次和第五次模拟均使用弱工艺模型,低电源电压和高结温。第三次和第六次模拟使用强工艺模型、更高的电源电压和更低的结温。PVT值之间的关系映射CMOS工艺的最佳角。 表 1 ADS1296 IBIS 模型的 PVT 模拟角
| 角数 | 硅工艺 | 电源电压(V) | 温度(°C) |
| 1 | 额定 | 1.8 | 27 |
| 2 | 弱 | 1.65 | 85 |
| 3 | 强 | 2.0 | -40 |
| 4 | 额定 | 3.3 | 27 |
| 5 | 弱 | 3.0 | 85 |
| 6 | 强 | 3.6 | -40 *TI ISIS 模型标准为额定=典型、弱=最小值、强=最大值。 查找和/或计算发送器规范信号完整性评估的规定发送器规范包括输出阻抗 (ZT) 和升降时间(分别为tRise和 tFall)。图 5 显示了列举自 IBIS 模型文件的 TI ADS1296 封装ads129x.ibs。5用于产生阻抗的值显示在"[Pin]"关键字下面,其也位于缓冲模型(未显示)中。升降时间位于 IBIS 模型数据列表的瞬态部分。 图 5 ADS1296的IBIS 模型封装列表,包括 L_pin 和 C_pin 值 输入和输出引脚的阻抗任何信号的引脚阻抗均由加至模型阻抗的封装电感和电容组成。图 5 中,关键字"[Component]"、"[Manufacturer]"和"[Pack]"描述了一个具体的封装,即64引脚PBGA(ZXG)。具体引脚的封装电感和电容可在"[Pin]"关键字下面找到。例如,在引脚 5E 处,信号 GPIO4,可找到 L_pin 和 C_pin 值。该信号和封装的 L_pin(引脚电感)和 C_pin(引脚电容)值为 1.4891 nH 和 0.28001 pF。第二个重要的电容值为硅电容,即C_comp。C_comp值可在 ads129x.ibs 文件的模型 DIO_33 列表中的"[Model]"关键字下面找到(参见图 6)。该模型中的C_comp 为 DIO 缓冲器的电容,其电源引脚电压为 3.3V。"|"符号表示注释;因此,该列表的有效C_comp值为3.0727220e-12 F(典型值)、2.3187130e-12 F(最小值)和 3.8529520e-12 F(最大值),PCB 设计人员可从中选取。在 PCB传输线设计阶段,3.072722 pF 典型值为正确的选择。 图 6 ads129x.ibs 文件 C_comp 值模型 DIO_33 列表 图 7 端接-校正策略 输入和输出阻抗对信号传输至关重要。下列方程式定义了 IBIS 模型引脚的特性阻抗: (6)输出升降时间在整个行业中,升降时间规范的惯例是使用输出信号在 10% 和 90% 轨至轨信号之间摆动所需的时间,其一般为 0 到 DVDD。"IBIS 开放式论坛"的升时间定义相同,其获得采用是由于 CMOS 开关波形尾部较长。 IBIS 模型内的输出、I/O 和三态模型,有一些位于"[Ramp]"关键字下面的规范,该关键字针对 R_load (test load)、dV/dt_r (rise time) 和 dV/dt_f (fall time)。升降时间数据范围为电压-输出信号的 20% 到 80%。如果典型 dV/dt_r 值的分母乘以 0.8/0.6,则升时间值将在 20%-80% 摆动到 10%-90%摆 动之间变化。请注意,该数据代表一个电阻性负载 (R_load) 的缓冲器。ads129x.ibs 文件中,DIO_33 数据假设为一个 50-Ω 负载,因此该数据未达到 DVDD。该计算产生的数值,为各种传输线计算提供了正确的 tRise 值,例如 fKnee、f3dB 和升沿长度。 利用 IBIS 设计传输线本文以讨论一个错配端接阻抗的 PCB 作为开始。之后,我们通过 IBIS 模型,了解和查找这种传输问题的一些关键组成元素。就此而言,这种问题应该有解决的方案。图 7 显示了端接校正策略,而图 8 则显示了校正之后的波形。 图 8 端接校正的稳定信号 若想设计 PCB 传输线,第一个步骤便是从产品说明书收集资料。第二个步骤是检查 IBIS 模型,找到无法从说明书中获取的一些参数—输入/输出阻抗、升时间和输入/输出电容。在进入到硬件阶段,需利用 IBIS 模型找到一些关键的产品规范,并对最终设计进行仿真。
射频工程师养成培训教程套装,助您快速成为一名优秀射频工程师... 天线设计工程师培训课程套装,资深专家授课,让天线设计不再难...
上一篇:使用
PlanAhead
Design
工具提高设计性能 射频和天线工程师培训课程详情>>
|

输入和输出引脚的阻抗任何信号的引脚阻抗均由加至模型阻抗的封装电感和电容组成。图 5 中,关键字"[Component]"、"[Manufacturer]"和"[Pack]"描述了一个具体的封装,即64引脚PBGA(ZXG)。具体引脚的封装电感和电容可在"[Pin]"关键字下面找到。例如,在引脚 5E 处,信号 GPIO4,可找到 L_pin 和 C_pin 值。该信号和封装的 L_pin(引脚电感)和 C_pin(引脚电容)值为 1.4891 nH 和 0.28001 pF。第二个重要的电容值为硅电容,即C_comp。C_comp值可在 ads129x.ibs 文件的模型 DIO_33 列表中的"[Model]"关键字下面找到(参见图 6)。该模型中的C_comp 为 DIO 缓冲器的电容,其电源引脚电压为 3.3V。"|"符号表示注释;因此,该列表的有效C_comp值为3.0727220e-12 F(典型值)、2.3187130e-12 F(最小值)和 3.8529520e-12 F(最大值),PCB 设计人员可从中选取。在 PCB传输线设计阶段,3.072722 pF 典型值为正确的选择。 图 6 ads129x.ibs 文件 C_comp 值模型 DIO_33 列表
图 7 端接-校正策略
输入和输出阻抗对信号传输至关重要。下列方程式定义了 IBIS 模型引脚的特性阻抗:
(6)输出升降时间在整个行业中,升降时间规范的惯例是使用输出信号在 10% 和 90% 轨至轨信号之间摆动所需的时间,其一般为 0 到 DVDD。"IBIS 开放式论坛"的升时间定义相同,其获得采用是由于 CMOS 开关波形尾部较长。 IBIS 模型内的输出、I/O 和三态模型,有一些位于"[Ramp]"关键字下面的规范,该关键字针对 R_load (test load)、dV/dt_r (rise time) 和 dV/dt_f (fall time)。升降时间数据范围为电压-输出信号的 20% 到 80%。如果典型 dV/dt_r 值的分母乘以 0.8/0.6,则升时间值将在 20%-80% 摆动到 10%-90%摆 动之间变化。请注意,该数据代表一个电阻性负载 (R_load) 的缓冲器。ads129x.ibs 文件中,DIO_33 数据假设为一个 50-Ω 负载,因此该数据未达到 DVDD。该计算产生的数值,为各种传输线计算提供了正确的 tRise 值,例如 fKnee、f3dB 和升沿长度。 利用 IBIS 设计传输线本文以讨论一个错配端接阻抗的 PCB 作为开始。之后,我们通过 IBIS 模型,了解和查找这种传输问题的一些关键组成元素。就此而言,这种问题应该有解决的方案。图 7 显示了端接校正策略,而图 8 则显示了校正之后的波形。 图 8 端接校正的稳定信号
若想设计 PCB 传输线,第一个步骤便是从产品说明书收集资料。第二个步骤是检查 IBIS 模型,找到无法从说明书中获取的一些参数—输入/输出阻抗、升时间和输入/输出电容。在进入到硬件阶段,需利用 IBIS 模型找到一些关键的产品规范,并对最终设计进行仿真。
