- 易迪拓培训,专注于微波、射频、天线设计工程师的培养
峰值电流模式控制中的斜波补偿技术
摘要:PWM反馈技术在现代DC-DC芯片中得到了广泛的应用。详细介绍了PWM式中峰值电流模式控制中的斜波补偿技术的原理。并在此基础上结合峰值电流模式控制方式,介绍了几款常用、典型的斜波补偿电路。
关键词:电流模式控制;斜渡补偿;PWM;占空比D
O 引言
PWM反馈控制技术是电源芯片中常用的一种技术,它的基本原理就是在输入变化、内部参数变化、外接负载变化的情况下,控制电路通过被控制信号与基准信号的差值进行闭环反馈,调节主电路开关的动态脉冲宽度,使得开关电源的输出电压或电流等被控制信号稳定。PWM的控制方式主要有两种,即电压模式控制和电流模式控制。电压模式控制的控制取样信号有:输出电压、输入电压、功率管源漏电压、输出电感电压;电流模控制的取样信号有:输出电流、输出电感电流、开关器件峰值电流。
下面介绍斜波补偿的原理及在电流模式控制中的几款斜率补偿电路。
为上升、下降斜率,单位A/S。)


由上式可以得出如下结论:
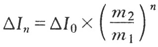
当m2<m1,即D<50%时,电流误差△In将逐渐趋于0,故而系统稳定;
当m2>ml,即D>50%时,电流误差△In将逐渐放大,从而导致系统失控。电源的抗干扰性能差,不能稳定工作。
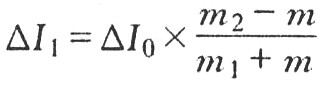
为了使当占空比大于50%时,系统仍稳定,故引入斜率为一m的斜波补偿信号。该方法就是在控制电压VC上叠加斜坡补偿电压形成新的控制电压输入到PWM比较器一端,与PWM比较器另一端的电流反馈电压比较。图2是该种补偿方法的原理示意图。其中一m是补偿斜坡电压的斜率。

由图2可以证明,经过一个周期,由△I0引起的电流误差△Il为:

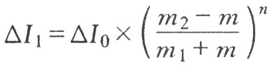
经过n个周期后,由△I0引起的电流误差△In为:

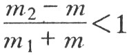
类似地,由上式可以推导出在占空比从0到1的范围内,使电流环稳定的条件为:
![]()
又因为:D·m1=(1-D)m2 [p]
结合上面两式,则得到在控制电压VC上叠加斜坡补偿电压后保证系统稳定的条件是:
![]()
也就是说,若要保持系统始终稳定,则需要使补偿斜率大于电感电流下降斜率的一半,即m>0.5m2。
2 常见的几种斜波产生电路
2.1 线性斜波
如图3所示。图中的斜波是由振荡电路产生的。该斜波产生的电路及原理均比较简单,一般是由振荡电路对电容C进行充放电来实现的。但是振荡电路一旦确定,其所产生的斜波将不在变化。当输入电压突然变小或负载阻抗突然变小时。因为较大的输出电容C及电感L相移延迟作用,输出电压的变小也延迟滞后,输出电压变小的信息还要经过电压误差放大器的补偿电路延迟滞后,故使暂态响应较慢。

2.2 n阶线性斜波
由斜波补偿的原理得知,如果斜波补少了,则当占空比大于50%时仍存在开环不稳定性。这时,我们就希望宁多勿少。但如果斜波过大(即补的过多),电流模式控制将变为电压模式控制,电流模式控制的优点将尽失。所以在补偿过程中,必须对所补偿的斜波大小进行必要的控制,得到合适的斜波。n阶线性斜波所不同的是其斜波产生电路。如图4所示基准电压经电阻网络分压可获得Va、Vb、Vc三个不同的阈值电压,当线性斜波信号加在三个晶体管的基极,随着slope幅值的增加,Ql、Q2、Q3、依次导通,从而形成三阶非线性斜波islope。
2.3 带箝位的斜波补偿电路
加斜率补偿后随着占空比的增大,实际的电感电流峰值被降低了。这是因为随着占空比的增大,斜率补偿信号的幅度也会增大,从而导致峰值电流门限在主开关导通的后期显著下降。当占空比达到90%时,补偿信号将电感峰值电流减小了30%(如图6示)。解决途径之一便是当发生斜坡补偿时提高控制门限电平。但是仅仅提高门限并不是个可靠的办法,一是误差放大器输出的控制信号会经过一个RC滤波网络在反馈回PWM比较器中,该滤波网络的时常数一般都很大,那么门限控制电平将无法跟上补偿斜坡的快速变化。二是单纯的提高门限则会将斜坡补偿化为乌有。但是,若在斜波部分加入一个箝位电路,该箝位电路的箝位电压可以根据斜坡信号的幅度加以调节,进而保证在大占空比下电感峰值电流实质上不变(如图7示)。斜率补偿信号的引入使得箝位电路的箝位阈值随着斜率补偿信号幅度的增减而增减,最后将其经过处理的斜波补偿信号箝位在V1和V2上经ERR4输出。

2.4 可外同步的斜波补偿电路
以上的斜波产生电路均是内同步的,在有些通信系统的应用中,系统同步是很重要的,整个系统需要在统一的时钟下同步运行。因此需要斜波补偿部分随外部电路时钟进行变化。如图8所示可外同步的斜波补偿电路。下面介绍一下该电路中的各模块及其作用:
时钟检测及脉冲触发电路:检测到时钟输入时,将计数器预置一个数,并在每个时钟周期内产生一个脉冲。

电容C1:在φA控制下充放电产生三角波。 [p]
窗口比较器:限定三角波的峰值在Vref1<V<Vref2之间。
计数器:外部时钟有变化或三角波峰值电压V不再Vrefl<V<Vref2时,触发其进行计数。当V低于Vref1时上计数,每计一个数打开一个电源,加大对C1的充电流以提高斜波峰值;当V高于Uref2时,在外时钟同步下进行下计数,每减一则关闭一个电流源,降低下一个时钟周期的三角波峰值;当Vref1<V<Vref2时,1ogic模块将计数时钟屏蔽,则打开固定的电流源,此时斜波峰值将不再变化。其整个工作过程的大概波形如图9所示。由时序图可以看到,斜波的产生与外部时钟同步,并随其改变。


2.5 非线性斜波产生电路
以上的几种斜波均是由振荡器先产生一个三角锯齿波,然后再经过电路处理而得出补偿信号。这样所得出的补偿信号总与电感电流存在一定的误差。若三角锯齿波由功率管的控制信号产生,并且其与经过电路网络处理后的电感电流做比较可以得到合适的斜波补偿信号。这样得到补偿信号与实际所需补偿误差可以减到最小(如图10所示)。当PCT=0时,M1导通,电容开始充电。随着时间的推移。C2上的电压持续上升,当V+接近Va时,即Va一V+<4VT,Vb开始上升,此时Q4工作在亚阈值区表现为三极管的非线性特性;当Vb>Vbe1十I2R1时,Ql、Q2导通,则Va=V+并随其上升。本来放大器刚脱离亚阈值区进入线性区,随着Va=V+并随其上升,放大器又回到亚阚值区工作。从而完成对补偿斜波的非线性调整。

3 结束语
各种峰值电流模控制的不同斜波补偿电路具有各自不同的优点,在设计时应根据具体情况选择合适的控制及补偿模式。其选择一定要结合考虑具体开关电源的输入电压要求、主电路拓扑及器件、高频噪声、占空比范围等。峰值电流模式控制的不同斜波补偿电路都是不断发展变化、相互联系的,在一定条件下可以相互转化和同时应用的。
射频工程师养成培训教程套装,助您快速成为一名优秀射频工程师...
天线设计工程师培训课程套装,资深专家授课,让天线设计不再难...
上一篇:MATLAB中的SISOTOOL在数字式移相全桥中的应用
下一篇:基于ARM与WindowsCE的LCD显示器设计

