- 易迪拓培训,专注于微波、射频、天线设计工程师的培养
采用超低功耗、降压DC-DC稳压器ADP5300/ADP5301/ADP5302/ADP5303设计反相电源
简介
某些应用,例如双极性放大器、光模块、电荷耦合器件(CCD)偏置等,通常需要通过正 输入电压来提供负输出电压。 电源管理系统的设计人员需要多功能开关控制器和稳压器,以便解决这些 电源管理挑战。ADI公司的超 低功耗、降压 DC-DC稳压器ADP5300/ADP5301/ADP5302/ADP5303,提供超低 静态电流、同步降压功能。这些稳压器的输入电源电压范围为2.15 V至6.50 V,可降压至0.8 V,并提供最高500 mA的输出电流。
虽然ADP5300/ADP5301/ADP5302/ADP5303是针对同步降压应用而设计,但这些器件的多功能性使得它们能够在不增加成本、外部元件数量和解决方案尺寸的情况下实现反相降压/升压 拓扑结构,进而通过正输入电压产生负输出电压。
超低 功耗技术使得ADP5300/ADP5301/ADP5302/ADP5303能够在轻负载工作条件下采用迟滞模式实现高效率。这些器件还可在脉宽调制(PWM)模式下工作,实现低噪声性能和重负载操作。
本应用笔记介绍如何在同步反相降压/升压 拓扑结构中实施ADP5300/ADP5301/ADP5302/ADP5303,以便从正输入电源产生负输出电压。本应用笔记还讨论了降压/升压拓扑结构的一些限制和可能的解决方案。
降压/升压拓扑结构基本原理
图1显示了简化的降压/升压拓扑结构。它由一个电感、两个彼此错相的电源开关、一个输入电容和一个输出电容组成。
图2和图3分别是S1接通时和S1断开时的电流流向图。接通时,开关S1导通,开关S2断开,电流从输入电容流出,给电感充电,输出电容则向负载提供能量。断开时,开关S1断开,开关S2导通,电流从电感流向负载,同时给输出电容充电。
注意,电流从接地端流向VOUT,从而产生负输出电压。

通过对该拓扑结构应用电感伏秒平衡和电容电荷平衡原理,可写出稳态转换比,如方程1所示。方程2指定了PWM模式下的直流电感电流值IL。方程3给出了电感纹波电流ΔIL。

其中:
VOUT为输出电压。
VIN为输入电压。
D为占空比:
IOUT为输出电流。
L为电感值。
fSW为开关频率。
利用ADP5300至ADP5303实现降压/升压拓扑结构
利用同步降压稳压器ADP5300/ADP5301/ADP5302/ADP5303实现降压/升压拓扑结构反相电源应用时,应考虑表1所列的设计限制。
表1.利用ADP5300/ADP5301/ADP5302/ADP5303实现降压/升压拓扑结构的设计限制

降压/升压电路的最低输入电压必须高于ADP5300/ADP5301/ADP5302/ADP5303的UVLO电压,稳压器工作的典型UVLO值为2.06 V。最大输入电压与输出电压绝对值之和必须小于稳压器的最大工作输入电压,其典型值为6.50 V。为使电路正常工作,确保电感峰值电流小于稳压器的最低限流触发点。

图4.利用ADP5300/ADP5301/ADP5302/ADP5303实现反相降压/升压拓扑结构
为了将同步降压稳压器转换为降压/升压拓扑结构,电感和输出电容须按照在降压拓扑结构中的方式连接。注意,接地点和输出电压点反相(参见图4)。输出电压与降压拓扑结构相同,由外部VID电阻设置。电阻值参见表2。
表2.通过VID引脚选择输出电压(VOUT)

电感选择
电感值取决于工作频率、输入电压和电感纹波电流。考虑到电感峰值电流,建议采用比降压拓扑结构所用电感更大的电感。然而,电感值不能过大,以免影响环路稳定性。为避免过早产生电流限制,应确保电感峰值电流不超过最低峰值限流阈值(PWM模式下为ILIM_PWM,迟滞模式下为ILIM_HYS)。
电感峰值电流等于电感平均电流与峰峰值电感纹波电流的一半之和。

考虑到电感峰值电流,对于PWM模式和迟滞模式下的常用输入电压,反相降压/升压拓扑结构中ADP5300/ADP5301/ADP5302/ADP5303的负载电流能力分别如图5和图6所示,假设电感值为4.7 μH,开关频率为2 MHz。

图5.针对PWM模式下的常用输入电压的负载电流能力

图6.针对迟滞模式下的常用输入电压的负载电流能力
电感的饱和电流必须大于电感峰值电流。对于具有快速饱和特性的铁氧体磁芯电感,电感饱和电流额定值必须大于开关的限流阈值,以防止电感在正常工作时发生饱和。
输出电容选择
注意,输出电流在反相降压/升压拓扑结构中是非连续的。在接通时,随着电感中储存的能量增加,输出电容向负载提供能量。在断开时,电感同时向负载和输出电容提供能量。
输出电容值的一个主要问题是容许的输出电压纹波,它取决于输出电容的两个参数。一个是电容值,另一个是输出电容的等效串联电阻(ESR)。以下方程提供了让输出电压纹波保持在容许范围内所需的最小电容估算值(COUT):
其中:
ΔVRIPPLE为容许的输出纹波电压。
ESR为输出电容的总等效串联电阻。
IPEAK为电感峰值电流。
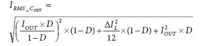
为了实现尽可能低的输出纹波电压,建议使用ESR值非常低的多层陶瓷电容(MLCC)。所选输出电容的均方根电流额定值必须大于下式计算值:

输入电容选择
在反相降压/升压拓扑结构中,输入电流也是非连续的。假设在电源接通时输入电容能量损耗所引起的输入电压偏差小于输入电压的5%,则通过下式可计算满足此要求所需的最小输入电容(CIN):
其中:
IAVG为电感平均电流。
为输入电容的等效串联电阻。
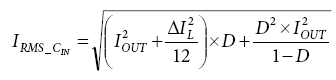
建议至少使用一个10 µF陶瓷电容,而且其必须尽可能靠近PVIN引脚放置。所选输入电容的电流均方根值必须大于下式计算值:

虽然输入电压轨上的大多数电容都以系统接地为基准,但在输入电压与ADP5300/ADP5301/ADP5302/ADP5303的PGND引脚之间再放置一个输入去耦电容可以减小输出电压纹波,并改善瞬态响应性能,如图7所示。

图7.PVIN与PGND引脚之间连接输入去耦电容的反相降压/升压拓扑结构
使能信号电平转换
ADP5300/ADP5301/ADP5302/ADP5303有一个EN引脚,用于使能和禁用稳压器。然而,在反相降压/升压应用中,IC以负输出电压(而不是系统接地)为基准。如果试图禁用稳压器而将EN引脚连接至系统接地点,结果有可能是ADP5300/ADP5301/ADP5302/ADP5303仍在工作。
为此,可能的解决方案之一是使用超低功耗反相器、P型金属氧化物 半导体场效应晶体管(MOSFET)和电阻,并通过合理连接形成EN电平转换电路,如图8所示。

图8.反相降压/升压拓扑结构的EN电平转换电路
注意,使用电平转换电路时,ADP5300/ADP5301/ADP5302/ADP5303的精确使能特性不复存在。如果不需要使能功能,只需将EN引脚连接到输入电压,如图8所示。
启动前降低VOUT斜升
利用同步降压稳压器实现反相降压/升压拓扑结构时,一个常见问题是输出电压可能斜升,并在稳压器开始工作前变为正电压(参见图9)。

图9.启动前VOUT斜升
造成这种正输出电压斜升的原因是稳压器的关断电流,此电流从IC的PGND引脚经过低端MOSFET的体二极管,再回到系统接地点,如图10所示。低端MOSFET的体二极管将VOUT箝位在体二极管的正向电压水平,其典型值通常在180 mV左右,因为ADP5300/ADP5301/ADP5302/ADP5303关断电流非常小。

图10.电流经过低端MOSFET的体二极管
VOUT连接至稳压器的PGND引脚,该引脚实际上是UVLO等内部电路的基准点,因此PGND引脚上的正电压会降低UVLO阈值电压。输入电压非常接近稳压器的UVLO阈值电压(典型值为2.06 V)时,稳压器可能无法启动。
当用于实施本应用笔记所述的反相降压/升压拓扑结构时,几乎所有同步降压稳压器都会出现此问题,很难彻底消除。
结论
在反相降压/升压拓扑结构中实施ADP5300/ADP5301/ADP5302/ADP5303的方案可以像降压方案一样简单、经济、小巧。当需要使能/禁用功能时,本应用笔记提供了一个简单的EN电平转换电路。本应用笔记还探讨了在反相降压/升压拓扑结构中应用同步降压稳压器时出现的VOUT斜升至正电压的问题。
系统设计人员遵循本应用笔记中的设计方程和建议,就能确保设计出稳健且满足所有要求的方案。
射频工程师养成培训教程套装,助您快速成为一名优秀射频工程师...
天线设计工程师培训课程套装,资深专家授课,让天线设计不再难...
上一篇:高压
IC
可取代汽车浪涌抑制器件
下一篇:场效应管——不就是一个电控开关

