- 易迪拓培训,专注于微波、射频、天线设计工程师的培养
如何设计面向大降压比应用的同步降压转换器
引言
DC-DC降压转换器已在工业领域得到了广泛应用,其中最常用到的拓扑便是降压转换器。半导体技术的发展使得现今的电子设备能在越来越低的3.3V、2.5V、1.8V甚至低至 1V电压下工作。。传统采用一个二极管的降压转换器的转换效率很低,尤其是在较低的输出电压下,原因是由于二极管通常会消耗不少的功率,其典型正向电压降为0.35V~0.5V,从而造成了较大比例的功率损耗。同步降压转换器采用MOSFET来代替二极管,该解决方案具有高效率、高输出电流和低输出电压等优势。MOSFET中的电压降与其接通电阻和电流成比例,其典型值为0.1V~0.3V。因此,功率损耗便可大大下降,从而达到很高的转换效率。另一方面,许多应用要求的输入电压范围很大。例如汽车应用中要求的输入电压范围比较大,而汽车电池的电压一般为 12V或24V,在尖峰情况下可能会达到40V。由于输入电压很高而输出电压很低(或者是输出电流很高),因此需要使用大降压比的转换器。
具有大降压比和低输出电压特性的功率转换器一般采用两级转换。第一级转换是将高输入电压转换为中间电压,第二级转换则将中间电压转换为需要的低输出电压。采用两级转换的原因很多。首先,大降压比则意味着需要低占空比。例如,一个24V输入及1.2V输出的转换器,其要求的占空比为 0.05,这对效率和性能而言都非常不利。甚至对于一般的降压转换器而言,这个很低的占空比是无法达到。第二,支持输出电压低于1.2V的设备一般其输入电压不会大于10V到15V。但是,根据之前所述,在汽车等一些设备中,甚至会出现高达40V的高输入电压。可是,对于能接受20V以上输入电压的设备,其输出电压往往都高于1.2V。因此,对于高输入低输出的电压应用来说,采用两级转换是非常合理。
两级转换的不良效率
效率是两级转换器所需要关注的一个主要问题。尽管对个别级的转换而言,均可以达到较高的效率,但是整体效率却可能很低。因为整体效率是各转换级效率之乘积。比如,图1所示为一个可将12V或24V的输入电压转换为5V输出电压的降压转换器的效率曲线。此外,图中同样给出了一个将5V 输入电压转换为1.2V输出电压的转换器效率。两个转换器同样在550kHz的频率下运作,并在半负荷下得出约80%的效率。可是,使用在两级转换中的这两个降压转换器的整体效率仅在60%~70%左右,如图2所示。
单级的效率曲线

图1 单级的效率曲线
[p]
两级转换的整体效率

图2 两级转换的整体效率
除了效率之外,与单级转换相比(稍后会作介绍),两级转换要求使用更多的元件并占用更多的板面积。所需的集成电路、电感器和降压电容器数量约为单级转换的两倍。此外,由于需要使用两个电感器,因此需要在两个转换器之间进行精确的同步以降低干扰。因此,两级转换的设计时间较长,而且包括板尺寸、元件成本、生产时间和调试等在内的整体成本也较高。
LM3103的效率曲线

图3 LM3103的效率曲线 [p]
同步稳压器的设计
与两级转换相比,宽输入范围和低反馈电压的同步降压转换器具有更高的效率、更小的尺寸和更经济的成本。例如LM3103,它是 LM310x系列产品中的一款,属于美国国家半导体的PowerWise产品系列。LM3103的输入电压可高达42V,输出电压可低至0.6V。因此,对于要求高降压比的应用来说,LM3103无疑是最佳的解决方案。为了进一步减少元件数量, LM3103还把MOSFET嵌入到内部,并采用一种恒定导通时间控制方法,省略了补偿电路。因此,转换器的设计就简化为对一些元件进行简单调节。下文将详述如何对元件进行调节。
图4所示为一个1.2V输出电压的LM3103原理图。图中的电容 CIN 和 COUT 为降压电容器, CIN3、COUT3则分别用来过滤高频噪声。至于CSS 和CBST 则用于软启动和自举功能, CVCC 和CFB则分别用作内部调节器和帮助反馈输出纹波。设计所需的其他元件如下:
* 用于输出电压的RFB1 和RFB2;
* 用于工作频率的RON;
* 与电感器电流纹波相关的L。
如何设计面向大降压比应用的同步降压转换器图示
图4 1.2V输出的LM3103原理图
输出电压
由于LM3103的内部参考电压等于0.6V,输出电压VOUT和由RFB1 和 RFB2组成的分阻器之关系如下:
公式

因为VOUT = 1.2V,我们可选择RFB2 = 10kΩ,那么RFB1可通过下式进行计算:
公式

[p]
工作频率
电阻器RON 用于决定转换器的导通时间,而该导通时间是与工作频率fSW成直接关系,并在LM3103中被编程成高至1MHz 。一旦fSW被确定,那RON便可通过下列算式计算出来:
公式

在图4中, fSW 设定为550kHz,因此计算出的RON等于26.3kΩ。
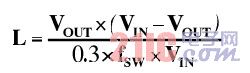
电感器电流纹波
LM3103需要约0.3A的电感器电流纹波。电感器的电流纹波与输入电压、输出电压以及工作频率有密切的关系。L的计算公式如下:

公式
在设计中把VIN定为 12V,则计算出来的L便等于6.55μH。
元件的选择应基于以上计算和图4中所示的实际数值。LM3103应用电路的效率曲线已在图3中展示出来。对比图2与图3,便会发现 LM3103的单级转换效率比起两级转换的整体效率高出了5到10%。表1对LM3103和两级转换进行了比较。从表中可以看出,在效率、元件数量和方案尺寸方面,LM3103都比两级转换有优势。
表1 LM3103与两级转换的对比

LM3103与两级转换的对比
射频工程师养成培训教程套装,助您快速成为一名优秀射频工程师...
天线设计工程师培训课程套装,资深专家授课,让天线设计不再难...
上一篇:智能车的设计
下一篇:DC/DC变换器在汽车照明中的应用方案

