- 易迪拓培训,专注于微波、射频、天线设计工程师的培养
针对产品的缺陷,三相多功能电能表解决方案诞生
背景
电能表是用来测量电能的仪表,又称电度表,火表,电能表,千瓦小时表,指测量各种电学量的仪表。目前国内的电能表设计已经走过了由8位MCU向通用DSP甚至专用DSP的变革,通用DSP的应用方案的劣势在于DSP的专业应用和嵌入程度不够深的问题,成本偏高;基于ARM的方案也已经出现,但是适合应用的ARM7 TDMI在性能上不尽人意,同时外设资源不足;而更高端的ARM9系统的复杂程度很高,成本也较高。这样很多的企业都不乐意去使用这个高成本的电能表,这样市场就严重的缩水,所以要研究一种廉价的,满足客户需求的电能表,来填补这个空缺。
一、关于CORTEX-M3与STM32
最新一代ARM v7内核,命名为Cortex,同ARM7/9/10/11相比在架构上有了革命性突破。它采用高效的哈佛结构三级流水线,达到1.25DMIPS/MHz,在功耗上更是达到0.06mW/MHz。Cortex-M3使用Thumb-2指令集,自动16/32位混合排列。单周期的32位乘法以及硬件除法器,保证Cortex-M3的运算能力有大幅提高,Cortex-M3包含嵌套向量中断控制器NVIC,中断响应速度最快仅6周期,内部集成总线矩阵,支持DMA操作及位映射。
STM32系统按性能分成两个不同的系列:STM32F103“增强型”系列和STM32F101“基本型”系列。增强型系列时钟频率达到72MHz,是同类产品中性能最高的产品;基本型时钟频率为36MHz,以16位产品的价格得到比16位产品大幅提升的性能。
二、基于STM32的电能表方案
根据电能表的功能和误差精度的需求,我们选用了STM32F103xx,最高工作频率为72MHz。

(一)采集数据处理与计算
在实际应用中,电力信号通过互感器采集到电能表中,通过一个6通道16位模拟前端处理器(AD73360)进行A/D转换,转换成数字信号并传输到STM32中。AD73360是6通道同步采样的Σ-ΔADC器件,它内置了基本型电压基准及通道内置独立的PGA,通过调整通道PGA可以获得合适的动态范围从而保证微弱信号的计量精度。

电压电流输入信号首先需要RC滤波网络滤波和数据采样,然后进行A/D转换。AD73360有独立的时钟源,可配置为自动数据采集与发送模式,通过SPI总线不断的将数据传向STM32。STM32内的Cortex-M3内核对输入的数字信号进行处理,完成数字滤波,过零点检测,得到基本的电流电压数据,经过时间积分计算和转换得到相应的电能计量。
(二)采样电路和滤波网络
由于被采样信号为高电压信号和大电流信号,我们需要对被采样信号做高保真转换为双极性的电压信号以便用AD电路离散化处理,我们需要令输入信号位于AD73360的动态范围的正中。采用的方法是:定义ADC工作电压为5伏,选择参考电压2.5伏,将AD差分输入的负端直接接到参考电压输入,差分输入的正端接被测信号。电路分析可以参照图三:

(三)AD73360与STM32的接口
为了尽量少的占用CPU时间,需要使用STM32内部的硬件SPI和DMA单元实现数据传输,而STM32的内核根据DMA的传输结果来批量获取基础数据并启动数据处理程序。硬件连接关系如图4所示。

在STM32的硬件设置程序中,需要关闭SPI的所有中断,设置SPI为从模式,并选取一个DMA通道与之协同工作,自动将SPI从模式收到的数据保存在指定的内存地址。为了令AD73360正确采集数据,还必须根据使用要求配置AD73360的内部寄存器,令AD73360处于数据模式并主动向STM32发送采样数据。
三、主要电能参量的计算
AD73360是固定周期采集,我们使用的是150Hz或160Hz,即每周期采集150/160点,为此AD73360采用的时钟是6.000MHz或16.384MHz,系统中对AD73360的配置为DMCLK分频因子为2048。AD73360是差分采集,很方便进行过零点检测和直流分量调节,以保证信号幅度对称,从而减小系统误差。
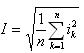
电压测量(有效值)计算式:

式中:U-电压有效值,n-每周期采样点数, uk —电压采样值
电流测量(有效值)计算式:

式中:I-电流有效值,n-每周期采样点数, ik-电流采样值
在得到的电流电压有效值基础上计算出总功率S通过对时间积分的电流电压积得到有功功率P,无功功率Q是总功率S与有功功率P之差,功率因数是有功功率P与总功率S的比。
对于单器件和三相四线星形负载的有功功率和无功功率的计算汇总如下:
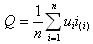
单元件有功功率计算式:
![]()
式中: P-单元件有功功率,n-每周期采样点数, uk-元件上电压采样值, ik-元件上电流采样值
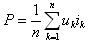
单元件无功功率计算式:

式中:Q-单元件无功功率,n-每周期采样点数, uk-元件上电压采样值, ik-元件上电流采样值(90度移相后)
三相四线三元件有功功率计算式: PΣ=Pu+Pv+Pw
式中: PΣ-三相有功功率,Pk -(k=u,v,w)各相有功功率
三相四线三元件无功功率计算式: QΣ=Qu+Qv+Qw
式中: QΣ-三相无功功率,Qk -(k=u,v,w) 各相无功功率
四、非线性失真的补偿与修正
电信号采集过程中可能存在的电磁元件会造成采集信号和实际信号之间的相位失真以及线性失真。为了补偿和修正这些失真带来的误差,还需要使用分段矫正和补偿的方法。
线性度补偿参数和相位补偿参数的获取方法如下:
1、零偏校准:令所有通道输入为零,分别记录各通道零点位置。
2、电压校准:令所有电压通道输入值为标准电压值220V(RMS),记录各相电压校准参数。
3、电流校准:令所有电流通道输入值为分界点电流,记录各通道小电流测量段校准参数。再令所有电流通道输入值为最大值,分别记录各通道大电流测量段的校准参数。
4、相移校准:分别令电流电压通道输入相位相差60度感性,并且电流通道的电流值处于相位补偿段的中间点,并根据有功电能误差来求取该补偿段的相位补偿参数。
5、求取的全部补偿参数存储在非易失存储器中。
五、电能表配合电路
实时时钟电路:Intersil的ISL12022M是内置时钟晶体的高可靠性全自动温度补偿RTC芯片。该RTC依靠工厂预校准,和全工业级温度范围的自动温补来保障电子产品全生命周期的计时精度,该RTC还具有电池状态监测、上电/掉电时间戳记录功能和内置数字温度传感器功能,更可以用在除电表外的综合电力终端设备中。
电压参考基准:Intersil的ISL21009系列是低噪声,高稳定度的精密电压基准,用于在AD73360内置基准的稳定度(50ppm)不够的情况下,为测量系统补充提供更高稳定度(5ppm)的参考电压。
电源管理电路:ON Semiconduction的NCP3063是低成本、高效率的DC/DC稳压器,它对外围电路要求简单,输入电压范围宽达40伏。而电能表往往工作在很宽的输入电压范围条件下,因此,NCP3063非常适合用在电能表工频变压器后面做5伏或3.3伏的直流稳压。
通信接口电路:Intersil的ISL3152E是全功能RS485接口芯片,该接口芯片拥有多项特别适合于电能表AMR系统的特性指标。其中包括,1/8标准负载驱动(256节点),正负16.5千伏ESD保护,热插拔功能,20Mbps总线速率,支持星型拓扑网络等等。
结语
基于CORTEX的STM32的三相电能表方案在市场上已有一定的名声,所以这个方案已经成功的解决了当前存在的各种问题,对于市场也有了很高的竞争力,企业的选择也会趋向于这个廉价的,方便快捷的系统。
射频工程师养成培训教程套装,助您快速成为一名优秀射频工程师...
天线设计工程师培训课程套装,资深专家授课,让天线设计不再难...
上一篇:基于SG3525A的车载逆变器设计方案
下一篇:购买LED驱动器还是自行设计

