- 易迪拓培训,专注于微波、射频、天线设计工程师的培养
新型电流感应电路技术介绍
DC-DC芯片中的新型电流感应电路技术
在DC-DC设计中,由于电流环路控制模式具有的巨大优越性,电流环路控制已经成为一种普遍采用的控制方法。在电流环路中,电流感应是实现电流控制环路的第一步,也是必不可少的一部分。另外,电流感应也是过流保护、零电流保护、斜坡补偿等功能的实现基础。
1 电流感应方法综述
电流感应的核心设计思想就是:设计的电路输出信号(电压或者电流)与输出电流(通过功率管或电感等)存在一个可以量化的关系式,即Vout=f(ILx)。一般而言,电流感应电路的取样位置在电感之后或PMOS功率管之前,如图1所示。而根据欧姆定律,用电阻将电流转换为容易处理的电压信号也是一种容易想到的办法。遗憾的是,通常通过PMOS管的电流极大(如500 mA或几A),那么,如果该处电阻值过大将会产生极大的功耗进而降低了DC/DC芯片的转换效率,而用片上集成电阻技术要做到极小阻值且精确的电阻(如小于100 mΩ)是相当困难的。但是不管将此电阻外接或者使用电感之后感应的办法,都会增加两个额外的芯片引脚,这在很多设计中是不可接受的。
在片上集成电阻电流感应中,常见的优化方法有两种:其一是将PMOS管按比例分割,如分成N:1,只在一条支路加入电阻取样。这样流过电阻的电流减小为原来的1/(N+1),但是,该支路由于电阻的加入,与流过大电流之路的等效阻值已经不再精确成比例,进而电阻感应的精度受到影响。其二,是利用PMOS本身的导通电阻:Ron=L/[μNCoxW(Vgs-Vt)],这样不存在集成电阻的问题,但MOS管的导通电阻受到工艺、工作温度因素的影响,很难精确控制。
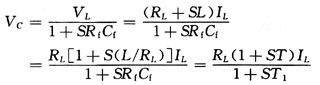
由于通过电感的电压:
VL=(RL+SL)IL
式中:RL是电感寄生电阻。
那么,在电感两端加入如图2(a)的RC滤波器,则在电容两端的电压:
式中:T=L/RL;T1=RfCf;RL为电感等效损耗电阻。
另外,由于电感电压变化与电流变化存在关系式:V=Ldi/dt,那么反之,对电感电压对时间积分,并除去L值,也可以得出IL值,电路如图2(b)所示。
但是,这两种方法需要L或RL已知,并且同样也需要增加芯片引脚。
其他方法还有平均电流感应技术、霍耳效应传感技术、电感变压器等。平均电流感应技术也需要知道外部电感的寄生电阻而不适合IC集成。霍耳效益传感技术需要对电感电流变化引起的磁场变化有灵敏的感应,但一般CMOS工艺集成的霍耳传感器通常存在低带宽、温度敏感、灵敏度低等缺陷,否则需要特殊的工艺参杂,其应用也受到一定限制,一般在多应用于电机控制领域,目前尚不见有用于DC/DC芯片集成的报道。电感变压器限于体积、成本等因素,通常在大电流领域采用。
2 基于电流模的电流感应方法
图3给出了一种利用SENSE-FET方式电流感应的电路。MH是PMOS功率管,有较大输出电流流过。将MHS设计成与MH成1:N的比例,放大器有较大增益。那么,根据反馈控制理论,放大器强制A点电压与B点电压相等,则IS:IMH=1:N。另外,由于电流镜强制I1=I2,那么,
[p]
这里,也得到了Vsense与IL的关系式。一般而言,这种电路结构比前述各种结构更适合芯片集成,且不易对输出电路产生如效率降低等影响,因而得到了广泛的应用。但是,放大器的使用增大了电路的复杂性。
由于电路处理的对象IL是电流形式,那么,如果使用电流模设计技术,可以大大简化电路。而且,如果后继电路更多地使用电流模,也可以简化电流控制环路电路设计。新设计的电流感应如图4虚框外部分所示,这里还包含了一个偏移消除电路,即图4虚框内部分,使感应更精确。电流感应电路工作原理与传统的SENSE-FET结构相似,这里使用电流模放大器替代通常的电压模放大器,使电路结构简化且能工作在更广泛的范围。偏移消除电路作用是抑制当Vgate为高时,额外的电流通过Rsense。因为,当Vgate为高时,偏移消除电路中Vgate控制的NMOS管也导通,则电路会从A点抽取适量的电流Ioffset。同样,与SENSE-FET结构分析过程相似,Ioffset是由MHSC与MHS的比例决定的。
3 结 果
图5给出在Spectre仿真器环境下,电流感应电路的输出波形的仿真结果,并与电感电流对比。由图5可见,电流感应电路的结果与电感电流有较好的传感精度。
4 结 语
通过总结对比可以使用于DC-DC芯片集成的各种电流感应技术,这种新型的电流感应技术有结构简单、精度较高、易于集成等优点,适用于多数DC-DC设计场合。
射频工程师养成培训教程套装,助您快速成为一名优秀射频工程师...
天线设计工程师培训课程套装,资深专家授课,让天线设计不再难...
上一篇:LED背光/照明驱动IC系列介绍
下一篇:基于PowerPC的单板计算机的设计

