- 易迪拓培训,专注于微波、射频、天线设计工程师的培养
大功率LED驱动电路研究设计
摘 要:根据大功率LED的供能要求,从EMI滤波、功率因素校正、半桥谐振转换三个方面着手,以FAN6961和FSFR2100为控制芯片,设计了一款大功率的高效率LED驱动电路,在90~264VAC的线路输入和满载下,功率因数高于93%,效率高于85%,并具有低输入电流谐波失真和低EMI。
0 引言
大功率LED以其高效率、无污染、长寿命等诸多优势正备受人们的青睐,但是大功率LED需要低电压、大电流的驱动电源,为了突出大功率LED的优势,就要求驱动电源具有较高的效率,较高的功率因数,并且可以过压、过流、过热保护。
1 原理与设计
本文所设计电路主要分为EMI模块、PFC变换器和DC/DC变换器三个部分,其中EMI模块采用双环滤波,达到了较理想的效果;采用飞兆FAN6961芯片作为PFC变换器的控制芯片,使用Boost变换,使功率因数得到提高;DC/DC变换器采用LLC谐振,以FSFR2100为控制器件,达到了较高的效率,其基本结构如图1所示。

图1 驱动电源设计结构
1.1 EMI模块
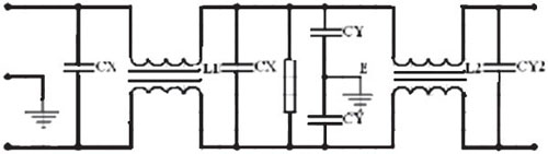
开关电源的干扰信号按传导模式可分为共模干扰信号和差模干扰信号。根绝其特点可粗略地划分为三个频段:
0.15~0.5MHz差模干扰为主;0.5~5MHz差、共模干扰共存;5~30MHz共模干扰为主。在设计时,如果哪个频段不达标,可针对该频段加强滤波效果。例如在0.15~0.5MHz频段不达标,可以加强差模干扰信号的抑制,增大电容Cx的值或添加差模扼流圈;如在5~30MHz频段不达标,可以加强共模干扰信号的抑制,增大Cy的值或增加共模滤波的级数。在抑制干扰信号时,重点还是放在共模干扰信号的抑制上。

图2 双环EMI滤波器
1.2 PFC变换器设计
1.2.1 Boost变换工作原理
Boost变换器亦称并联开关变换器。当驱动控制信号使开关晶体管VT导通时,能量从输入电源输入,并存储于电感L中,二极管VD反偏,负载由滤波电容C供给能量。
当VT截止时,电感L中的电流不能突变,它所产生的感应电势阻止电流减小,电势的极性左负右正。二极管VD导通,电感中储存的能量通过二极管VD流入电容C,并供给负载。

图3 Boost变换器电路结构
1.2.2 基于Boost的PFC变换器设计
我们可以看出在开关管导通期间,电感电压等于输入电压,电感电流随之线性增加,二极管D1截止,辅助绕组的电压随之增加,电流检测电阻的电压线性上升;当导通时间到达Ton时,开关管断开。当开关管断开时,电感电压降低,电感电流通过二极管D1流向负载,辅助绕组的电压随之降低,电流检测电阻上无电流流过,开关管再次开通前,电流检测电阻上电压已经为0;而零电流检测端电压波形与开关管驱动波形的脉冲刚好相反,当零电流检测端电压将为0时,开关管又开始导通,新一轮的周期开始。可以看出电路工作在临界导电模式下。

图4 FAN6961的外围电路
由下式我们得出开关管S的电流应力为:1.93A。

式1
由于PFC级输出电压范围为400± 20V, 所以V0_max=420V, 考虑选择PDPF20N50开关晶体管(VDS=500V, ID=12.9A, RDS(on)=0.2Ω)。
为了减少噪音,Boost变换器的开关频率要做到尽量低,但又必须大于20kHz(低于20kHz人耳能够听到)。本研究中设fmin=40kHz,此时输入电压的有效值VRMS=265V,Vin=√2VRMS=374V,V0=400V,输入功率Pin=P0/η=150/0.85=176.5W。代入下式得:L=220H。

式2
选择电感L=220H, 选取PQ3230为磁芯,各项参数查表知道,磁芯有效面积Ae=161mm2,AL=5140nH/N2,Le=7.46cm,磁芯的最高工作磁密Bs=0.32T,电感的峰值感应电流:

式3
电感的匝数由式(4)决定:

式4
对上式结果取整,定匝数为26。
Boost变换器的控制芯片为FAN6961,需要一辅助绕组,根据FAN6961的使用说明可知其匝数由式(5)决定:

式5
对上式取整,该辅助绕组的匝数为3 。
在PFC电路中,通常在整流桥的输出端接一个小电容,主要用来滤除输入端的高频噪音,其容量一般很小。它的取值具有下限值和上限值,其下限值由输入滤波电容的最大电压纹波决定,其上限值则由输入电流与输入电压的偏移角决定。
Vin(min)=√2Vin_RMS_min=120V,根据参考文献可知ΔVci(max)一般取最小输入电压峰值处5%。ΔVci(max)=5%Vin(min)=6V,L=220H,Pin=P0/η=150/0.85=176.5W,V0=400V,cosβ=0.9,ω=100π。代入下式:

式6

式7
由上式可得Cin min=0.67μF,Cin max=3.89μF;本文实验选择输入电容684/630V。
将Vmax=ΔVci(max)/2=3V,f=50Hz,f=50Hz,I0=P0/V0=0.375A代入下式:

式8
得:C0 min=199μF,考虑到最大输出电压为420V,因此在该实验中,选取容量220、耐压450V的电解电容。
1.3 DC/DC转换器设计
1.3.1 基于LLC谐振的DC/DC变换器
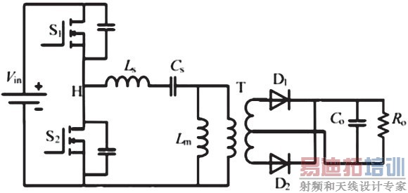
LLC谐振变换器优于常规串联谐振变换器和并联谐振变换器。首先,它可以在输入和负载大范围变化的情况下调节输出,同时开关频率变化相对很小。第二,它可以在整个运行范围内,实现零电压切换(ZVS),从而降低了开关损耗,提高效率。最后,所有寄生元件,包括所有半导体器件的结电容和变压器的漏磁电感和激磁电感,都是用来实现ZVS的。
图5所示为LLC谐振变换器的工作原理图,LLC谐振转换器一般包含一个带MOSFET的控制器(本文采用FSFR2100作为控制器)、一个谐振网络和一个整流网络。

图5 LLC谐振变换器工作原理图
FSFR2100以50%的占空比交替驱动两个MOSFET,随负载变化而改变工作频率,调节输出电压。谐振网络包括两个谐振电感和一个谐振电容。谐振电感Ls、Lm与谐振电容Cs主要作为一个分压器,其阻抗随工作频率而变化从而获得所需的输出电压。整流网络对谐振网络产生的正弦波形进行整流,然后传输到输出级。
1.3.2 LLC谐振各参数计算
由公式最小电压增益

其中K取8,则最小电压增益为:

式9
如图6所示。

图6 最小电压增益
知PFC级输出电压为

=405V,经查得变压器输出端整流二极管FFPF12UP2ODN压降VF=1.15V,要求输出电压V0=50V则变压器匝数比n为:

式10
对于同样的规格,谐振电感和电容都可以取不同的数值,在这里Cr的取值有个下限,Cr的数值需使得串联的谐振槽可以恒定增益区间的工作,而选择较大的Cr会使得Cr上的电压应力降低。这样带来的问题是使得谐振槽的阻抗降低,这会影响短路时的性能。当谐振槽阻抗降低时,则会使短路时电流变大,而且为了限制短路电流,会需要更高的开关频率。这里选择为22nF耐压630V的电容。
由公式

推导出:

式11

图7 LLC谐振变换器的典型增益曲线(k=8)
如图7振荡器的典型电压增益曲线所示,选取谐振频率为102kHz,并且在上一步中已经得出Cr=22nF,将这两个参数代入式(11)就可以得到:

式12
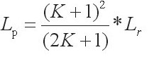
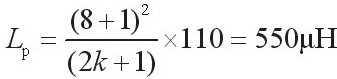
将k=8,Lr=110μH代入式(13):

式13
得:

式14
变压器的磁芯选择为EER3542(Ae=107mm2)磁芯,从图7所示的增益曲线得到最小开关频率为77kHz,则变压器的初级最小线圈数为:

式15
选择次级线圈匝数为8 则初级线圈匝数为

成立,故变压器的线圈匝数为:初级NP=36Ts,次级Ns=8Ts。
2 结语
本文所设计的大功率LED驱动电路所用到的元件较少,电路简单,创新性地利用FAN6961芯片将Boost电路和PFC模块相结合,并采用LLC谐振变换器,在保证较高效率的同时达到了较高的功率因数,大大减轻了电磁干扰,安全可靠。
射频工程师养成培训教程套装,助您快速成为一名优秀射频工程师...

