- 易迪拓培训,专注于微波、射频、天线设计工程师的培养
简易驱动器给力 高功率LED照明成本效益大增
发光二极管(
LED
)具有省电且毋须频繁维护的特性,已成为路灯及其他高功率照明应用的发展主流。LED照明驱动方法虽包罗万象,但为达到市场对更高效率及更低系统成本的要求,以新的简易拓扑电路来驱动多个LED灯串已势在必行。
观察路灯或用于体育场的高天井灯,以及其他高功率照明应用的发展趋势,正逐渐转向使用发光二极管(LED)做为光源的固态照明,主要原因在于LED具有更高的能源效率及较不频繁的维护需求,而这两项因素也证明如此的转向确有其必要性。
在此类高功率照明应用中,目前正考虑使用各种方法来驱动这些照明灯,本文将讨论一种能以更高的效率及更低的系统成本,来驱动多个LED灯串的新拓扑。为充分了解此一拓扑的优点,首先将探讨目前正在考虑解决方案或已经在低功率LED应用中发挥良好效果的各种方法。
驱动多LED串求效率 并/串联方案各有利弊
要驱动多个LED灯串,最简单的方法是使用能够将电源电压转换为直流电(DC)输出电压(例如12伏特或24伏特)的电源,然后以此一电源驱动并联LED灯串,且在各个灯串中使用电阻来调节电流。此方法成本很低,但是现今的高亮度LED会耗用350毫安(mA)以上的电流,故这种方法的损耗极大,造成效率不高,且电流调节效果不佳,而使得灯串之间的光线差异极为明显。
若要改善这种方法,必须使用线性稳压器取代电阻,以提升所有灯串的光线输出一致性。然而,这样做只能使光线输出一致,而效率或功耗并未明显改善。对于使LED使用寿命达到最长而言,降低功耗非常重要。在这两种方法中,使用电阻或线性稳压器做为固定热源,都会大幅缩短LED的使用寿命。
另一种同样相当简单的方法是制作长的单一串联灯串,并使用可产生高压DC稳定电流来源的单一电源。这种方法的高压运作会达到60VDC或42伏特均方根值(RMS)安全极低压(SELV)位准以上,而其中的照明设备或附件须经过安全机构的许可,因而使得将相同电机设计运用于其他应用的弹性大为降低。
单一灯串方法的另外一项考虑因素是可靠性。如果只有一个LED开启,便会释放整个照明设备的光线输出。虽然可加装许多消弧电路或装置来控制各个LED开启,但是这会增加灯具的成本及复杂度。
发光二极管(LED)具有省电且毋须频繁维护的特性,已成为路灯及其他高功率照明应用的发展主流。LED照明驱动方法虽包罗万象,但为达到市场对更高效率及更低系统成本的要求,以新的简易拓扑电路来驱动多个LED灯串已势在必行。
观察路灯或用于体育场的高天井灯,以及其他高功率照明应用的发展趋势,正逐渐转向使用发光二极管(LED)做为光源的固态照明,主要原因在于LED具有更高的能源效率及较不频繁的维护需求,而这两项因素也证明如此的转向确有其必要性。
在此类高功率照明应用中,目前正考虑使用各种方法来驱动这些照明灯,本文将讨论一种能以更高的效率及更低的系统成本,来驱动多个LED灯串的新拓扑。为充分了解此一拓扑的优点,首先将探讨目前正在考虑解决方案或已经在低功率LED应用中发挥良好效果的各种方法。
驱动多LED串求效率 并/串联方案各有利弊
要驱动多个LED灯串,最简单的方法是使用能够将电源电压转换为直流电(DC)输出电压(例如12伏特或24伏特)的电源,然后以此一电源驱动并联LED灯串,且在各个灯串中使用电阻来调节电流。此方法成本很低,但是现今的高亮度LED会耗用350毫安(mA)以上的电流,故这种方法的损耗极大,造成效率不高,且电流调节效果不佳,而使得灯串之间的光线差异极为明显。
若要改善这种方法,必须使用线性稳压器取代电阻,以提升所有灯串的光线输出一致性。然而,这样做只能使光线输出一致,而效率或功耗并未明显改善。对于使LED使用寿命达到最长而言,降低功耗非常重要。在这两种方法中,使用电阻或线性稳压器做为固定热源,都会大幅缩短LED的使用寿命。
另一种同样相当简单的方法是制作长的单一串联灯串,并使用可产生高压DC稳定电流来源的单一电源。这种方法的高压运作会达到60VDC或42伏特均方根值(RMS)安全极低压(SELV)位准以上,而其中的照明设备或附件须经过安全机构的许可,因而使得将相同电机设计运用于其他应用的弹性大为降低。
单一灯串方法的另外一项考虑因素是可靠性。如果只有一个LED开启,便会释放整个照明设备的光线输出。虽然可加装许多消弧电路或装置来控制各个LED开启,但是这会增加灯具的成本及复杂度。
运用降压转换器调节电流 降低驱动电路成本成关键
事实上,在高功率LED照明应用中,最常使用切换稳压器以调节电流的多重灯串架构,其中的单一主电源会将交流电(AC)电源转换为一般在SELV位准以下的单一DC总线电压;然后,此总线会为并联LED灯串供电,而各个灯串都有降压转换器(最常见)或升压转换器。为求简便,本文的分析仅局限于降压转换器,因为降压转换器在成本及组件数目方面都与升压转换器极为类似。
举例来说,图1显示一个低成本简易型降压稳压器电路,包含脉冲宽度调变(PWM)控制器、电感、金属氧化物半导体场效晶体管(MOSFET)、二极管,以及多个电阻与电容。如果需要更高的效率,可以使用MOSFET代替二极管,并使用能够达到同步降压运作的PWM控制器。
图1 简易型降压稳压器
而图2则显示利用降压稳压器进行电流调节的高功率多重灯串照明应用子系统区块。当AC电源输入经过整流后,便供给到功率因子修正(PFC)升压电路,其中PFC会产生400伏特的高压,而向下游隔离DC-DC转换器提供输入电源。然后,该转换器输出会用来产生低压总线(一般为12伏特或24伏特),而向经过降压调节的LED灯串供电。

图2 使用降压稳压器的一般高功率LED照明系统
这种方法拥有较高的效率,是以最小LED灯串数构成LED照明的理想选择。不过,对于具有四个以上灯串的高功率应用而言,组件数量及成本都会增加。对于电子组件厂商及供应链而言,产品销售量虽随之增加;然而,对于照明设备厂商及其用户来说,如此高的成本不利于产品受到广泛使用,因为固态照明的稳定发展须仰仗低成本的驱动电路,才能让市场成形并稳定成长。
兼具低成本/高效率 电气绝缘设计方案亮眼
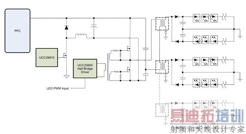
图3显示串联输入多重并联LED简易(Simple)驱动器,这是一种极具成本效益的多重LED灯串驱动方法。除了PFC之外,这也是一种两段式方法,其中包括反向稳定电流降压稳压器及下游DC-DC变压器电路。该方法的效率相当高,且具有优异的灯串电流调节功能,最重要的是,这是一个低成本的方法。

图3 简易型驱动多变压器
此外,针对各个灯串加装的单一被动硅控制整流器(SCR)消弧电路,这个方法也能够达到备援效用。如果一个LED或灯串开启,则光线输出不会高于其他灯串。
在深入研究其中的运作之前,必须先讨论对于使用简易驱动多变压器方法时出现的问题。首先要注意这是电气绝缘设计,其中可设计二次侧输出电压维持在SELV位准以下,便不须让照明设备与电源结合与互连,以获得安全机构的许可。原因与本文讨论的所有脱机解决方案一样,电源仍然须要安全许可,但是灯具并不需要,便省去一道流程。
此外,将输出维持在这些位准以下,亦可增加本身的弹性,使各种灯具都能满足其他许多照明应用的需求。
另从散热管理的角度来看,这种绝缘设计较为理想,因为其中没有对LED近接或接触金属附件的任何限制。更显著的特点是,这种绝缘设计不需输出端的回授,故不必使用光电或其他安全额定的绝缘回授装置,所以,本文也会探讨二次侧的简易性,因为二次侧只有少数的被动组件,且没有任何偏压电源、主动组件或操控装置。
总结来说,在运作方面,简易驱动器拥有1%以上的绝佳灯串电流匹配,而且具有高效率的谐振运作,能够随着灯串数增加而达到更高的成本效益。
PFC电路输出降低切换损耗
接着探讨PFC电路的输出,其为反向降压电路的输入模式,可经过配置而产生稳定电流输出,而系统封闭回路便位于这种电流附近,因此,所产生的电流输出会向下游供给到DC-DC变压器电路,而该电路包含一个半桥式控制器、两个MOSFET、电容C1与电容C2,以及多个变压器。
然后,该电流还会流经半桥式MOSFET开关,到达串联变压器的一次侧,其中,电容C1与C2将发挥许多功能,不仅可用于为半桥式建立分压器,同时是谐振电路的组成组件,并且是DC阻隔电容,有助于避免变压器饱和。而谐振运作允许MOSFET开关以零电压切换(ZVS)进行切换,这可降低切换损耗,并且强制输出二极管达到零电流切换(ZCS),以发挥最大的效率。
必须注意的是,现已转换为AC电流的DC电流会通过所有串联变压器的一次侧前后谐振。可串联的变压器一次侧数目相当有弹性,因为可选择绕组匝数比来支持许多变压器或LED灯串。不过,计算匝数比须考虑灯串数,这是由于其中规定变压器数目及各个灯串的正向电压。
发挥功率转换效益 PFC设计考虑不可或缺
若要发挥功率转换的最高效率,必须尽可能处理最少的功率,如此一来,也须尽可能接近输入电压进行运作才能达成。由于大多数高功率照明应用都支持主动PFC的使用,因此,为简单起见,可将它视为功能区块,并且将一些典型值输出代表其中的输出。
由于大多数主动PFC电路都能发挥升压转换器的作用,因此PFC输出电压的设定必须高于最高AC线路电压的峰值。在85~265VAC的一般输入范围中,大约是375伏特。增加容限及容差的一些动态范围之后,400伏特便成为典型的设定值。
此外,为确保下游降压拥有PFC输出变化的较多动态范围,就须增加较多的容限,以适应约40伏特的涟波,这使得反向降压输入运作点下限为大约360伏特。再加上为确保降压输出具有一定的最大压降,以便运作正常,也须要提供一定的动态范围,并将输出范围限定在280伏特。
计算降压/变压器匝数比 稳定电流值呼之欲出
了解各个范围限度之后,下一个步骤是要了解如何透过降压及变压器匝数比来计算此一设计实例的稳定电流值。在此类设计中,使用两个变压器以1安培(A)的电流驱动四个LED灯串,各个灯串都具有十个高功率LED。假设LED正向电压为3.5伏特,而灯串电压为35伏特,由于DC降压的输出运作点是设定在280伏特,故此时成为DC-DC变压器电路的输入。
此一情形表示施加于串联一次侧的电压将为电容分压器(由C1与C2组成)电压的二分之一,使得串联一次侧配置的电压达到140伏特。如公式1所示:

透过公式1的等式,各个变压器的一次侧电压(VP)=桥接电压/变压器数=140伏特/2=70伏特,匝数比的计算变得相当容易,其中NP=一次侧匝数;NS=二次侧匝数;VS=二次侧或LED灯串电压;VP=各个一次侧绕组两端的电压。
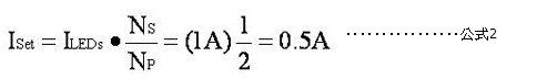
另一方面,若要计算各个变压器驱动两个LED灯串时,有关反向降压的电流输出设定值,必须先确认交替半个周期中各个变压器只有一个灯串导电。
不过,要在休眠期间维持LED导电状态,向导电灯串提供的电流必须是LED电流的两倍;也就是说,在所需LED电流为1安培的情况下,每半个周期向LED及滤波器电容提供的电流为2安培。若要计算降压稳压器,则必须如公式2所示设定电流值(ISet):

如上所述,确定变压器需求相当简单,同时使简易驱动成为能因应众多不同照明应用的弹性解决方案。不过,若要使简易驱动成为众多LED照明应用区块方法的一部分,还须要考虑上游功率级,例如半桥式的功率处理组件、反向降压及PFC等,因为必须调整这些功率级,才能处理所希望驱动器达到的最高功率级。
射频工程师养成培训教程套装,助您快速成为一名优秀射频工程师...
天线设计工程师培训课程套装,资深专家授课,让天线设计不再难...
上一篇:一种车载智能电源的设计
下一篇:光伏发电的嵌入式系统电源设计

