- 易迪拓培训,专注于微波、射频、天线设计工程师的培养
一种求解每个热源功率损耗的新方法
一 引言
DC-DC转换器的效率和功率损耗是许多电子系统的一个重要特征参数。可以测量出这些特征参数,并用下面的直观方式进行表达:
效率 = 输出功率 / 输入功率 (1)
功率损耗 = 输入功率-输出功率 (2)
但是对于每个元器件做为一个单独热源在损耗中所占的比重,这样的结果没有提供任何信息。而我们的方法学能让设计者更好地选择针对其应用的最佳DC-DC实现方案。
二 降压转换器的实例
降压转换器中的主要热源是高边MOSFET、低边MOSFET和电感器。如果我们使用电工学方法来判定高边MOSFET的功率损耗,那么就必须测量漏极电流、漏源电压、栅极电流和栅源电压。不幸的是,如果不在电流路径中引入额外的电感和干扰电路的正常工作,要在高频DC-DC转换器中测得这些数据是非常困难的。但借助热成像摄像机,我们研究出一种求解每个热源功率损耗的新方法,而且不会影响电路的工作。
三 新方法的基本原理
在一个电路中,将电能转换为热能的元器件是热源。能量转换成热会增加热源器件的和周围环境的温度。转变成热的能量就是元器件的功率损耗。整个温升(?T)取决于功率损耗(P)和环境。对于一个在固定测试台上的某块PCB板,?T是功率损耗的唯一函数。因此,如果我们测量出?T,就可以推导计算每个热源功率损耗的方法。
四 基本原理的推导
为简单起见,假设在PCB板上有两个热源(HS1和HS2)。HS1工作时不但使其自身的表面温度会升高,也会提高HS2的表面温度,对HS2来说也是如此。因此,每个热源的最终?T可以用下面的等式来表示。

Sij (i, j = 1,2)是热敏感度系数,与热阻的度数相同
Pi是每个热源的功率损耗
等式(3)也可以扩展到N个热源的情况。在这种情况下,每个热源的温升可以由下式给出。

S是一个N x N的矩阵
如果我们知道S的数值,就可以由下式得到每个热源的功率损耗。

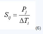
假设Sij与温度或电路的工作状态无关,那么就可以由等式6确定每个Sij。

这里,DTi是第i个热源的温升,Pj是第j个热源消耗的功率。所有其他器件都不起作用。 [p]
每次我们都使用简单的直流技术给一个热源供电,这样就可以以非侵入式方式测量热敏感度的系数。我们对被测器件(IC,MOSFET和电感器)施加直流电压和电流,迫使器件开始消耗能量,然后测出Pj。然后我们使用热成像摄像机测量表面温度的?Ti,接着就可以用上面的等式(6)计算出Sij。
我们使用了新的方法学计算两个降压拓扑的主热源:一个使用SiC739D8 DrMOS IC的集成式功率级,和一个使用两个MOSFET的分立式功率级,在分立式功率级中,Si7382DP在高边,Si7192DP在低边。
A.集成式降压转换器

图1
图1显示了用于集成式降压转换器的EVB前端。这里有4个热源:电感器(HS1),驱动IC(HS2),高边MOSFET(HS3)和低边MOSFET(HS4)。SiC739 DrMOS是一个单芯片解决方案,其内部包含的HS2、HS3和HS4靠得非常近。由于这里有4个热源,因此S是一个4x4矩阵。

图2显示了当低边MOSFET的体二极管是前向偏置时(AR0x Avg. => HSx),4个热源的温度。
如果 TA 为 23.3 C,那么,
(8)
测得的电流I4和电压V4分别是2.14A和0.6589V。
P4 = I4 V4 = 1.41W (8)
使用公式(7)中的温度信息,我们可以得到Si4,(i=1,2,3,4)
S14 = 5.82 (9)
S24 = 9.29
S34 = 9.5
S44 = 16.2
重复上述过程,可以得到如下的S矩阵。

然后解出S-1,
试验结果:集成式降压转换器
现在我们可以给SiC739 EVB上电,并使用等式(5)和(11)来计算每个热源的功率损耗。
P1 = 0.224W, 电感器 (12)
P2 = 0.431W, 驱动 IC
P3 = 0.771W, 高边MOSFET
P4 = 0.512W, 低边 MOSFET [p]
根据测试结果和等式 (2):
P1 + P3 + P4 = 1.538W
新方法给出的结果是:
P1 + P3 + P4 = 1.507W (13)
热学方法和电工学方法之间的结果差异是由小热源造成的,如PCB印制线和电容器的ESR。
分立式降压转换器

使用上述步骤和图3,我们获得了分立式方案的S矩阵,不过没有考虑驱动IC的功率。

| |
| |

使用上面图4提供的信息,我们可以得到在Vin = 12V, Vo =1.3V, Io = 8A, Fs = 1MHz条件下的功率损耗。
P1 = 0.228W, 电感器
P2 = 0.996W, 高边 MOSFET
P3 = 0.789W, 低边 MOSFET
比较等式(18)和等式(22),我们发现,由于两个电路使用相同的电感器,两个电路具有同样的电感器损耗,这个结果和我们预想的一样。尽管分立方案中低边和高边MOSFET的rDS(on)比集成式方案MOSFET的rDS(on)分别小23%和28%,集成式降压解决方案的损耗仍然比分立式降压方案的损耗要低。
我们可以认定,集成式方案的频率更低,而频率则与功率损耗相关。
五 总结和结论
测量高频DC-DC转换器功率损耗的新方法使用了直流功率测试,和一个热成像摄像机来测量PCB板上每个热源的表面温度。用新方法测得的功率损耗与用电工学方法测得的结果十分接近。新方法可以很容易地区分出象MOSFET这样的主热源,和象PCB印制线及电容器的ESR这样的次热源的功率损耗。试验结果表明,由于在低频下工作时的损耗小,高频集成式DC-DC转换器的整体功率损耗比分立式DC-DC转换器要低。
射频工程师养成培训教程套装,助您快速成为一名优秀射频工程师...
天线设计工程师培训课程套装,资深专家授课,让天线设计不再难...
上一篇:照明用LED驱动技术方案的探讨
下一篇:开关电源软启动电路设计

(16)