- 易迪拓培训,专注于微波、射频、天线设计工程师的培养
一个200W开关电源的功率级设计总结
1. 导言
新的功率在200W-500W 的交流电源设计,越来越需要功率因素校正(PFC),以在减少电源线上的能源浪费,并增加最多来自电源插座的功率。 这篇文章描述了一个用於液晶电视的200W 电源的设计与构造,所以提到了很多注意事项,以达到高效率,待机功率低於1W,外形小巧尤其是高度为25mm ,无风扇的简单冷却,低成本。这些特徵对於将要应用的场合是不可或缺的。
2. 电路描述和设计
设计指标如下∶
交流输入电压∶85-265VRMS·功率因素∶
> 0.95·总输出功率∶200W·
三个直流输出∶5V/0.3A12V/5A24V/6A电源分为两个单元。
第一电源集成一个功率因素校正电路,内置在FAN4800 PFC/PWM(脉宽调制)二合一控制器周围,产生一个24V/6A 和12V/5A 的输出。这个器件包含一个平均电流模式PFC 控制器和一个能够在电压和电流模式下工作的PWM控制器。在描述的这项应用中,PWM工作在电流模式,控制一个双管正激变换器。这种变换器能产生一个稳压的24V 输出。12V输出则由一个采用MC34063A PWM控制器的Buck 变换器产生。这个附加模块改善了12V输出校正,减少交叉调节问题,这对於多重输出正激变换器总是一个问题,当负载大范围变化时。附加变换器成本不是很高,如果与一个双管输出变换器的更复杂、更大的耦合电感相比。
第二电源是一个基於飞兆半导体功率开关(FPS)的Flyback 变换器,它给FAN4800提供电源和5V 输出。这个电源工作在待机模式下,它的无负载功耗低於500mW。因此,即使对於省电模式下小负载情况,也有可能满足1W待机功耗的限制。
为了简洁,设计计算和电路图将在每个模组中单独给出。最终完成的示意图和布局,可在附录中查到。
3. 功率因素校正
本节回顾了功率因素校正电路的电源选择。用来设立乘法器的工作点和差动放大器的增益和频率补偿的低功率部件的设计在[1]中给出。

3.1 整流器
由於主电源用来提供一个200W的输出功率,即总输入功率。假设PFC的效率为90%,正激变换器效率为90%,其中输出功率为∶

考虑到最大输入电压为85VRMS,最大输入电流为∶

电磁干扰滤波器的常见共模扼流圈,必须承受这部分电流,同时具有约10mH 高电感。市场上有一些扼流圈,具有高电流,高电感和小尺寸的特徵,来自EPCOS 和TDK。扼流圈的实际值和类型由电磁干扰测试确定,依赖於工作条件,也许与本文提出的滤波器有所不同。
与输出串联的负温度系数热敏电阻(NTC)限制了浪涌电流,但并非电源工作所真正需要的。
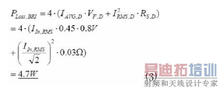
整流器根据IIn,RMS选定,但注意到高额定电流二极管通常在某一电流下具有更低的电压降,使用一个额定电流略高的整流桥是有利的。对於实际设计,选择一个6A/800V桥GBU6K。
整流器功耗是可以预计的,通过一个恒定正向电压下已知的近似二极管正向特性乘以一个串联电阻。正向电压VF 和串联电阻Rs 必须从规格说明书中查,对於GBU6K 分别是0.8V和0.03Ω。功耗方程变成∶

如果我们假设一个绝对的最高结温度TJ 为150℃,最高室温为50℃,然後BR1 散热器的热大热阻(与空气之间)应为

3.2 电感L1
在讲述的设计中,通过L1的波纹电流的振幅被选定为输入电流的20%。在这种选择下,电感可以根据下列等式(5) 计算∶

给出的电感差不多是1mH。当RMS电流等於RMS输入电流时,L1的峰值电流是

在这个电流和5A/mm2的电流密度下,所需的铜线截面积约为0.58mm2。 由於高频电流仅为输入电流的20%,趋肤效应和邻近效应不是很明确。三或四条细电线并联总面积能够达到所需面积就足够了。在实际设计中,使用了三根直径为0.5mm的电线,电流密度略低於5A/mm2。L1 的磁环尺寸根据被称为磁环区域乘积Ap确定,即有效磁性截面积和绕组面积(骨架)的乘积。这个乘积很容易证明是

其中ACu是铜线面积,Bpeak 是饱和磁通密度(对於大多数铁氧体,≤0.35T)。fCu是铜填充因子,对於简单电感,约为0.5;对於含有几个线圈的变压器,约为0.4。确定这些数据後,L1的Ap需求值是

基於惯例,对大多数磁环,磁性截面积和绕组面积非常相近,需要的磁环面积为

因此,对於我们的应用,一个合适的磁环的Ae约为122mm2。虽然,要找到此磁截面的磁芯并不难,但电感的高度由於应用要求被限制在25mm。因此,经过一番对磁环和筒管规格说明书仔细搜索之後,选择了EER3542,它的Ae为107mm2,AW为154mm2,得到AP约为16500mm4。
其中AL,0是无气隙磁芯的AL(查磁芯规格书),有气隙的磁芯的AL是1mH/1242=65nH。如果後两个值的单位是nH,Ae 的单位是mm2,那麽气隙长度s 的单位是毫米。在这次设计中,气隙长度约2 毫米。
3.3 Q1和D1
因为最高额定输入电压是265VRMS,Q1的最大漏极电压为500V 似乎足够了。但是建议使用一个额定电压为600V的MOSFET,因为经验显示这个600V MOSFET,能够承受浪涌测试,根据无损坏IEC61000-4-5标准,而500V类型则需要额外的浪涌电压限制器。同样,这对於Boost二极管也是有效的。这是因为电解质电容C5能够吸收大量能量,保护一个600V 器件,而不是500V器件。Q1和D1的峰值电流和通过L1 的峰值电流是相同的,即4.5A,而Q1的RMS 电流为∶

D1的RMS 电流为∶

尤其对於MOSFET,低功耗和峰值电流是选择某些器件的重要考虑因素。
经过一番计算,选择了一个最大RDSon约为0.45Ω@100℃的SuperFetTM FCP16N60。Q1 的总功耗分成传导功耗和开关功耗。传导功耗如下∶

开关损耗进一步分为,由於源漏电容(加上寄生电容的,例如L1 和PCB)放电导致的功耗和由於开关过程中电流和电压重叠带来的功耗,以及D1反向恢复带来的功耗。所有这三项都无法确切了解,但可以根据下面的表达式估计∶
FCP16N60的COSS,eff是110pF,而杂散电容Cext估计为150pF。50ns的交叉时间tcrossover 是一个合理的估计值,并且得到测量确认。二极管反向恢复导致的功耗预计为2W。最终,Q1 的总功耗是∶

4、双管正激变换器

当然有缺点需要考虑∶使用的拓扑需要两个晶体管,其中一个的门极电压悬浮于高电压。如果细看,这些问题都不是大问题,因为功率MOSFET 的导通阻抗正比於漏极电压,为2至2.5 倍。这意味著两个晶体管,只须有一半耐电压同时只有一半导通阻抗,即可使用更少的矽面积得到相同的传导功耗。所以两种解决方案的成本是相似的。
因为使用了门极驱动器FAN7382,第二缺点也没有了。这个器件包含一个完全独立的低端和高端门极驱动器。这是很重要的,因为在双管正激变换器中,所有的晶体管同时关闭和导通。当导通时,能量转移到次级;当关闭时,变压器经复位二极管D217和D218被去磁化。

对於双管和单管正激来说,主要设计等式完全相同,所以飞兆半导体应用说明AN-4137及其相关的电子数据表,如图3所示 [2],可用於考虑一些变化後的计算。由於变换器直流电压由一个PFC预调节器产生,填入电子数据表的线路电压须选择适当,以获得正确的直流电压。在这个应用中,284VRMS用於两个最低和最高线电压。线频率并不影响计算。
接下来,考量 直流母线电容大小(例如1000uF),因为使用到PFC,实际直流母线电容器两端的纹波电压相当小。
最高占空比也须严格小於0.5,允许变压器去磁化。为了留下一些馀量,最大占空比选择为0.45。
由於已经有了单个晶体管正激的表单,np/nr比(Excel:Np/Nr)和最大额定MOSFET电压可以忽略。
输出滤波电感L5的电流纹波因素Krf 的选择,通常是一个反复的过程。一方面,想使这个因素尽可能小,以减少初级和次级电流的RMS 和峰值。另一方面,L5 不得过大。因此,开始假设一个纹波因素,然後检查L5的配置结果是否可以接受。在这次设计中,KRF值为0.21,L5的计算电感为40μH。计算的绕组将完全填补一个EER2828磁环。根据选择的KRF,通过Q205和Q206的电流的RSM和峰值如下∶
如前所述,最高漏极电压稍微大於400V足够了,能有效使用额定电压为500V MOSFET。其次,输出建议使用600V MOSFET, 而不是一个浪涌电压限制器。SUPERFETTM FCP7N60具有下列数据功耗能够很容易得到,与计算Q1功耗类似。
这里给出了一个功耗上限值。在实际中,励磁电感的谐振和节电输出电容使电压降低到400V以下,Q206的功耗当然是完全相同的。每一个MOSFET需要一个最大热阻为20℃/W的散热器。
电流感应电阻R233的值是这样选择的,最大峰值电流可能超过1.6A。如果电阻值为0.56Ω,这个条件实现了但没有馀量。出於这个原因,选择0.47Ω电阻,此时最大峰值电流为2.1A。

电感L5,变压器,二次整流和滤波,都可以根据Excel表计算。在工作表给出的变压器AP等式的帮助下,为变压器选择了一个EER2834磁环,绕组数据可在附录中查到。整流二极管的反向电压计算值是57V,但是推荐使用一个指定最大电压至少100V的整流二极管。为了减少传导和开关损耗,最好使用肖特基二极管。RMS电流负载在电子数据表中给出,可以用来确定二极管;实际选择的是两个FYP2010DN二极管。整流二极管D219和D220的平均电流为∶

确定功耗的方法与BR1和D1的方法相同。

再次,每个二极管使用的散热器热阻不超过20℃/W。
5、 DC/DC 变换器
如图所示的Buck 变换器工作在连续模式,由一个简单的,但是工作在100千赫的有效PWM 控制器控制。因为开放集电极输出,使用一个由Q211/212 组成的驱动器来驱动P沟道MOSFET。通过Q209,D223和L6的峰值电流是6.3A。功耗差不多很容易被确定了。结果是∶器件需要的散热器的热阻不小於25℃/W。
由於肖特基二极管的快速开关,寄生振荡激烈,必须采用RC 网络R246/C250和R247/C249 抑制。虽然在文献中有很多如何确定这些网络值的等式,经验显示计算值仅仅是实验优化的一个初值。原则上,使用相容在一个FYP2010中的两个二极管是可能的,但在这种情况下,每个封装的功耗加倍了,散热复杂了。另一个用两个二极管代替一个的理由是,即自驱动同步整流器(未列出)准备的PCB 需要两个单独二极管。

6. 待机电源
由FSD210B 驱动的flyback 电源(图5),不仅产生5v输出电压,而且也给FAN4800和FAN7382供电。通过OC2,主电源在待机期间是完全关闭的,只有这个电源仍然工作。
通常这种电源没有什麽特别的,而且可以很容易地在AN-4137和相关电子数据表,或SMPS 设计工具[3]的帮助下进行设计。实际设计的输出电压是5V,电流是0.3A,但有了上述工具,改变设计到一个不同输出电压和功率高达约6W,并不是一个问题。由於使用FOD2711BTV,输出电压下降到3.3V 也不是问题。
7. PCB 布局和机械构造
在文献[4]中可以找到功率电子布局规则,谈到高di/dt 的回路封闭区域和高dv/dt 节点的铜箔区域必须尽可能小,旨在减少电磁干扰。另外,Q1的源引脚,R233接地,R5右侧和FAN4800 接地引脚应该连接成星形,以减少共阻抗耦合的负面效应。实际中的问题有∶对於较高输出功率,PCB会较大;功率半导体必须放置在大散热器上。结果是,往往不可能使回路小到应该达到的值,同时结合电流密度规则,布线和星形的铜芯面积会破坏完整的电路板。因此,一种高功率电源PCB有时是一种妥协,尤其是考虑成本须选择单面PCB。
如果密切留意实际的电路板,你会发现一些不太重要的信号走的路线不一定是最短路径。这允许仿效星形连接的大型接地平面。此外,接地平面和热信号之间的间隔应尽可能小(考虑可靠性,对於给定电压,间距约2mm),以使回路最小。其次是成本因素,由一个2mm 厚铝板组成的简单散热器,被弯曲成‘U’形,并被应用到初级和次级。只有Q1,消耗更多功率,需要一个额外的散热器。
8. 测试结果
本电路板有一份详细的测试报告。这里显示了三项测试结果。
8.1 待机电源和输入电压

见图78.2 全负载效率和输入电压见图8
输入电压大於110VRMS时,效率远高於预计的81%。对较小的电压,数据可通过一个低阻抗EMI滤波器和去除NTC1提高。
8.3 功率开关和二极管波形见图9

图9 的左侧显示Q212 的漏极电流(下迹线)和电压(上迹线)。从电流看来,CCM中的PSU工作是很明显的。该漏极电压被很好地箝制在直流电源电压,当MOSFET关闭时。变压器去磁化之後,电压开始下降。斜率由变压器激磁电感和MOSFET 的CDS确定的谐振值决定。
当MOSFET 导通时,漏极电压有机会接近最低值,但由於励磁电感的高误差(+/-30%)这可能因不同电路板而异。图10 的二极管波形清楚地显示了当二极管关闭时的寄生振荡。

射频工程师养成培训教程套装,助您快速成为一名优秀射频工程师...

