- 易迪拓培训,专注于微波、射频、天线设计工程师的培养
DC-DC正激变换器次级有源箝位电路
1 前言
图1为正激变换器次级拓扑结构电路,VD1为整流二极管,VD2是续流二极管,Lf是输出滤波电感,Cf是输出滤波电容。当初级开关管开通时,VD1导通,VD2截止,初级能量向负载转移;当初级开关管关断时,VD1关断,VD2开通,滤波电感电流通过VD2续流。以上只是理想状态,若考虑功率二极管的反向恢复特性和变压器漏感,当VD1(或V D2)处于反向恢复期时,有一冲击电流流经变压器,并将能量储存于变压器漏感中,此能量将使二极管承受较大的反向电压冲击。这样一方面需选用较高耐压等级的二极管,另一方面产生的EMI也较大。此外,由于变压器存在绕线电阻,此能量会使变压器发热。如何有效处理漏感能量呢 最常用的办法是将无源RC缓冲电路与每只功率二极管并联,如图2所示,使漏感能量都消耗在缓冲器上。工作频率越高,缓冲器消耗的能量越多,因此,变换器频率和效率都不高。下面 将介绍一种有源箱位电路,它能将功率二极管反向电压籍位在一较低范围内,并且能量回收电路将漏感所存储的能量无损耗地转移到负图1 DC载,便于实现变换器的小型化。

图1 正激变换器次级拓扑结构电路

图2 带RC缓冲电路的功率二极管
2 电路原理分析
DC 一DC 次级有源籍位电路如图3所示,L2表示变压器次级的漏感,由VDI,VD2,VD3,VD4,C1组成全桥结构籍位电路,VD1,V D2是正激变换次级主整流二极管和续流二极管。对于这种全桥结构,加在每个主二极管上的最大反向电压就

图3 DC 一DC 次级有源籍位电路
是电容CI的电压。因此,如果能将C1电压籍在小于每个二极管的最大反向电压,二极管就可实现安全籍位了VT3,L3 ,V D5,C: 组成升一降压式的能量回收电路。下面将分5个阶段对DC -DC次级有源籍位电路一个周期内工作过程进行分析,参见图4(图中纵坐标比例不一致)。
为了便于分析,作出如下假设:
(a) 输出电感Lf足够大,在一个开关周期内,其电流基本保持不变,因此L:和C;以及负载可看成一个电流为I。的恒流源;
(b) 变压器除考虑次级漏感外视为理想器件;
(c) 主二极管VD;和续流二极管VD:除考虑
反向恢复特性外其它均不考虑;
(d) 其它元件都是理想的。
(1) t0一 t1
to时刻 , 变换器初级开关管开通,变压器次级线圈电压U,翻转为Up,;/k,其中叽*为初级直流电压,k为变压器初次级匝比。整流二极管VD,正向偏置导通,流过玩、VD,的电流线性增长,增长率为di/dt= U sec/L 2。由于二极管的反向恢复特性,VD2 尚未关断,IVD2以相同的速率减小,但总的I0不变。
(2) t1一 t2
IL2 在 t; 时刻达到最大值IL2(max)二Io+IRR其中IRR为VD:的反向恢复电流峰值。t1时刻,VD2反向恢复期结束后关断,VD2上开始有反向电压,籍位二极管VD;导通。此时,籍位电路将加在VD:上的反向电压籍位为C1的电压,L:上多余的能量向C1转移,IL2下降,Uc,增加。t:时刻,IL2= I0 ,VD 4 关断
![]()
可以计算出这段时间转移到C2上的能量为:

(3) t2一 t3
t2时 刻 , VT3开通,而在此之前,IL3=0,因此V T3实现了零电流开通,开通损耗很小。C1上储存的能量通过负载一L3-V T3通路向负载和L3转移,IL3增加。由于I。不变,IVDI将减小。t3时刻,C1复位
![]()
(4) t3 一 t4
t3时刻,变换器初级开关管关断,同时VT 3关断,I0和IVDI线性减小,减率di/dt=U},/L29I V D 2以相同速率线性增加。储存于L3上的能量转移到C:上,IL3减小,其减小率为dIL3/dt=一Uo/L3。若忽略R3损耗,(因为在模块正常工作时R3上消耗的功率约0.3W ),C: 与负载并联,这样L3上的能量就转移到负载上去了。 [p]

图4 箱位电路工作原理波形
(5) t4 一 t5
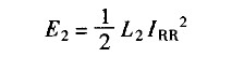
t;时刻 ,IL2和,VDl达到负的,RR,而IVD2达到最大值,ID2(MAX)=Io+IRR,VD1关断,籍位二极管V D3开通。此时,加在VD1上的反向电压为籍位电容C1的电压,漏感上的能量通过V D2-Cl-VD3-L:通路向C,转移,UCi增加。t5时刻,IL2 为0,这段时间转移到C1上的能量为:

t5时刻后 ,输出电感通过VD:续流,以维持输出电流连续。此后开始新的周期,状态同(1)。
3 、性能分析
3.1 、能量分析
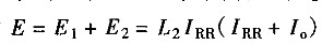
由于变压器的漏感与绕制工艺和磁芯材料有关,为了简化分析在这里将它看成一常量。由以上分析可知:在一个开关周期内漏感所储存的能量为
![]()
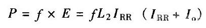
那么单位时间内漏感所储存的能量为

式中,f为变换器的工作频率)。若采用RC缓冲器与主二极管并联,这部分能量全消耗在缓冲器上。由该式可看出,P与f成正比,这使得采用RC缓冲器的变换器工作频率和效率难以提高。若采用本文介绍的能量回收电路,这部分能量全部转移到负载上,有利于提高工作频率和效率。
3.2 有源箱位分析
由以上分析可知,在一个开关周期内漏感所储存的能量均转移到籍位电容C1上,由此可得C,上电压增量△U为变换器的实验结果。

图 5是籍位电容C1两端电压波形。由图可看出,其电压是在160 V平均电压上有些波动,但最大值不超过180 V。因此,整流(续流)二极管用低耐压200 V的二极管是很安全的。

图 5 箱位电容C1两端电压波形
表 1是可选用的两种二极管的参数对比,显然,200 V比400 V的二极管有更低导通压降,同等条件下,用200 V的二极管导通损耗更低。
表 1 两种二极管参数对比

为了 确 保 二极管安全箱位,也就是当籍位电容吸收漏感多余能量而电压升高时二极管不会有烧坏的危险,籍位电容的电容量需要大些。这样,在每个开关周期,籍位电容上的电压就是在一平均电压基础上有微小的波动。由此可知,C1越大,DU越小。但C,越大,体积和价格也相应增加。因此,只要选择合适的C,值,DU就可确定,U十△U(主二极管上的最大反向电压)也确定了。将它与手册上拟选用二极管的最大反向电压相比较,即可确定二极管工作是否安全。表中,IRR反向恢复电流峰值在

Tj=100℃条件下测得;OF导通压降在if=60A ,Ti =150℃条件下测得。
此外, 经计算,(1)选用400V 功率二极管,RC缓冲电路总损耗137 W ;
(2) 选用 400V 功率二极管,有源缓冲电路总损耗70 W ;
(3) 选用 200V 功率二极管,有源缓冲电路总损耗48 W,,
由此可见 ,选用200V 功率管的有源缓冲电路比选用400 V功率管的RC缓冲电路节省功率89 W。对于2.8 kW的变换器而言,可将效率提高3个百分点。
5、结论
由以上分析可知,次级有源籍位电路有两个优点:(1)将功率二极管反向恢复期间存储于变压器漏感的能量无损转移到负载;(2)降低功率二极管电压应力。经实验验证,该电路设计是可行的。
射频工程师养成培训教程套装,助您快速成为一名优秀射频工程师...
天线设计工程师培训课程套装,资深专家授课,让天线设计不再难...
上一篇:医疗保健应用中的电源管理
下一篇:如何采用COT稳压器动态控制输出电压

