- 易迪拓培训,专注于微波、射频、天线设计工程师的培养
开关电源原理与设计(连载十六)正激式开关电源变压器参数的计算
1-6-3-2.正激式开关电源变压器参数的计算
正激式开关电源变压器参数的计算主要从这几个方面来考虑。一个是变压器初级线圈的匝数和伏秒容量,伏秒容量越大变压器的励磁电流就越小;另一个是变压器初、次级线圈的匝数比,以及变压器各个绕组的额定输入或输出电流或功率。关于开关电源变压器的工作原理以及参数设计后面还要更详细分析,这里只做比较简单的介绍。
1-6-3-2-1.正激式开关电源变压器初级线圈匝数的计算

图1-17中,当输入电压Ui加于开关电源变压器初级线圈的两端,且变压器的所有次级线圈均开路时,流过变压器的电流只有励磁电流,变压器铁心中的磁通量全部都是由励磁电流产生的。当控制开关接通以后,励磁电流就会随时间增加而增加,变压器铁心中的磁通量也随时间增加而增加。根据电磁感应定理:
e1 = L1di/dt = N1dф/dt = Ui —— K接通期间 (1-92)
式中E1为变压器初级线圈产生的电动势,L1为变压器初级线圈的电感量, ф为变压器铁心中的磁通量,Ui为变压器初级线圈的输入电压。其中磁通量ф 还可以表示为:
ф= S×B (1-93)
上式中,S为变压器铁心的导磁面积(单位:平方厘米),B为磁感应强度,也称磁感应密度(单位:高斯),即:单位面积的磁通量。
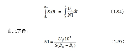
把(1-93)式代入(1-92)式并进行积分:

(1-95)式就是计算单激式开关电源变压器初级线圈N1绕组匝数的公式。式中,N1为变压器初级线圈N1绕组的最少匝数,S为变压器铁心的导磁面积(单位:平方厘米),Bm为变压器铁心的最大磁感应强度(单位:高斯),Br为变压器铁心的剩余磁感应强度(单位:高斯),Br一般简称剩磁,τ= Ton,为控制开关的接通时间,简称脉冲宽度,或电源开关管导通时间的宽度(单位:秒),一般τ取值时要预留20%以上的余量,Ui为工电压,单位为伏。式中的指数是统一单位用的,选用不同单位,指数的值也不一样,这里选用CGS单位制,即:长度为厘米(cm),磁感应强度为高斯(Gs),磁通单位为麦克斯韦(Mx)。
(1-95)式中,Ui×τ 就是变压器的伏秒容量,即:伏秒容量等于输入脉冲电压幅度与脉冲宽度的乘积,这里我们把伏秒容量用US来表示。伏秒容量US表示:一个变压器能够承受多高的输入电压和多长时间的冲击。
在一定的变压器伏秒容量条件下,输入电压越高,变压器能够承受冲击的时间就越短,反之,输入电压越低,变压器能够承受冲击的时间就越长;而在一定的工作电压条件下,变压器的伏秒容量越大,变压器的铁心中的磁感应强度就越低,变压器铁心就更不容易饱和。变压器的伏秒容量与变压器的体积以及功率无关,而只与磁通的变化量有关。
必须指出Bm和Br都不是一个常量,当流过变压器初级线圈的电流很小时,Bm是随着电流增大而增大的,但当电流再继续增大时,Bm将不能继续增大,这种现象称磁饱和。变压器要避免工作在磁饱和状态。为了防止脉冲变压器饱和,一般开关变压器都在磁回路中留一定的气隙。由于空气的导磁率与铁心的导磁率相差成千上万倍,因此,只要在磁回路中留百分之一或几百分之一的气隙长度,其磁阻或者磁动势将大部分都落在气隙上,因此磁心也就很难饱和。
在没有留气隙的变压器铁心中的Bm和Br的值一般都很高,但两者之间的差值却很小;留有气隙的变压器铁心,Bm和Br的值一般都要降低,但两者之间的差值却可以增大,气隙留得越大,两者之间的差值就越大,一般Bm可取1000~4000高斯,Br可取500~1000。顺便指出,变压器铁心的气隙留得过大,变压器初、次级线圈之间的耦合系数会降低,从而使变压器初、次级线圈的漏感增大,降低工作效率,并且还容易产生反电动势把电源开关管击穿。
还有一些高导磁率、高磁通密度磁材料(如坡莫合金),这种变压器铁心的导磁率和Bm值都可达10000高斯以上,但这些高导磁率、高磁通密度磁材料一般只用于双激式开关电源变压器中。
在(1-95)式中虽然没有看到变压器初级线圈电感这个变量,但从(1-92)式可以求得:
L1 = N1dф/dt (1-96)
上式表示,变压器初级线圈的电感量等于穿过变压器初级线圈的总磁通,与流过变压器初级线圈励磁电流之比,另外,由于线圈之间有互感作用,即励磁电流出了受输入电压的作用外,同时也受线圈电感量的影响,因此,变压器线圈的电感量与变压器线圈的匝数的平方成正比。从(1-95)式和(1-96)式可以看出,变压器初级线圈的匝数越多,伏秒容量和初级线圈的电感量也越大。因此,对于正激式开关电源变压器来说,如果不考虑变压器初级线圈本身的电阻损耗,变压器初级线圈的匝数是越多越好,电感量也是越大越好。但在进行变压器设计的时候,还要对成本以及铜阻损耗等因素一起进行考虑。
射频工程师养成培训教程套装,助您快速成为一名优秀射频工程师...
天线设计工程师培训课程套装,资深专家授课,让天线设计不再难...
上一篇:开关电源原理与设计(连载十)并联开关电源储能电感的计算
下一篇:开关电源原理与设计(连载九)并联式开关电源输出电压滤波电路

