- 易迪拓培训,专注于微波、射频、天线设计工程师的培养
开关电源原理与设计(连载七)反转式串联开关电源储能滤波电容的计算
1-3-3.反转式串联开关电源储能滤波电容的计算
反转式串联开关电源储能滤波电容参数的计算,与串联式开关电源储能滤波电容的计算方法基本相同。但要注意,即使是在占空比D等于0.5的情况下,滤波电容器充、放电的时间都不相等,滤波电容器充电的时间小于半个工作周期,而电容器放电的时间则大于半个工作周期,但电容器充、放电的电荷是相等的,即电容器充电时的电流大于放电时的电流。这是整流滤波电路的普遍规律。

从图1-8可以看出,在占空比D等于0.5的情况下,电容器充电的时间为3T/8 ,电容充电电流的平均值为3iLm/8或3Io/2 ;而电容器放电的时间为5T/8,电容放电电流的平均值为0.9 Io。
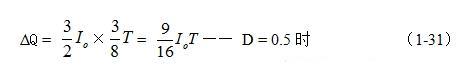
因此有:

式中ΔQ为电容器充电的电荷,Io流过负载的平均电流,T为工作周期。电容充电时,电容两端的电压由最小值充到最大值(绝对值),相应的电压增量为2ΔUc,由此求得电容器两端的波纹电压ΔUP-P为:

(1-33)和(1-34)式,就是计算反转式串联开关电源储能滤波电容的公式(D = 0.5时)。式中:Io是流过负载电流的平均值,T为开关工作周期,ΔUP-P为滤波输出电压的波纹,或电压纹波。一般波纹电压都是取电压增量的峰-峰值,因此,当D = 0.5时,波纹电压等于电容器充电的电压增量,即:ΔUP-P = 2ΔUc 。
同理,(1-33)和(1-34)式的计算结果,只给出了计算反转式串联开关电源储能滤波电容C的中间值,或平均值,对于极端情况可以在平均值的计算结果上再乘以一个大于1的系数。
当开关K的占空比D小于0.5时,由于流过储能滤波电感L的电流会不连续,电容器放电的时间将远远大于电容器充电的时间,因此,开关电源滤波输出电压的纹波将显著增大。另外,开关电源的负载一般也不是固定的,当负载电流增大的时候,开关电源滤波输出电压的纹波也将会增大。因此,设计开关电源的时候要留有充分的余量,实际应用中最好按(1-33)式计算结果的2倍以上来计算储能滤波电容的参数。
射频工程师养成培训教程套装,助您快速成为一名优秀射频工程师...
天线设计工程师培训课程套装,资深专家授课,让天线设计不再难...
上一篇:开关电源原理与设计(连载八)并联式开关电源的工作原理
下一篇:开关电源原理与设计(连载六)反转式串联开关电源储能电感的计算

