- 易迪拓培训,专注于微波、射频、天线设计工程师的培养
开关电源主电路拓扑结构的分析与比较
1 引言
开关电源被誉为高效节能电源。它代表着稳压电源的发展方向,现已成为稳压电源的主流产品。
开关电源的基本结构通常由DC/DC功率转换主电路和控制电路两大部分所组成。其中DC/DC主电路进行功率转换,它是开关电源的核心部分,对电源设备的电性能、效率、温升、可靠性、体积和重量等指标有决定性的作用。
主电路中开关转换器的拓扑结构,是指能用于转换、控制和调节输入电压的功率开关元件和储能元件的不同配置。开关转换器拓扑结构可分为两种基本类型:非隔离式和隔离式。这两种类型中又各自包含有不同的电路拓扑种类。
2 非隔离开关转换器
对于小功率DC/DC转换器(例如100W以下),实际上用开关晶体管、开关二极管、电感、电容各一个,就可以组成一台非隔离式DC/DC转换器,是各种 DC/DC转换器中最简单的拓扑。其主电路的核心是三端PWM开关,它表示DC/DC转换器PWM开关组合。开关晶体管、开关二极管和电感元件的不同组合,可以构成降压(Buck)、升压(Boost)、降压-升压型(Buck-Boost)和升压-降压型(Boost -Buck)型4种DC/DC转换器的拓扑结构。
2.1降压型拓扑结构
降压型DC/DC转换器将输入电压变换成 0≤U0≤Ui 的稳定输出电压,所以又称降压开关电源。图1为降压型DC/DC转换器的典型电路。Ui 为输入电源,通常为电池或电池组。S是主开关管,二极管D是辅助开关管,也称为整流管,一般使用具有较低正向导通电压的肖特基二极管。S是由来自控制电路的脉冲信号控制开关。RL表示负载电阻。

图1 降压型DC/DC转换器电路
在一个开关周期中,首先,在控制电路作用下S导通,二极管因受反向偏压而截止,电流由电池流经S、电感L到电容C和负载。电感电流持续上升,电感储能在增加,能量由电池传送到电感并存储在电感中;第二阶段,控制电路使S截止,切断电池和电感元件的连接,于是电感产生感生电动势使电流维持原来的流向,二极管 D导通,为电感电流构成通路,电流由电感L流向电容C和负载,电感电流随着时间而下降,能量由电感流向负载。
经电感L、电容C滤波,在负载RL上可得到脉动很小的直流电压Uo。为推导降压型DC/DC转换器的输出电压与输入电压间的关系,在主开关管S导通、二极管D截止时,忽略S管的正向导通压降;整流管导通、主开关管关断时,忽略二极管的压降 ;忽略电感、电容的寄生电阻。因为只有在开关管导通期间,储能电感 L的电流增加量和开关管截止期间储能电感L中的电流减少量相等时,电路才达到平衡状态,即在稳态时,电感充放电伏秒积相等,因此:

D为占空比。改变D,输出电压Uo的平均值也就随之改变。因此,当负载及电网电压变化时,可以通过闭合的反馈控制回路自动地调整占空比D来使输出电压Uo维持不变。
2.2升压型拓扑结构
升压型DC/DC转换器将输入电压变换成较高的稳定输出电压,又称升压开关电源。
如图2是升压型开关电源的典型电路。Ui 为输入电源,S是主开关管,D是整流管。该电路的每个开关周期同样可分为两个阶段:第一阶段,S导通,忽略开关管的正向导通压降,D截止。此时,电感电流线性上升,能量从输入电源转换成磁场能存储在电感L中,负载RL上得到的电压由电容C提供;第二阶段:S截止,电感电流 开始线性下降,能量由电感元件流向负载。经电容C滤波,在负载RL上可得到脉动很小的直流电 [p]
压Uo。利用同样的方法,根据稳态时电感L的充放电伏秒积相等的原理,可以推导出电压关系:


图2 升压型DC/DC转换器电路
2.3降压-升压型拓扑结构
这个电路的开关管和负载构成并联。在S导通时,电流通过L平波,电源对L充电。当S断时,L向负载及电源放电,输出电压将是输入电压Ui加上UL,因而有升压作用。
图3是降压-升压型开关电源的典型电路。Ui 为输入电源,S是主开关管,D是整流管。S在控制信号作用下在导通、截止状态间转换。该电路的工作可简单分析如下:第一阶段,S导通,D截止,忽略开关管的正向导通压降,此时,电感电流线性上升,能量从输入电源转换成磁场能存储在电感L中,此时负载得到的能量来自电容C;第二阶段,D导通,S截止,电感电流开始线性下降,能量由电感元件流向电容和负载。经电容C滤波,在负载RL上可得到脉动很小的直流电压 Uo ,计算其平均值,推出降压-升压型DC/DC转换器的输出电压与输入电压间的关系式:

式(3)中,若改变占空比D,则输出电压既可低于电源电压,也可能高于电源电压。

图3 降压-升压型DC/DC转换器电路
2.4升压-降压型DC/DC转换器
图4是升压-降压型开关电源典型电路。升压-降压型DC/DC转换器的基本工作原理如下:
第一阶段:S导通,D截止。在输入回路,电流由电池流向电感L1和主开关管S,电感L1接收来自电池的能量,电感电流线性增加;在输出回路,电容C1通过S对滤波电容C2、负载RL及L2放电,因此D受反向偏压而截止,这时C1将能量转移给L2。
第二阶段:S截止,D导通。当S截止时,在输出回路,L2要维持电流方向不变,产生感应电动势使D导通,于是能量由L2传送到C2和负载RL;在输入回路,电流由电池流经电感L1、电容C1和二极管D,以前一阶段的电感电流终值作为本阶段的电流初值开始向藕合电容C1充电,随着电容两端电压的增加,电感电流逐渐减少,能量由L1转移到C1中。
升压-降压型DC/DC转换器的输出电压与输入电压间的关系式同降压-升压型关系。升压-降压型DC/DC转换器电路复杂,但纹波性能得到改善。若将两电感绕在同一磁芯上,选择合适的匝比、耦合系数等,可得到零纹波输出。

图4 升压-降压型DC/DC转换器电路
[p]
3 隔离开关转换器
隔离式是指输入端与输出端电气不相通,通过脉冲变压器的磁耦合方式传递能量,输入输出完全电气隔离。隔离式又可分为以下几种拓扑结构。
3.1单端反激式DC/DC转换器
开关电源电路中所谓的单端是指转换器的磁芯仅工作在磁滞回线的一侧。所谓的反激是指当功率调整管T导通时,变压器N在初级绕组中储存能量;当功率调整管T 截止时,变压器N通过次级绕组向负载传递能量。即原/副边交错通断。这样可以避免变压器磁能被积累的问题,但是由于变压器存在漏感,将在原边形成电压尖峰,可能击穿调整管T,因此需要设置RCD缓冲电路。单端反激式DC/DC转换电路如图5所示。反激电路不应工作于负载开路状态。
当工作于电流连续模式时,单端正激式DC/DC转换电路如图6所示。从电路原理图上看,正激式与反激式很相似,表面上只是变压器同名端的区别,但工作过程不同。当T导通时,变压器N的初级和次级绕组同时导通,向负载传送能量,滤波电感L储存能量;当T截止时,电感L通过二极管D1继续向负载释放能量。

图5 单端反激式DC/DC转换电路
该电路的最大问题是:功率管T交替工作于通/断两种状态,当功率管关断时,脉冲变压器处于“空载”状态,其中储存的磁能将被积累到下一个周期,直至电感器饱和,可能会使功率调整管烧毁。

图6 单端正激式DC/DC转换电路
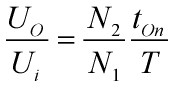
在输出滤波电感电流连续的情况下:

(5)
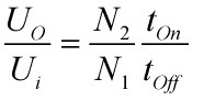
如果输出电感电路电流不连续,输出电压UO将高于上式的计算值,并随负载减小而升高,在负载为零的极限情况下:

(6)
3.3推挽式DC/DC转换器
推挽式DC/DC转换电路如图7所示。这种电路结构的特点是:变压器原边是两个对称线圈,两只功率调整管接成对称关系,轮流通断,工作过程类似于线性放大电路中的乙类推挽功率放大器。

图7 推挽式DC/DC转换电路
主要优点:高频变压器磁芯利用率高(与单端电路相比)、电源电压利用率高(与后面要叙述的半桥电路相比)、输出功率大、两管基极均为低电平,驱动电路简单。
该电路的主要缺点是:电路结构相对复杂,成本较高,变压器绕组利用率低,对功率管的耐压要求比较高。 [p]
当滤波电感L的电流连续时:

(7)
如果输出电感电流不连续,输出电压Uo将高于式中的计算值,并随负载减小而升高,在负载电流为零的极限情况下:

(8)
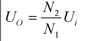
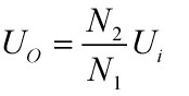
3.4全桥式DC/DC转换器
全桥式DC/DC转换电路如图8所示。这种电路结构的特点是:由4只相同的调整管接成电桥结构驱动变压器的原边。工作过程:互为对角的两个功率管同时导通,同一侧上的两功率管交替导通,使变压器一次侧形成幅值为 的交流电压,改变PWM占空比就可以改变输出电压。

图8 全桥式DC/DC转换电路
该电路使用的功率管数量多,且要求参数一致性好,驱动电路复杂,实现同步比较困难。这种电路结构通常使用在1kW以上超大功率开关电源电路中。
该电路的主要优点:与推挽结构相比,原边绕组减少了一半,开关管耐压降低一半。
当滤波电感L的电流连续时:

(9)
如果输出电感电流不连续,输出电压Uo将高于式中的计算值,并随负载减小而升高,在负载电流为零的极限情况下:

(10)
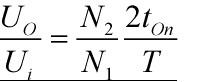
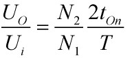
3.5半桥式DC/DC转换器
半桥式DC/DC转换电路如图9所示。由图可以看出电路的结构类似于全桥式,只是把其中的两只调整管换成了两只等值的大电容C1、C2。工作过程:T1和T2交替导通,使变压器一次侧形成幅值为 的交流电压,改变PWM的占空比就可以改变输出电压。

图9 半桥式DC/DC转换电路
主要优点:具有一定的抗不平衡能力,对电路对称性要求不很严格;适应的功率范围较大,从几十W到kW都可以;开关管耐压要求较低;电路成本比全桥电路低等。这种电路常常被用于各种非稳压输出的DC转换器,如电子荧光灯驱动电路中。

(11)
如果输出电感电流不连续,输出电压Uo将高于式中的计算值,并随负载减小而升高,在负载电流为零的极限情况下:
[p]
(12)
4 结论
开关电源主电路中转换器拓扑结构的选择与设计,在满足性能要求的前提下还要综合考验电源系统造价、性能指标和输入/输出负载特性等因素。在所有实际应用中,就电气特性而言,没有哪一个DC/DC转换器是最佳的。换言之,不同的应用,应选取不同的最合适的转换器。
参考文献
[1] 周志敏,周纪海, 纪爱华.开关电源实用电路[M].北京:中国电力出版社,2005.
[2] 周志敏,周纪海, 纪爱华.开关电源实用技术—— 设计与应用(第2版)[M].北京:人民邮电出版社,2007.
[3] 赵同贺,等.新型开关电源典型电路设计与应用[M]. 北京:机械工业出版社,2009.
[4] 郭创,张宗麟, 樊蓉. 常规开关电源拓扑结构及典型应用电路[J].电子元件与材料,2003,22(8).38-41.
[5] 候清江,张黎强, 许栋刚.开关电源的基本原理及发展趋势探析[J].制造业自动化,2010,32(9).160-162+169.
作者简介
姚志树(1978-),男,江苏盐城市人,硕士,讲师,研究方向为电力电子技术、电源技术。
射频工程师养成培训教程套装,助您快速成为一名优秀射频工程师...

