- 易迪拓培训,专注于微波、射频、天线设计工程师的培养
直流电机优化控制系统设计(一)
2 直流电机的控制原理与总体方案
随着我国城市轨道交通的发展,对轨道客车在电气化、智能化、节能化以及舒适性、便捷性等方面的要求越来越高,其中的内外端门的自动控制是待解决的关键技术问题之一。轨道客车门控制系统是轨道客车的一个重要组成部分,也是涉及安全和环保的重要关键环节之一。其类型很多,按动力源可分为:液压传动、气动和电动三种。从发展趋势看,液压系统已趋于淘汰。气动和电动占据着主要市场。
气动的主要由发动机驱动的空气压缩机、汽缸、活塞、螺旋副、转臂、蓄电池及电磁阀等组成。其工作原理是:电磁阀门开启后,来自空压机的具有一定压力的气源经输气管道进入汽缸,推动活塞及其上的螺杆上行,驱动螺母外的套管作逆向回转,使固连于该套管上的转臂带动车门关闭;在关门过程中,乘客被夹住时,光电传感器将采集的信号经电控系统传给电磁阀,使气压反向,驱动车门退回后再关,直到被夹状态消除后关门到位。开门时,电控使气源从反向进入气缸,运动与上述相反,则带动车门开启;当系统出现故障无法打开车门时,可操作“应急”按扭,将气缸的气体放掉,用人工推开车门,使乘客安全脱离。气动门能实现车门开、关及防夹自动化,功能齐全 。但其缺点也十分明显:(1) 控制装置体积大,占用了车内很大空间,式样也很不美观;(2) 消耗了较大的发动机能量,并增加了排放量,不利于节能减排;(3)由气路、电路双路控制,故障点多,尤其在冬季,密封件易老化而导致气体泄漏,使功能丧失,可靠性差;(4)采用空压泵(机)、电磁阀、电瓶、气控装置等,结构复杂,总成本高。为了解决气动门系统的弊端。
本论文采用电动作为轨道客车门的驱动源。相比与气动,采用电动作为门系统的驱动有以下特点:
(1) 电动门的系统的可靠性、实用性和环境适用性较气动门系统高;
(2) 电动门系统的机构空间尺寸小,有利于节约城市轨道客车的空间;
(3) 省略了大量的机械装置,噪音小,有利于提高车辆的舒适性。
2.1 直流电机调速方法简介
直流电机由于其优良的控制特性而使其得到了广泛的应用。目前,虽然交流电机动机的调速问题已经解决,但由于设备的投入和改造需要一个相当长的过程,因此其调速控制尚未普及,直流电机动系统仍在普遍使用。直流电机可分为有换向器的有刷直流电机和无换向器的无刷直流电机。虽然无刷电机在效率和使用寿命上比有刷直流电机都要突出,但其控制较为复杂。有刷直流电机的控制简单、调速性能好。因此这里我们还是选择有刷直流电机作为电能与机械能转换的载体。
直流电机的转速n和其他参量的关系可表示为:

(2-1)
其中Ua为电枢供电电压(V);Ia为电枢电流(A),
为励磁磁通(Wb),Ra为电枢回路总电阻(
);CE为电势系数,
,p为磁极对数,a为并联支路数,N为导体数。
由式(2-1)可以看出,直流电动机有三种基本调速方法:(1)改变电枢回路总电阻Ra; (2) 改变电枢供电电压Ua; (3) 改变励磁磁通
。
2.1.1 改变电枢回路电阻调速
在电枢回路中串入可调电阻Rw来改变电枢回路总电阻来调速,此时转速特性公式为:

当负载一定时,随着串入的外接电阻Rw的增大,电枢回路总电阻增大,电机转速就降低。这种方法调速比低,转速变化率大,轻载下很难得到低速,且效率极低,现在极少采用。
2.1.2 改变电枢电压调速
连续改变电枢供电电压,可以使直流电动机在很宽的范围内实现无级调速。改变电枢供电电压的方法有两种:一种是采用发电机-电动机供电的调速系统;另一种是晶闸管变流器供电的调速系统。变电枢电压调速是直流电机调速系统中应用最广的一种调速方法。该方法中由于电机在任何转速下磁通都不变,只是改变电动机的供电电压,因而在额定电流下,不论在高速还是低速下,电机都能输出额定转矩,该方法也称恒转矩调速。
近年来随着大功率半导体器件的发展,特别是IGBT和MOSFET等制造工艺的成熟和成本的不断降低,使得采用大功率半导体器件实现的直流电机脉宽调速系统得到迅猛发展。
2.1.3 改变励磁电流调速
当电枢电压恒定时,改变电机的励磁电流也能实现调速。由(2-1)式可看出,电机的转速与磁通
(也即励磁电流)成反比。这种调速方法在额定电压和额定电流下,不同转速时,电机始终可以输出额定功率,因此这种方法也称恒功率调速。
2.2 PWM可逆控制
PWM可逆控制属于改变电枢电压调速中的一种。自从全控型电力电子器件问世以后,采用脉冲宽度调制(PWM)的高频开关控制方式形成了PWM电机调速系统,与传统的V-M(晶闸管-电动机调速)系统相比,表现出较大的优越性:(1) 主电路线路简单,需用功率器件少;(2) 开关频率高,电流容易连续,谐波少;(3) 调速性能好,调速范围大,低速性能好,稳速精度高;(4)效率高,由于功率器件工作在开关状态,导通损耗小。由于有上述优点,直流电机PWM调速系统的应用日益广泛,特别是在中小功率的高动态性能系统中,已完全取代了V-M系统。为实现电机的正反转,需采用可逆PWM变换器,其主电路有多种形式,最常用的是桥式(也称H桥)电路。如图2-1所示:

图2-1 桥式可逆PWM变换器
电机M两端电压UAB随开关器件驱动电压极性的变化而改变,其控制方式有双极式、单极式、受限单极式等多种。 [p]
双极性驱动H桥时有关波形如图2-2所示:

4组驱动电压关系为:Ug1=Ug4=-Ug2=-Ug3,在一个开关周期T内,当0≤t
在电流波形中,id1相当于一般负载的情况,脉动电流的方向始终为正;id2相当于轻载情况,电流可在正负方向之间脉动,但平均值为正,等于负载电流。
当ton>
,时,UAB的平均值为正,电机正转,反之则反转;如果正负脉冲宽度相等,则平均电压为0,电机停止。
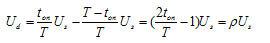
双极性可逆控制PWM变换器的输出平均电压为:
(2-2)
调速时,
的可调范围为0~1,当
时,电机正转;当
时,电机反转;
时,电机停转。
由于在工作过程中,4个开关器件都可能处于通态,为防止H桥在开关过程中上下臂直通的情况,在上下臂的驱动脉冲之间,还应加入了逻辑延时(死区)。
与单极式控制相比,双极式控制的桥式可逆PWM变换器有下列优点:
电流一定连续。
电机可在四象限运行。
电机停止时有微振电流,能消除静摩擦死区。
低速平衡性好,系统调速范围大。
低速时,每个开关器件的驱动脉冲仍较宽,有利于保证器件的可靠导通。
因此本文采用双极性PWM控制。
2.3 直流电机控制系统组成
2.3.1 系统组成
考虑客车门现场的实际情况,设定了开门键、关门键,及两个限位开关(实际由按键模拟),分别代表开门及关门信号和门运动的两个极限位置信号。
本文设计的直流电机控制系统由以下几个部分组成:DC-DC隔离变换、双极性PWM波形成及死区发生电路、光电隔离及驱动电路、转速及电流检测、按键及显示部分、串口通信模块和单片机部分。
系统框图如图2.3所示

2.3.2 系统原理
由图2.3可以看出,单片机是本系统的控制核心,控制信号由按键给定,通过不同按键向单片机发出开门或者关门信号。单片机识别按键后,若为开门信号,则将PWM波输出占空比设定为大于1/2,电机将正转;若为关门信号,则将PWM波输出占空比设定为小于1/2,电机反转。在执行关门的过程中若遇到阻力,通过检测电机的转速和电流变化,将门重新打开来实现防夹功能。
单片机产生的一路PWM信号经逻辑处理后产生两路反向的PWM信号,再经死区发生和光耦隔离后驱动H桥。限位开关用于检测门的在运动过程中达到的两个极限位置,当单片机收到限位开关的信号后,关断PWM输出,使电机停止。通过液晶LCD1602实时显示电机转速和电流,同时将这些数据通过RS-232串行通讯接口发送到上位机,上位机上显示电机的电流和转速曲线,从而便于分析电机的启动和动、静态特性。
射频工程师养成培训教程套装,助您快速成为一名优秀射频工程师...

