- 易迪拓培训,专注于微波、射频、天线设计工程师的培养
Boost升压电路原理
0 引言
在实际应用中经常会涉及到升压电路的设计,对于较大的功率输出,如70W以上的DC/DC升压电路,由于专用升压芯片内部开关管的限制,难于做到大功率升压变换,而且芯片的价格昂贵,在实际应用时受到很大限制。考虑到Boost升压结构外接开关管选择余地很大,选择合适的控制芯片,便可设计出大功率输出的DC/DC升压电路。
UC3S42是一种电流型脉宽调制电源芯片,价格低廉,广泛应用于电子信息设备的电源电路设计,常用作隔离回扫式开关电源的控制电路,根据UC3842的功能特点,结合Boost拓扑结构,完全可设计成电流型控制的升压DC/DC电路,且外接元器件少,控制灵活,成本低,输出功率容易做到100W以上,具有其他专用芯片难以实现的功能。
1 UC3842芯片的特点
UC3842工作电压为16~30V,工作电流约15mA。芯片内有一个频率可设置的振荡器;一个能够源出和吸入大电流的图腾式输出结构,特别适用于MoSFET的驱动;一个固定温度补偿的基准电压和高增益误差放大器、电流传感器;具有锁存功能的逻辑电路和能提供逐个脉冲限流控制的PWM比较器,最大占空比可达100%。另外,具有内部保护功能,如滞后式欠压锁定、可控制的输出死区时间等。
由UC3842设计的DC/DC升压电路属于电流型控制,电路中直接用误差信号控制电感峰值电流,然后间接地控制PWM脉冲宽度。这种电流型控制电路的主要特点是:
1)输入电压的变化引起电感电流斜坡的变化,电感电流自动调整而不需要误差放大器输出变化,改善了瞬态电压调整率;
2)电流型控制检测电感电流和开关电流,并在逐个脉冲的基础上同误差放大器的输出比较,控制PWM脉宽,由于电感电流随误差信号的变化而变化,从而更容易设置控制环路,改善了线性调整率;
3)简化了限流电路,在保证电源工作可靠性的同时,电流限制使电感和开关管更有效地工作;
4)电流型控制电路中需要对电感电流的斜坡进行补偿,因为,平均电感电流大小是决定输出大小的因素,在占空比不同的情况下,峰值电感电流的变化不能与平均电感电流变化相对应,特别是占空比,50%的不稳定性,存在难以校正的峰值电流与平均电流的误差,即使占空比<50%,也可能发生高频次谐波振荡,因而需要斜坡补偿,使峰值电感电流与平均电感电流变化相一致,但是,同步不失真的斜坡补偿技术实现上有一定的难度。
2 Boost电路结构及特性分析
2.1 由UC3842作为控制的Boost电路结构
由UC3842控制的Boost拓扑结构及电路分别如图1和图2所示。

图2中输入电压Vi=16~20V,既供给芯片,又供给升压变换。开关管以UC3842设定的频率周期开闭,使电感L储存能量并释放能量。当开关管导通时,电感以Vi/L的速度充电,把能量储存在L中。当开关截止时,L产生反向感应电压,通过二极管D把储存的电能以(Vo-Vi)/L的速度释放到输出电容器C2中。输出电压由传递的能量多少来控制,而传递能量的多少通过电感电流的峰值来控制。
整个稳压过程由二个闭环来控制,即
闭环1 输出电压通过取样后反馈给误差放大器,用于同放大器内部的2.5V基准电压比较后产生误差电压,误差放大器控制由于负载变化造成的输出电压的变化。
闭环2 Rs为开关管源极到公共端间的电流检测电阻,开关管导通期间流经电感L的电流在Rs上产生的电压送至PwM比较器同相输入端,与误差电压进行比较后控制调制脉冲的脉宽,从而保持稳定的输出电压。误差信号实际控制着峰值电感电流。
2.2 Boost升压结构特性分析
Boost升压电路,可以工作在电流断续工作模式(DCM)和电流连续工作模式(CCM)。CCM工作模式适合大功率输出电路,考虑到负载达到lO%以上时,电感电流需保持连续状态,因此,按CCM工作模式来进行特性分析。
Boost拓扑结构升压电路基本波形如图3所示。

ton时,开关管S为导通状态,二极管D处于截止状态,流经电感L和开关管的电流逐渐增大,电感L两端的电压为Vi,考虑到开关管S漏极对公共端的导通压降Vs,即为Vi-Vs。ton时通过L的电流增加部分△ILon满足式(1)。

式中:Vs为开关管导通时的压降和电流取样电阻Rs上的压降之和,约0.6~0.9V。
toff时,开关管S截止,二极管D处于导通状态,储存在电感L中的能量提供给输出,流经电感L和二极管D的电流处于减少状态,设二极管D的正向电压为Vf,toff时,电感L两端的电压为Vo+Vf-Vi,电流的减少部分△ILoff满足式(2)。
式中:Vf为整流二极管正向压降,快恢复二极管约0.8V,肖特基二极管约0.5V。
在电路稳定状态下,即从电流连续后到最大输出时,△ILon=△ILoFf,由式(1)和(2)可得

如果忽略电感损耗,电感输入功率等于输出功率,即
由式(4)和式(5)得电感器平均电流

同时由式(1)得电感器电流纹波

式中:f为开关频率。
[p]
为保证电流连续,电感电流应满足
考虑到式(6)、式(7)和式(8),可得到满足电流连续情况下的电感值为

另外,由Boost升压电路结构可知,开关管电流峰值Is(max)=二极管电流峰值Id(max)=电感器电流峰值ILP,

3 样机电路设计
样机的电路图如图2所示,是基于UC3842控制的升压式DC/DC变换器。电路的技术指标为:输入Vi=18V,输出Vo=40V、Io=2A,频率f≈49 kHz,输出纹波噪声1%。
根据技术指标要求,结合Boost电路结构的定性分析,对图2的样机电路设计与关键参数的选择进行具体的说明。
3.1 储能电感L
根据输入电压和输出电压确定最大占空比。由式(4)得

当输出最大负载时至少应满足电路工作在CCM模式下,即必须满足式(9),

同时考虑在10%额定负载以上电流连续的情况,实际设计时可以假设电路在额定输出时,电感纹波电流为平均电流的20%~30%,因增加△IL可以减小电感L,但为不增加输出纹波电压而须增大输出电容C2,取30%为平衡点,即

L可选用电感量为140~200μH且通过5A以上电流不会饱和的电感器。电感的设计包括磁芯材料、尺寸、型号选择及绕组匝数计算、线径选用等。电路工作时重要的是避免电感饱和、温升过高。磁芯和线径的选择对电感性能和温升影响很大,材质好的磁芯如环形铁粉磁芯,承受峰值电流能力较强,EMI低。而选用线径大的导线绕制电感,能有效降低电感的温升。
3.2 输出电压取样电阻R1、R2
因UC3842的脚2为误差放大器反向输入端,芯片内正向输入端为基准2.5v,可知输出电压Vo=2.5(1+R1/R2),根据输出电压可确定取样电阻R1、R2的取值。
由于储能电感的作用,在开关管开启和关闭时会形成大的尖峰电流,在检测电阻Rs上产生一个尖峰脉冲,为防止造成UC3842的误动作,在Rs取样点到UC3842的脚3间加入R、C滤波电路,R、C时间常数约等于电流尖峰的持续时间。
3.3 开关管S
开关管的电流峰值由式(10)得
Iv(max)=ILP=5.11A
开关管的耐压由式(11)得
Vds(off)=Vo+Vf=40+0.8=40.8V
按20%的余量,可选用6A/50V以上的开关管。为使温升较低,应选用Rds较小的MOS开关管,要考虑的是通态电阻Rds会随PN结温度T1的升高而增大。
图4为实测开关管的开关电压波形和电流瞬态波形图。

[p]
3.4 输出二极管D和输出电容器C2
升压电路中输出二极管D必须承受和输出电压值相等的反向电压,并传导负载所需的最大电流。二极管的峰值电流Id(max)=ILP=5.11A,本电路可选用6A/50V以上的快恢复二极管,若采用正向压降低的肖特基二极管,整个电路的效率将得到提高。
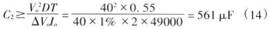
输出电容C2的选定取决于对输出纹波电压的要求,纹波电压与电容的等效串联电阻ESR有关,电容器的容许纹波电流要大于电路中的纹波电流。
电容的ESR<△Vo/△IL=40x1%/1.33=O.3Ω。
另外,为满足输出纹波电压相对值的要求,滤波电容量应满足
根据计算出的ESR值和容量值选择电容器,由于低温时ESR值增大,故应按低温下的ESR来选择电容,因此,选用560μF/50V以上频率特性好的电解电容可满足要求。
3.5 外补偿网络
UC3842误差放大器的输出端脚l与反相输入端脚2之间外接补偿网络Rf、Cf。 Rf、Cf的取值取决于UC3842环路电压增益、额定输出电流和输出电容,通过改变Rf、Cf的值可改变放大器闭环增益和频响。为使环路得到最佳补偿,可测试环路的稳定度,测量Io脉动时输出电压Vo的瞬态响应来加以判断。
图5为Cf选用0.0lμF和470pF时动态响应控制波形的区别,上冲下降幅度和复位时间都有差别。

3.6 斜坡补偿
在实用电路中,增加斜坡补偿网络,一般有二种方法,一是从斜坡端脚4接补偿网络Rx、Cx至误差放大器反相输入端脚2,使误差放大器输出为斜坡状,再与Rs上感应的电压比较。二是从斜坡端脚4接补偿网络Rx、Cx到电流感应端脚3,将在Rs的感应电压上增加斜坡的斜率,再与平滑的误差电压进行比较,作用是防止谐波振荡现象,避免UC3842工作不稳定,同时改善电流型控制开关电压的噪声特性。本文采用方法二。
3.7 保护电路
当UC3842的脚3电压升高超过1V或脚1电压降到1V以下,都可使PWM比较器输出高电平,造成PWM锁存器复位。根据UC3842关闭特性,可以很容易在电路中设置过压保护和过流保护。本电路中Rs上感应出的峰值电流形成逐个脉冲限流电路,当脚3达到1V时就会出现限流现象,所以,整个电路中的电感磁性元件和功率开关管不必设计较大的余量,就能保证稳压电路工作可靠,降低成本。
4 结语
按以上原理和计算设计丁输入18V,输出40V的80W升压DC/DC电路,整个电路调试容易,工作稳定,可靠性高,效率达80%以上,特别是成本低,已应用于实际设备中。另外,可根据具体的电路指标要求,对电路灵活控制、变动,设计出其他的应用电路。
射频工程师养成培训教程套装,助您快速成为一名优秀射频工程师...
天线设计工程师培训课程套装,资深专家授课,让天线设计不再难...
上一篇:DC/DC模块电源选择要点
下一篇:开关电源工作原理详细分析

