- 易迪拓培训,专注于微波、射频、天线设计工程师的培养
用于ADSL2+芯片组的降压或升压变换电源
录入:edatop.com 点击:
过去几年来,ADSL标准沿着ADSL、ADSL2、ADSL2+以及“Extended Reach ADSL2”逐步演进.数据传输率增加到24Mb/s,传输距离长达22000英尺。 ADSL2标准规定的下行频段上至1.1MHz.而ADSL2+为2.2MHz,使较短电话线上的数据传输率显著提升。图l和图2给出了不同标准所覆盖的带宽、数据速率和距离。当同一线束中传输多条ADSL业务时,ADSl2+也可用于降低串扰。
如图1所示,上行方向使用的频段为25kHz~138kHz,下行方向为138 kHz~2.2 MHz。这一频谱被分割成几个载波频带,每个频带分配了一定的比特量。每个载波频带的比特量取决于信噪比(SNR)。电源的开关频率对噪声基底有较大的影响,从而降低总比特率。在下行频带延伸至2.2 MI-Iz的AD-S12+中,我们需要控制所有电源的开关频率及其谐波,使其避开138 kHz一2.2 MHz频带。纹波的幅度和频率会同样地影响每个载波波段所能承载的比特量。2.2 MHz的电源开关频率有两个优点:(1)它的基波和谐波都在ADSl2+频谱之上;(2)较高的开关频率降低了输出纹波的峰一峰值,即便使用低成本的陶瓷电容或铝电解电容也没有问题。


MAXS072针对ADSL2+的电源管理解决方案
MAX5072专门设计用于ADSL2+ 制解调器的电源管理。其目标是提供一个简洁、低成本的 变换器 .运行在ADSL2+频带之上,并能通过廉价的AC适配器来供电。它是一个双输出型DC—DC变换器.内部集成了高端N沟道功率MOSFET,每个变换器能工作在2.2 MHz。如图3所示,为MAX5072双输出型降压变换器开关频在ADSL2+频率之上的电路。2.2 MHz的开关频率和高集成度为各类DSL应用(ADSL/VDSL)提供了一个最低成本、最高带宽的方案,图4电路为MAX5072双输出型降压和升压变换器的输出电压在输入电压范围的中间,降压变换器1的输出为变换器2(升压)供电。3.3V为芯片组提供电源,12V为线驱动器提供电源。


虽然单个变换器的输出纹波频率为2.2 MHz.但每个变换器处于180°反相工作状态,使输入电容上的纹波频率加倍。这样一来减小了电容RMS电流和电容尺寸。图5给出了双路降压型变换器的开关输入纹波波形。单个变换器的开关频率为2.2MHz,但输入电容上的纹波频率为4.4MHz。CHl=SOURCE2,CH2=SOURCEl,CH3=输入电容上的纹波,CH4=CLKOUT。

图6为双降压型变换器的开关输出纹波波形.输出电容上的纹波频率为2.2MHz,与变换器的开关频率相同。CHl=SYNC,CH2=SOURCEl,CH3=输出1上的纹波,CH4=CLKOUT。

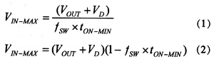
MAX5072的输入电压范围为4.5 V~5.5 V或5.5 V~23 V。用于为ADSL芯片组供电的电压包括1.2 V,1.8 V,2.5 V和3.3V,另外还有为线驱动器供电的5 V或12V电压。MAX5072的两个变换器都可以配置成降压或升压变换器。这使MAX5072能够用于各种可能的电压变换。当输入输出压差较大时,要求电路以非常低的占空比运行。2.2 MHz开关频率下的低占空比意味着非常短的最小可控导通时间。MAX5072的最小可控导通时间(tON—MINWj为lOOns。用下面的公式可计算出对于给定的输出-电压,在没有发生跳脉冲的情况下所允许的最大输人电压(VIN-MAX)。
当输入输出压差较大时,要求电路以非常低的占空比运行。2.2 MHz开关频率下的低占空比意味着非常短的最小可控导通时间。MAX5072的最小可控导通时间(toN-MIN)约为100 ns。对于降压变换器和升压变换器,用公式(1)、(2)可分别计算出对于给定的输出电压,在没有发生跳脉冲的情况下所允许的最大输入电压(VIN-MAX)。

其中VD是肖特基整流管的正向压降f典型0.35V值),fSW为变换器的开关频率,tON-MIN为100 ns。
同样,最大占空比限制(DMAX)影响着对于给定的输出电压,所允许的最小输入电压。用公式(3)可计算出为了获得要求的输出电压VOUT,降压转换器所需的最小输入电压(VIN-MIN)。

其中,DMAX至少为84%,VD为0.35V。升压变换器所允许的最小输入电压取决于输出电压、峰值电流和电感值。
为了缓解最小导通时间问题或限制开关损耗.可以降低开关频率。但两个工作在反相状态的变换器频率不可能不同。同时,如果没有精心选择单个变换器的工作频率,将可能出现拍频。为了避免最小导通时间问题和功率消耗问题,MAX5072提供了一个频率选择(FSELl)管脚。FSELl接地时变换器1的开关频率减小到变换器2开关频率的一半。或内部振荡器频率的四分之一。在这种情况下.变换器l工作在1.1 MHz,变换器2工作在2.2 MHz。输入电容上的纹波频率将会是变换器2开关频率的1.5倍.并且纹波波形不对称。
如图1所示,上行方向使用的频段为25kHz~138kHz,下行方向为138 kHz~2.2 MHz。这一频谱被分割成几个载波频带,每个频带分配了一定的比特量。每个载波频带的比特量取决于信噪比(SNR)。电源的开关频率对噪声基底有较大的影响,从而降低总比特率。在下行频带延伸至2.2 MI-Iz的AD-S12+中,我们需要控制所有电源的开关频率及其谐波,使其避开138 kHz一2.2 MHz频带。纹波的幅度和频率会同样地影响每个载波波段所能承载的比特量。2.2 MHz的电源开关频率有两个优点:(1)它的基波和谐波都在ADSl2+频谱之上;(2)较高的开关频率降低了输出纹波的峰一峰值,即便使用低成本的陶瓷电容或铝电解电容也没有问题。


MAXS072针对ADSL2+的电源管理解决方案
MAX5072专门设计用于ADSL2+ 制解调器的电源管理。其目标是提供一个简洁、低成本的 变换器 .运行在ADSL2+频带之上,并能通过廉价的AC适配器来供电。它是一个双输出型DC—DC变换器.内部集成了高端N沟道功率MOSFET,每个变换器能工作在2.2 MHz。如图3所示,为MAX5072双输出型降压变换器开关频在ADSL2+频率之上的电路。2.2 MHz的开关频率和高集成度为各类DSL应用(ADSL/VDSL)提供了一个最低成本、最高带宽的方案,图4电路为MAX5072双输出型降压和升压变换器的输出电压在输入电压范围的中间,降压变换器1的输出为变换器2(升压)供电。3.3V为芯片组提供电源,12V为线驱动器提供电源。


虽然单个变换器的输出纹波频率为2.2 MHz.但每个变换器处于180°反相工作状态,使输入电容上的纹波频率加倍。这样一来减小了电容RMS电流和电容尺寸。图5给出了双路降压型变换器的开关输入纹波波形。单个变换器的开关频率为2.2MHz,但输入电容上的纹波频率为4.4MHz。CHl=SOURCE2,CH2=SOURCEl,CH3=输入电容上的纹波,CH4=CLKOUT。

图6为双降压型变换器的开关输出纹波波形.输出电容上的纹波频率为2.2MHz,与变换器的开关频率相同。CHl=SYNC,CH2=SOURCEl,CH3=输出1上的纹波,CH4=CLKOUT。

MAX5072的输入电压范围为4.5 V~5.5 V或5.5 V~23 V。用于为ADSL芯片组供电的电压包括1.2 V,1.8 V,2.5 V和3.3V,另外还有为线驱动器供电的5 V或12V电压。MAX5072的两个变换器都可以配置成降压或升压变换器。这使MAX5072能够用于各种可能的电压变换。当输入输出压差较大时,要求电路以非常低的占空比运行。2.2 MHz开关频率下的低占空比意味着非常短的最小可控导通时间。MAX5072的最小可控导通时间(tON—MINWj为lOOns。用下面的公式可计算出对于给定的输出-电压,在没有发生跳脉冲的情况下所允许的最大输人电压(VIN-MAX)。
当输入输出压差较大时,要求电路以非常低的占空比运行。2.2 MHz开关频率下的低占空比意味着非常短的最小可控导通时间。MAX5072的最小可控导通时间(toN-MIN)约为100 ns。对于降压变换器和升压变换器,用公式(1)、(2)可分别计算出对于给定的输出电压,在没有发生跳脉冲的情况下所允许的最大输入电压(VIN-MAX)。

其中VD是肖特基整流管的正向压降f典型0.35V值),fSW为变换器的开关频率,tON-MIN为100 ns。
同样,最大占空比限制(DMAX)影响着对于给定的输出电压,所允许的最小输入电压。用公式(3)可计算出为了获得要求的输出电压VOUT,降压转换器所需的最小输入电压(VIN-MIN)。
其中,DMAX至少为84%,VD为0.35V。升压变换器所允许的最小输入电压取决于输出电压、峰值电流和电感值。
为了缓解最小导通时间问题或限制开关损耗.可以降低开关频率。但两个工作在反相状态的变换器频率不可能不同。同时,如果没有精心选择单个变换器的工作频率,将可能出现拍频。为了避免最小导通时间问题和功率消耗问题,MAX5072提供了一个频率选择(FSELl)管脚。FSELl接地时变换器1的开关频率减小到变换器2开关频率的一半。或内部振荡器频率的四分之一。在这种情况下.变换器l工作在1.1 MHz,变换器2工作在2.2 MHz。输入电容上的纹波频率将会是变换器2开关频率的1.5倍.并且纹波波形不对称。
射频工程师养成培训教程套装,助您快速成为一名优秀射频工程师...
天线设计工程师培训课程套装,资深专家授课,让天线设计不再难...
上一篇:便携设备中供电电路的综合考虑
下一篇:低压大电流开关电源的设计
射频和天线工程师培训课程详情>>

