- 易迪拓培训,专注于微波、射频、天线设计工程师的培养
寄生电容对串联谐振电容器充电电源特性的影响
录入:edatop.com 点击:
随着脉冲功率技术的发展,高压脉冲电源的需求越来越广,且越来越多。在开关频率固定的情况下,理想串联谐振充电拓扑因其能在较宽的电压范围内具有平均充电电流恒定的特点,且抗负载短路能力强,被广泛用于对高压电容器充电。但实际装置中的串联谐振充电电流并不恒定,主要原因有:①充电时直流母线电压会发生变化;②变压器存在分布电容;③高压整流器存在极间电容。从而给参数设计和设备调试带来了一定困难。目前,通常是通过不断地改变谐振参数进行调试,直至找到合适的谐振参数,调试周期长,造成不必要的人力和财力浪费。国内外有关分布电容影响的报道极少,文献提到了由于分布电容的影响,充电电流随着输出电压的升高而减小,但未作深入研究;文献(Bowles E E, Chapelle S. A high power density, high voltage Powersupply for pulsed rada system[C]. The 21th International Power Modulator Symposium, 1994:170.173.)实现了一个串并联谐振CCPS,但未对电路工作特性作具体深入研究。
本文研究了理想串联谐振电容器充电电源的电流特性和实际串联谐振电容器充电电源的电流特性,分析了充电系统中高压变压器和高压整流二极管的寄生参数的影响,采用等值电路来描述变压器和二极管中复杂的寄生电容,并且可以通过试验来测得,指出由于变压器和二极管寄生电容的存在,使所设计的高压串联谐振充电电源变成了一个高压串并联谐振充电电源,其充电电流并不恒定。文中对软开关串并联谐振CCPS 进行了系统分析,得出其固有的一些重要特性,同时给出了一个具有重要实用价值的图表,通过这个图表能快速设计谐振参数,改变以往通过往复改变谐振参数并不断进行试验来设计和调试高压充电电源的办法。文中通过一个25kW 的高压脉冲电源系统作为实例,验证了采用图表法的有效性。
理想串联谐振CCPS 的工作特性
高压电容器充电电源的主电路拓扑如图1 所示,变压器变比为n,L 为谐振电感,C1 为谐振电容,TS 为开关周期,T1 为谐振周期,fS 为开关频率,TS>2T1,开关管工作在软开关状态。在所有串联谐振CCPS 中,设Co、Vco 分别为充电电容和充电电压,均有n2Co>>C1 成立。
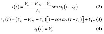
平均充电电流为
由式(1)可知, 当Vin、L、C1、和fS 恒定,平均充电电流恒定,电容器电压呈线性上升,但实际装置中由于变压器和高压整流二极管并不是理想器件,变压器存在分布电容,高压整流二极管也存在极间电容,开环控制的串联谐振CCPS 的平均充电电流并不恒定,电压上升曲线并不线性。
实际的串联谐振CCPS
高频升压变压器和高压整流二极管的分布电容对充电电流的工作状态影响较大,是不能被忽略的。变压器的分布电容较为复杂,在高频高压升压变压器中,为减小变压器体积和漏感,通常采用导磁率较高的铁芯,如超微晶合金材料,变压器原边匝数较少;为减少变压器原副边耦合,通常设有屏蔽绕组;从而可以忽略原边分布电容、原、副边分布电容的影响。变压器的激磁电抗较大,其影响也可以忽略。于是实际的串联谐振电容器充电电路可等效于图2 所示电路。可以看出,实际电路变成了一个串并联谐振充电电路。

与串联谐振CCPS 不同,串并联谐振CCPS 的谐振过程与输入电压、充电电容电压、串联谐振电感、串联谐振电容、并联谐振电容有关,因而在半个开关周期存在多种工作情况,各种工作情况下又存在不同的工作模式,各个工作模式的谐振频率也不尽相同,其工作过程相对于理想串联谐振CCPS要复杂得多。由于谐振频率和开关频率较高,在一个谐振周期中充电电容电压变化非常小,因此可将一个谐振周期的串并联谐振充电等效成输出电压不变的串并联谐振充电。设等效至变压器原边的充电电容电压为Vo。根据在一个谐振周期中充电电流的有、无可分为以下3 种情况。
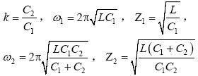
分析之前定义如下变量:
情况1:充电电流在正负谐振周期内均存在,则有如下3 种工作模式。
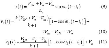
模式1: Q1、Q3 导通,v2(t0)=Vo,整流二极管D5、D7 导通,谐振电流i >0,充电电流io=i,此模式等效电路如图3(a)所示,电压、电流方程为

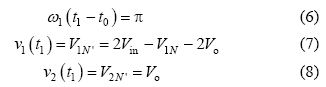
当串联谐振电流为0(即t1 时刻)时,该模式结束,可得到如下表达式:


模式2:当i(t1)=0 时,谐振电流开始反向i1、D3 续流,所有整流二极管处于截止状态,充电电流io=0,其等效电路如图3(b)所示,电压、电流方程为
当v2(t2)= -Vo 时,该模式结束,可得到如下表达式
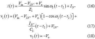
模式3:从v2(t2)= -Vo 起,谐振电流i1、D3 仍处于续流导通状态,此阶段v2(t2)= -Vo,整流二极管D6、D8 导通,充电电流io= -i,其等效电路如图3(c)所示,电流、电压方程为
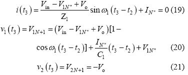
当i(t3)=0 时,该模式结束,有如下表达式公式
电路工作在该情况的临界条件应满足
由式(22)和(23)可解得
因此,满足情况1 的条件是Vo电路稳态工作时有

平均充电电流为
当输出电容电压为零(即输出短路)时,该谐振电路与串联谐振电路工作在输出短路时完全相同,其谐振电流为大小为

从上面的分析可以看出,V1N 是一个超越方程,解出V1N 是相当困难的,有必要研究其充电规律,找出较为理想的设计方法。
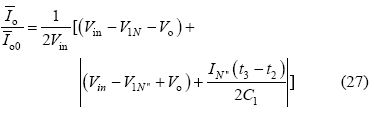
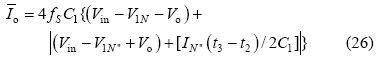
由式(2)"(25)可以看出,V1N+1 只与谐振电容的比值有关,与谐振电容本身大小和谐振电感大小无关,因而V1N、V1N’、Z1IN’’均为Vin、Vo 和k 的函数。

故由式(24)和(27)可得如下结论:
(1)工作在该情况下的条件是Vo(2)

与谐振电容本身大小和谐振电感大小无关,只与谐振电容的比值有关,且

为Vo/Vin 和k 的函数;当k 一定时,

为Vo/Vin 的函数。
情况2:充电电流在正谐振半个周期内存在,在负谐振周期内充电电流为零,则有如下3 种工作模式。
模式1: Q1、Q3 导通,v2(t0)o,整流二极管均截止,谐振电流i>0,充电电流io=0,等效电路如图4(a)所示。
模式2:当v2(t1)=Vo 时,整流二极管D5、D7 导通,io=i,其等效电路如图4(b)所示。
模式3:当谐振电流i(t2)1、D3 导通,整流二极管截止,io=0,等效电路如图4(a)所示。
仿情况1 分析,可得如下结论:
(1)工作在该情况下的条件是Vin /(k+1) oin/(k+1);
(2)
是k 和Vo/Vin 的函数,与谐振参数本身大小无关。
情况3:充电电流在正负谐振半个周期均为零,则有如下两种工作模式
模式1:Q1、Q3 导通,v1(t0)=V1N,v2(t0)=V2No,其等效工作电路如图5 所示。
模式2:当i(t1)=0 时,进入该模式,半个谐振周期后结束,等效电路如图5 所示。

仿情况1 分析,可得如下结论:
工作在该情况下的条件是Vo>2Vin/(k+1),充电电流为零。
根据上面3 种情况得分析,可得到串并联谐振CCPS 具有如下性质:
(1)k 一定时,
随Vo/Vin 的变化关系相同;
(2)充电电压最高可达到2Vin/(k+1) 。
根据上面的性质,通过仿真可以得到不同k 值情况下的
随Vo/Vin 的变化曲线,如图6 所示,该图可用于谐振参数设计和调试。曲线从上到下k值依次为:0;0.02;0.05;0.1;0.2;0.3;0.4;0.5;0.6;0.7;0.8;0.9;1.0;2.0;3.0;4.0;6.0;8.0;19.0。
由图6 可得如下结论:
(1)开环控制的串并联谐振CCPS,其充电电流随着输出电压的升高而减小,平均充电电流不恒定;
(2)Vo/Vin 相同时,随着k 变大,其
越小,要提高高电压时的充电电流,就必需减小k 值;
(3)k 相同时,
随Vo/Vin 的增大而减小;
(4)最高输出电压为2Vin/(k+1),当k>1 时,输出电压不能达到输入电压。
设计实例及实验
根据图6 可方便地进行谐振参数设计和设备调试。
设计要求:充电电容为2560μF,输入电压为380V±10%,充电电压为0"25kV 可调,充电电流恒定为1A。
根据输入电压和输出电压,选择变压器变比n=60。为使整个充电过程平均充电电流恒定,充电至25kV 时充电电流仍能达到1A,因此,必须采用闭环控制。闭环设计的原则是:在所允许的最高开关频率下,在最高输出电压时平均充电电流仍能达到所要求的恒定充电电流值。测得变压器及整流二极管折算至原边的等效分布电容为0.155μF,变压器漏感3μH,最高开关周期定为60μs,调频范围为11.8kHz"16.7kHz,谐振参数设计步骤如下:
(1)由式(1)设计理想串联谐振CCPS 下TS=2T1所需谐振电容,得C1=0.9μF。
(2)计算最大Vo/Vin 下充电电流大小,Vo/Vin=0.9, k=0.17,查图6 可得,此时充电电流为0.44A。(3)调整谐振电容,选择C1=1.55μF,则k=0.1,可算得最大Vo/Vin 下充电电流为1.09A,满足要求。由此可算得谐振电感L=14.7μH,考虑线路压降和确保电路工作在软开关状态,适当减小谐振电感,取L=13.2μH(含变压器漏感)。
根据上面所设计的谐振参数进行了实验,实验波形如图7 所示。可以看出,为保持充电电流恒定,随着输出电压的升高,开关频率变高,实测充电电压为23kV 时变换器效率为92.7%。实验表明,所设计的谐振参数完全满足设计要求,该装置已用于神光III 能源系统。
结论
分析了在串联谐振电容器充电电源中变压器分布电容和高压整流二极管极间电容的影响,得出了分布电容与谐振电容比值相同时,充电电流特性相同的结论;提出了采用图表法进行谐振参数设计和调试,并给出了该图表,通过实例设计和实验进行了验证。
本文研究了理想串联谐振电容器充电电源的电流特性和实际串联谐振电容器充电电源的电流特性,分析了充电系统中高压变压器和高压整流二极管的寄生参数的影响,采用等值电路来描述变压器和二极管中复杂的寄生电容,并且可以通过试验来测得,指出由于变压器和二极管寄生电容的存在,使所设计的高压串联谐振充电电源变成了一个高压串并联谐振充电电源,其充电电流并不恒定。文中对软开关串并联谐振CCPS 进行了系统分析,得出其固有的一些重要特性,同时给出了一个具有重要实用价值的图表,通过这个图表能快速设计谐振参数,改变以往通过往复改变谐振参数并不断进行试验来设计和调试高压充电电源的办法。文中通过一个25kW 的高压脉冲电源系统作为实例,验证了采用图表法的有效性。
理想串联谐振CCPS 的工作特性
高压电容器充电电源的主电路拓扑如图1 所示,变压器变比为n,L 为谐振电感,C1 为谐振电容,TS 为开关周期,T1 为谐振周期,fS 为开关频率,TS>2T1,开关管工作在软开关状态。在所有串联谐振CCPS 中,设Co、Vco 分别为充电电容和充电电压,均有n2Co>>C1 成立。
平均充电电流为
由式(1)可知, 当Vin、L、C1、和fS 恒定,平均充电电流恒定,电容器电压呈线性上升,但实际装置中由于变压器和高压整流二极管并不是理想器件,变压器存在分布电容,高压整流二极管也存在极间电容,开环控制的串联谐振CCPS 的平均充电电流并不恒定,电压上升曲线并不线性。
实际的串联谐振CCPS
高频升压变压器和高压整流二极管的分布电容对充电电流的工作状态影响较大,是不能被忽略的。变压器的分布电容较为复杂,在高频高压升压变压器中,为减小变压器体积和漏感,通常采用导磁率较高的铁芯,如超微晶合金材料,变压器原边匝数较少;为减少变压器原副边耦合,通常设有屏蔽绕组;从而可以忽略原边分布电容、原、副边分布电容的影响。变压器的激磁电抗较大,其影响也可以忽略。于是实际的串联谐振电容器充电电路可等效于图2 所示电路。可以看出,实际电路变成了一个串并联谐振充电电路。

与串联谐振CCPS 不同,串并联谐振CCPS 的谐振过程与输入电压、充电电容电压、串联谐振电感、串联谐振电容、并联谐振电容有关,因而在半个开关周期存在多种工作情况,各种工作情况下又存在不同的工作模式,各个工作模式的谐振频率也不尽相同,其工作过程相对于理想串联谐振CCPS要复杂得多。由于谐振频率和开关频率较高,在一个谐振周期中充电电容电压变化非常小,因此可将一个谐振周期的串并联谐振充电等效成输出电压不变的串并联谐振充电。设等效至变压器原边的充电电容电压为Vo。根据在一个谐振周期中充电电流的有、无可分为以下3 种情况。
分析之前定义如下变量:
情况1:充电电流在正负谐振周期内均存在,则有如下3 种工作模式。
模式1: Q1、Q3 导通,v2(t0)=Vo,整流二极管D5、D7 导通,谐振电流i >0,充电电流io=i,此模式等效电路如图3(a)所示,电压、电流方程为

当串联谐振电流为0(即t1 时刻)时,该模式结束,可得到如下表达式:


模式2:当i(t1)=0 时,谐振电流开始反向i1、D3 续流,所有整流二极管处于截止状态,充电电流io=0,其等效电路如图3(b)所示,电压、电流方程为
当v2(t2)= -Vo 时,该模式结束,可得到如下表达式
模式3:从v2(t2)= -Vo 起,谐振电流i1、D3 仍处于续流导通状态,此阶段v2(t2)= -Vo,整流二极管D6、D8 导通,充电电流io= -i,其等效电路如图3(c)所示,电流、电压方程为
当i(t3)=0 时,该模式结束,有如下表达式公式
电路工作在该情况的临界条件应满足
由式(22)和(23)可解得
因此,满足情况1 的条件是Vo电路稳态工作时有

平均充电电流为
当输出电容电压为零(即输出短路)时,该谐振电路与串联谐振电路工作在输出短路时完全相同,其谐振电流为大小为

从上面的分析可以看出,V1N 是一个超越方程,解出V1N 是相当困难的,有必要研究其充电规律,找出较为理想的设计方法。
由式(2)"(25)可以看出,V1N+1 只与谐振电容的比值有关,与谐振电容本身大小和谐振电感大小无关,因而V1N、V1N’、Z1IN’’均为Vin、Vo 和k 的函数。

故由式(24)和(27)可得如下结论:
(1)工作在该情况下的条件是Vo(2)

与谐振电容本身大小和谐振电感大小无关,只与谐振电容的比值有关,且

为Vo/Vin 和k 的函数;当k 一定时,

为Vo/Vin 的函数。
情况2:充电电流在正谐振半个周期内存在,在负谐振周期内充电电流为零,则有如下3 种工作模式。
模式1: Q1、Q3 导通,v2(t0)o,整流二极管均截止,谐振电流i>0,充电电流io=0,等效电路如图4(a)所示。
模式2:当v2(t1)=Vo 时,整流二极管D5、D7 导通,io=i,其等效电路如图4(b)所示。
模式3:当谐振电流i(t2)1、D3 导通,整流二极管截止,io=0,等效电路如图4(a)所示。
仿情况1 分析,可得如下结论:
(1)工作在该情况下的条件是Vin /(k+1) oin/(k+1);
(2)
是k 和Vo/Vin 的函数,与谐振参数本身大小无关。 情况3:充电电流在正负谐振半个周期均为零,则有如下两种工作模式
模式1:Q1、Q3 导通,v1(t0)=V1N,v2(t0)=V2No,其等效工作电路如图5 所示。
模式2:当i(t1)=0 时,进入该模式,半个谐振周期后结束,等效电路如图5 所示。

仿情况1 分析,可得如下结论:
工作在该情况下的条件是Vo>2Vin/(k+1),充电电流为零。
根据上面3 种情况得分析,可得到串并联谐振CCPS 具有如下性质:
(1)k 一定时,
随Vo/Vin 的变化关系相同; (2)充电电压最高可达到2Vin/(k+1) 。
根据上面的性质,通过仿真可以得到不同k 值情况下的
随Vo/Vin 的变化曲线,如图6 所示,该图可用于谐振参数设计和调试。曲线从上到下k值依次为:0;0.02;0.05;0.1;0.2;0.3;0.4;0.5;0.6;0.7;0.8;0.9;1.0;2.0;3.0;4.0;6.0;8.0;19.0。 由图6 可得如下结论:
(1)开环控制的串并联谐振CCPS,其充电电流随着输出电压的升高而减小,平均充电电流不恒定;
(2)Vo/Vin 相同时,随着k 变大,其
越小,要提高高电压时的充电电流,就必需减小k 值; (3)k 相同时,
随Vo/Vin 的增大而减小; (4)最高输出电压为2Vin/(k+1),当k>1 时,输出电压不能达到输入电压。
设计实例及实验
根据图6 可方便地进行谐振参数设计和设备调试。
设计要求:充电电容为2560μF,输入电压为380V±10%,充电电压为0"25kV 可调,充电电流恒定为1A。
根据输入电压和输出电压,选择变压器变比n=60。为使整个充电过程平均充电电流恒定,充电至25kV 时充电电流仍能达到1A,因此,必须采用闭环控制。闭环设计的原则是:在所允许的最高开关频率下,在最高输出电压时平均充电电流仍能达到所要求的恒定充电电流值。测得变压器及整流二极管折算至原边的等效分布电容为0.155μF,变压器漏感3μH,最高开关周期定为60μs,调频范围为11.8kHz"16.7kHz,谐振参数设计步骤如下:
(1)由式(1)设计理想串联谐振CCPS 下TS=2T1所需谐振电容,得C1=0.9μF。
(2)计算最大Vo/Vin 下充电电流大小,Vo/Vin=0.9, k=0.17,查图6 可得,此时充电电流为0.44A。(3)调整谐振电容,选择C1=1.55μF,则k=0.1,可算得最大Vo/Vin 下充电电流为1.09A,满足要求。由此可算得谐振电感L=14.7μH,考虑线路压降和确保电路工作在软开关状态,适当减小谐振电感,取L=13.2μH(含变压器漏感)。
根据上面所设计的谐振参数进行了实验,实验波形如图7 所示。可以看出,为保持充电电流恒定,随着输出电压的升高,开关频率变高,实测充电电压为23kV 时变换器效率为92.7%。实验表明,所设计的谐振参数完全满足设计要求,该装置已用于神光III 能源系统。
结论
分析了在串联谐振电容器充电电源中变压器分布电容和高压整流二极管极间电容的影响,得出了分布电容与谐振电容比值相同时,充电电流特性相同的结论;提出了采用图表法进行谐振参数设计和调试,并给出了该图表,通过实例设计和实验进行了验证。
射频工程师养成培训教程套装,助您快速成为一名优秀射频工程师...
射频和天线工程师培训课程详情>>

