- 易迪拓培训,专注于微波、射频、天线设计工程师的培养
一种新型移相全桥ZVZCS PWM变换器拓扑结构
录入:edatop.com 点击:
传统的全桥(Full-bridge——FB)PWM变换器适用于输出低电压、大功率的情况.以及电源电压和负载电流变化范围大的场合。为避免开关过程中的损耗随频率增加而急剧上升,在移相控制(Phase—Shifting Control——PSC)技术的基础上利用功率MOS管的输出电容和变压器的漏感作为谐振元件,使全桥变换器的4个开关管依次在零电压下导通,实现恒频软开关.称为全桥零电压开关PWM变换器。它由于实现ZVS主要靠变压器漏感储能,但在轻载的条件下,电感能量

不够大,因此PSC FB ZVS—PWM变换器的滞后桥臂不易满足ZVS条件。所以有人开发出一种PSCFB ZVZCS—PWM变换器,这种电路在保证超前桥臂开关管实现零电压开通的条件下,利用在变压器原边串联一个饱和电感Ls的方法,实现滞后臂的零电流关断。其特点是滞后桥臂开关不再并联电容,以避免开通时电容释放的能量加大开通损耗。但是,外部加大电感会储存额外的能量从而产生大循环电流而加大损耗。
本文中提出了一种新型ZVZCS移相全桥PWM控制变换器,在超前桥臂实现ZVS的基础上,让滞后桥臂实现零电流开通与关断。
1 电路拓扑及其工作原理
电路拓扑如图1所不。在新的拓扑结构中,传统移相全桥PWM控制变换器巾的变压器中两个独立且相同参数的变压器替代,在前半个周期中,一个变压器实现传统电路巾的功能,另一个作为电感起作州。在后半个周期中互换功能。图l中D3和D4分别串联在滞后桥臂开关管S3和S4上用来阻断反向电流,实现零电流开通。取阻断电容Cb值较小使得VCb的纹波够大,使得开关管上电流能够迅速减小到零。
为了简化分析,作如下假设:
(1)所有的开关器件可以近似为理想器件;
(2)两个变压器的参数相同,变压器Tl与T2的励磁电感Lm1等于Lm2为Lm;
(3)C1=C2=Cr
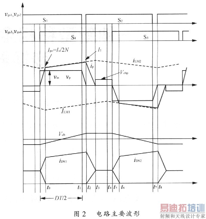
将其工作过程分为8个模态进行分析。图2给出了电路的主要工作波形,图3给出了电路各个阶段的等效电路。各开关模态的工作情况描述如下。
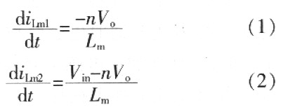
(1)模态l|t0~t1| 对应于图3(a)。S1和S4导通。原、副边电流回路如图所示。阻断电容正向充电,到t1时刻,其上电压为Vcb(t1),输出整流管DS2自然关断,所有负载电流均流过DS1。T1作为变压器传输能量到输出,而T2的励磁电感作为输出电感。

式中:n为变压器变比。
原边电流ip为

T1原边绕组上电流的斜率为
(2)模态2[t1~t2] 对应于图3(b)。在t1时刻关断S1,原边电流ip从S1中转移到C1和C2支路中,以相同的速率给C1充电,同时C2被放电。由于有C1和C2,S1是零电压关断,而同时由于Lm足够大,可以认为原边电流ip近似不变。

当C2放电完毕、VDS2下降到零后,ip通过S2的反并二极管D2续流。如图2中当VDS2下降到零后立即开通S2,实现零电压开通。
该模态的时间为

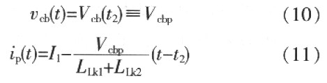
(3)模态3[t2~t3] 对应于图3(c)。开关S2零电压导通。Vp等于零,所以此时加在变压器原边绕组和漏感上的电压为阻断电容电压vcb,原边电流开始减小,原边电压极性开始改变。副边两个整流二极管DS1和DS2同时导通,此时原、副边绕组电压均为零,vcb全部加在漏感上。由于漏感较小,阻断电容较大,可近似认为vcb基本不变,ip基本是线性减小,即:


在t3时刻,原边电流下降到零。该模态时间为

(4)模态4[t3"t4] 对应于图3(d)。原边电流为ip=0,vp=Vcbp。副边两个整流管同时导通均分负载电流。
(5)模态5[t4~t5] 对应于图3(e)。在t4时刻关断S4,此时S4中没有电流通过,因此实现了零电流关断。此阶段原边电流仍为ip=0,Vp=Vcbp。副边也仍维持模态4的状态。
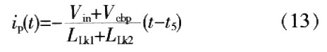
(6)模态6[t5~t6] 对应于图3(f)。在t5时刻开通S3,由于漏感的存在,原边电流不能突变,实现零电流开通。
由于原边电流不足以提供负载电流,副边两个整流管依旧导通.此时加在漏感两端的电压为一(Vin+Vcbp),原边电流从零开始反方向线性增加。

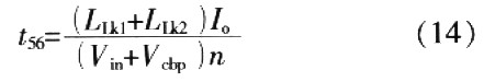
在t6时刻,原边电流反方向增加到负载电流。该模态的时间为

(7)模态7[t6~t7] 对应于图3(g)。这一模态工作情况正好与模态l相反。S2和S3导通。原边开始提供负载能量,同时给阻断电容反向充电,到t7时刻,其上电压Vcb(t7)=-Vcb(t1)。输出整流管DS1自然关断,所有负载电流均流过DS2。T2作为变压器传输能量到输出,而T1的励磁电感作为输出电感。

(8)模态8[t7~t8] 对应于图3(h)。这一模态工作情况正好与模态2相反。在t7时刻关断S2,原边电流ip从S2中转移到C1和C2支路中,以相同的速率给C2充电,同时C1被放电。由于Lm足够大,可以认为原边电流ip近似不变。

在t8时刻,阻断电容Cb上的电压Vcb为

之后,当S1开通时又能实现零电压开通,继续另一个周期。
2 参数分析
从以上的分析,对于电路的各个主要参数可以进行以下分析。
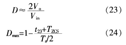
2.1 最大占空比
根据变压器的伏秒平衡原理,占空比可以表示为

式中:TZCS为实现滞后桥臂ZCS的时间,它取决于开关管的关断特性。
2.2 原、副边电流分析
原边励磁电感的电流纹波为

2.3 实现滞后桥臂ZCS的条件
从上面的分析可知,阻断电容电压在t8时刻达到一Vcbp而[t7"t8]时段与[t1~t2]时段类似,因此有

从式(31)中可以看出,t23与负载电流无关,与占空比D成反比。也就是说可以在任意负载与输入电压变化范围内实现滞后桥臂的零电流开关。
2.4 阻断电容的选择
阻断电容的选择受到两个因素的制约,首先从式(24)和式(31)可知,为了提高Dmax,Cb应当尽量小;其次,为了降低滞后桥臂的电压应力和反向电压,Cb应当尽量大。因此要权衡选择Cb,一般在输出满载时,阻断电容电压峰值Vcbp=20%Vin。
3 实验结果
应用上面所分析的拓扑结构,实现了一台功率为840W的样机。移相控制电路由芯片UC3875实现。主要电路参数如表1所示。
图4和图5分别为轻载和满载情况下的原边电流波形,可以看出滞后桥臂实现了ZCS。图6和图7分别表明超前桥臂在轻载和重载情况下都实现了ZVS。图8为副边整流电路的电流波形。图9为阻断电容上的电压波形。图10为负载范围内的效率曲线。



4 结语
本文介绍了一种新型带双变压器结构的ZVZCS移相全桥PWN控制变换器。在轻载和重载的情况下,分别用漏感和励磁电感储存能量,实现了超前桥臂的ZVS和滞后桥臂的ZCS,从而减小了开关损耗.提高了电路工作效率。实现了一台840W运用这种拓扑结构的样机.实验结果验证了其可行性。

不够大,因此PSC FB ZVS—PWM变换器的滞后桥臂不易满足ZVS条件。所以有人开发出一种PSCFB ZVZCS—PWM变换器,这种电路在保证超前桥臂开关管实现零电压开通的条件下,利用在变压器原边串联一个饱和电感Ls的方法,实现滞后臂的零电流关断。其特点是滞后桥臂开关不再并联电容,以避免开通时电容释放的能量加大开通损耗。但是,外部加大电感会储存额外的能量从而产生大循环电流而加大损耗。
本文中提出了一种新型ZVZCS移相全桥PWM控制变换器,在超前桥臂实现ZVS的基础上,让滞后桥臂实现零电流开通与关断。
1 电路拓扑及其工作原理
电路拓扑如图1所不。在新的拓扑结构中,传统移相全桥PWM控制变换器巾的变压器中两个独立且相同参数的变压器替代,在前半个周期中,一个变压器实现传统电路巾的功能,另一个作为电感起作州。在后半个周期中互换功能。图l中D3和D4分别串联在滞后桥臂开关管S3和S4上用来阻断反向电流,实现零电流开通。取阻断电容Cb值较小使得VCb的纹波够大,使得开关管上电流能够迅速减小到零。
为了简化分析,作如下假设:
(1)所有的开关器件可以近似为理想器件;
(2)两个变压器的参数相同,变压器Tl与T2的励磁电感Lm1等于Lm2为Lm;
(3)C1=C2=Cr
将其工作过程分为8个模态进行分析。图2给出了电路的主要工作波形,图3给出了电路各个阶段的等效电路。各开关模态的工作情况描述如下。
(1)模态l|t0~t1| 对应于图3(a)。S1和S4导通。原、副边电流回路如图所示。阻断电容正向充电,到t1时刻,其上电压为Vcb(t1),输出整流管DS2自然关断,所有负载电流均流过DS1。T1作为变压器传输能量到输出,而T2的励磁电感作为输出电感。

式中:n为变压器变比。
原边电流ip为

T1原边绕组上电流的斜率为
(2)模态2[t1~t2] 对应于图3(b)。在t1时刻关断S1,原边电流ip从S1中转移到C1和C2支路中,以相同的速率给C1充电,同时C2被放电。由于有C1和C2,S1是零电压关断,而同时由于Lm足够大,可以认为原边电流ip近似不变。

当C2放电完毕、VDS2下降到零后,ip通过S2的反并二极管D2续流。如图2中当VDS2下降到零后立即开通S2,实现零电压开通。
该模态的时间为

(3)模态3[t2~t3] 对应于图3(c)。开关S2零电压导通。Vp等于零,所以此时加在变压器原边绕组和漏感上的电压为阻断电容电压vcb,原边电流开始减小,原边电压极性开始改变。副边两个整流二极管DS1和DS2同时导通,此时原、副边绕组电压均为零,vcb全部加在漏感上。由于漏感较小,阻断电容较大,可近似认为vcb基本不变,ip基本是线性减小,即:


在t3时刻,原边电流下降到零。该模态时间为

(4)模态4[t3"t4] 对应于图3(d)。原边电流为ip=0,vp=Vcbp。副边两个整流管同时导通均分负载电流。
(5)模态5[t4~t5] 对应于图3(e)。在t4时刻关断S4,此时S4中没有电流通过,因此实现了零电流关断。此阶段原边电流仍为ip=0,Vp=Vcbp。副边也仍维持模态4的状态。
(6)模态6[t5~t6] 对应于图3(f)。在t5时刻开通S3,由于漏感的存在,原边电流不能突变,实现零电流开通。
由于原边电流不足以提供负载电流,副边两个整流管依旧导通.此时加在漏感两端的电压为一(Vin+Vcbp),原边电流从零开始反方向线性增加。

在t6时刻,原边电流反方向增加到负载电流。该模态的时间为

(7)模态7[t6~t7] 对应于图3(g)。这一模态工作情况正好与模态l相反。S2和S3导通。原边开始提供负载能量,同时给阻断电容反向充电,到t7时刻,其上电压Vcb(t7)=-Vcb(t1)。输出整流管DS1自然关断,所有负载电流均流过DS2。T2作为变压器传输能量到输出,而T1的励磁电感作为输出电感。

(8)模态8[t7~t8] 对应于图3(h)。这一模态工作情况正好与模态2相反。在t7时刻关断S2,原边电流ip从S2中转移到C1和C2支路中,以相同的速率给C2充电,同时C1被放电。由于Lm足够大,可以认为原边电流ip近似不变。

在t8时刻,阻断电容Cb上的电压Vcb为

之后,当S1开通时又能实现零电压开通,继续另一个周期。
2 参数分析
从以上的分析,对于电路的各个主要参数可以进行以下分析。
2.1 最大占空比
根据变压器的伏秒平衡原理,占空比可以表示为

式中:TZCS为实现滞后桥臂ZCS的时间,它取决于开关管的关断特性。
2.2 原、副边电流分析
原边励磁电感的电流纹波为

2.3 实现滞后桥臂ZCS的条件
从上面的分析可知,阻断电容电压在t8时刻达到一Vcbp而[t7"t8]时段与[t1~t2]时段类似,因此有

从式(31)中可以看出,t23与负载电流无关,与占空比D成反比。也就是说可以在任意负载与输入电压变化范围内实现滞后桥臂的零电流开关。
2.4 阻断电容的选择
阻断电容的选择受到两个因素的制约,首先从式(24)和式(31)可知,为了提高Dmax,Cb应当尽量小;其次,为了降低滞后桥臂的电压应力和反向电压,Cb应当尽量大。因此要权衡选择Cb,一般在输出满载时,阻断电容电压峰值Vcbp=20%Vin。
3 实验结果
应用上面所分析的拓扑结构,实现了一台功率为840W的样机。移相控制电路由芯片UC3875实现。主要电路参数如表1所示。
图4和图5分别为轻载和满载情况下的原边电流波形,可以看出滞后桥臂实现了ZCS。图6和图7分别表明超前桥臂在轻载和重载情况下都实现了ZVS。图8为副边整流电路的电流波形。图9为阻断电容上的电压波形。图10为负载范围内的效率曲线。



4 结语
本文介绍了一种新型带双变压器结构的ZVZCS移相全桥PWN控制变换器。在轻载和重载的情况下,分别用漏感和励磁电感储存能量,实现了超前桥臂的ZVS和滞后桥臂的ZCS,从而减小了开关损耗.提高了电路工作效率。实现了一台840W运用这种拓扑结构的样机.实验结果验证了其可行性。
射频工程师养成培训教程套装,助您快速成为一名优秀射频工程师...
射频和天线工程师培训课程详情>>

