- 易迪拓培训,专注于微波、射频、天线设计工程师的培养
一种低电压开关电流甲乙类存储单元的设计
录入:edatop.com 点击:
开关电流存储单元是电流模式采样数据信号处理系统的基本单元电路,其性能的优劣直接影响采样系统的整体性能,因此,研究设计性能优良的开关电流存储单元是研究开关电流技术的重要环节。根据出现时间的先后,可将其分为第一代开关电流存储单元和第二代开关电流存储单元。第一代开关电流存储单元的优点是瞬态虚假信号很小,可以输出非单位增益电流信号,以及采用相对简单的单相时钟方案。它的不足是需要由两个晶体管组成,因此存在失配误差问题和较大的功耗。为克服失配误差等问题,人们进而研究出第二代开关电流存储单元。第二代开关电流存储单元采用单管存储方式来避免失配误差、降低功耗,这是它的优点。它的缺点是:电路工作时有较大幅度的瞬态虚假信号,虽然可以采用三相时钟方案来减小瞬态虚假信号,但是由于定时方案的复杂性,该方案在实际应用中并未得到广泛采纳;取样时无信号输出;只能输出单位增益的电流信号。如果要输出非单位增益的电流信号,则必须以电流镜输出方式。这一点与第一代开关电流存储单元类似,即也存在诸如失配误差和功耗增加等问题。因此,尽管第二代开关电流技术已经出现很长时间,但第一代开关电流技术仍然在实际应用巾起着重要的作用。
1 甲乙类存储单元在便携式电子系统中,功耗是一个关键性问题。
甲类存储单元的输入信号摆幅受偏置电流制约,即输入信号幅度不能超过偏置电流幅度;如果要增大信号摆幅,必须相应增大偏置电流,这无疑会使电路的静态功耗增大,因此甲类电路无法满足现代电子系统的低电压、低功耗设计需求。而甲乙类结构的电路仅需要极小的偏置电流就能实现较大的信号摆幅,即输入信号的幅度可以超过偏置电流幅度,所以很适合于低功耗电路应用。
本文采用如图1所示的甲乙类存储单元进行电路设计,电路原理如下:M1、M2为二极管接法的晶体管,M3、M4为存储管,电路采用单相时钟控制。在采样相φ1[n]:Vgs1=Vgs3,Vgs2=Vgs4,其中Vgs1、Vgs2、Vgs3和Vgs4分别为晶体管M1~M4的栅-源电压;输出电流为iout[n]=-Aiin[n],其中A为电流增益因子。在保持相φ1[n+1/2]:M3、M4的栅电容上的栅电压保持为Vgs1和Vgs3,所以输出电流为iout[n+1/2]=-Aiin[n]。电路实现的z域传递函数为H(z)=-Az-1/2。

2 甲乙类延迟单元
甲乙类开关电流延迟单元如图2所示,由两级甲乙类存储单元串联而成。M3、M4、M7、M8用做存储管,电路工作过程如下。在φ1[n]相,第1级存储单元的存储管M3、M4对输入电流取样;在φ2[n+1/2]相,开关φ1断开,M3、M4将取样相电流输出到第2级存储单元,由存储管M7、M8输出电流。电路实现的传递函数为H(z)=Az-1。

3 双线性积分器
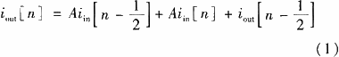
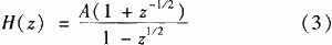
图3(a)所示为采用图2所示延迟单元设计的双线性积分器,电路采用两相控制时钟。双线性积分器的工作时序波形如图3(b)所示。电路的工作原理如下。M1~M6构成电流增益为A的输入级,输入电流在φ1相的取样值由M3、M4的公共端输出,在φ2相的取样值由M5、M6的公共端输出。M 11~M 16构成电流增益为1的反馈级,输出电流由M 15、M 16的公共端反馈到M7、M8的公共端。

在φ1[n]相,输出电流为:

在φ2[n+1/2]相,输出电流为:

由式(1)和式(2)可以发现两者具有相同的z域传递函数表达式:

当时钟频率足够高时,φ1[n]相和φ2[n+1/2]相的输出信号近似相等,因此时钟φ1[n]相和φ2[n+1/2]相都可以用于信号输出,从而实现了双频采样输出。
4 仿真结果分析
采用HSPICE分别对设计的存储单元、延迟单元和积分器电路进行了仿真,晶体管模型选用TSMC0.18μm标准数字工艺参数。电源电压为±1 V;输入电流iin=40μA,信号频率fin=100 kHz,采样频率fs=1 MHz;开关管的宽长比W/L=0.4μn/0.4μm。所有PMOS存储管的W/L=28μm/4μm,所有NMOS存储管的W/L=12μm/8μm。
甲乙类存储单元的仿真结果如图4所示,由图4(b)测得的-3 dB频率为12.9 MHz,即电路的最大采样信号频率为12.9 MHz。

延迟单元和双线性积分器的仿真结果如图5和图6所示。
从图4~6可以看出,输出达到了预期功能。仿真波形中没有出现瞬态虚假信号,所有信号波形相当理想。


5 结束语
本文设计了一种低电压甲乙类开关电流存储单元,电源电压±1 V,其最大采样信号频率12.9 MHz,并且具有结构简单、容易设计的优点。HSPICE电路仿真结果表明,所设计的电路有良好的工作性能,所有波形都很理想。本文设计的双线性积分器可用于开关电流滤波器和开关电流调制器的设计中,在实际应用中还可以通过采用共源-共栅电路结构以及S2I等技术来进一步提升电路性能。
1 甲乙类存储单元在便携式电子系统中,功耗是一个关键性问题。
甲类存储单元的输入信号摆幅受偏置电流制约,即输入信号幅度不能超过偏置电流幅度;如果要增大信号摆幅,必须相应增大偏置电流,这无疑会使电路的静态功耗增大,因此甲类电路无法满足现代电子系统的低电压、低功耗设计需求。而甲乙类结构的电路仅需要极小的偏置电流就能实现较大的信号摆幅,即输入信号的幅度可以超过偏置电流幅度,所以很适合于低功耗电路应用。
本文采用如图1所示的甲乙类存储单元进行电路设计,电路原理如下:M1、M2为二极管接法的晶体管,M3、M4为存储管,电路采用单相时钟控制。在采样相φ1[n]:Vgs1=Vgs3,Vgs2=Vgs4,其中Vgs1、Vgs2、Vgs3和Vgs4分别为晶体管M1~M4的栅-源电压;输出电流为iout[n]=-Aiin[n],其中A为电流增益因子。在保持相φ1[n+1/2]:M3、M4的栅电容上的栅电压保持为Vgs1和Vgs3,所以输出电流为iout[n+1/2]=-Aiin[n]。电路实现的z域传递函数为H(z)=-Az-1/2。

2 甲乙类延迟单元
甲乙类开关电流延迟单元如图2所示,由两级甲乙类存储单元串联而成。M3、M4、M7、M8用做存储管,电路工作过程如下。在φ1[n]相,第1级存储单元的存储管M3、M4对输入电流取样;在φ2[n+1/2]相,开关φ1断开,M3、M4将取样相电流输出到第2级存储单元,由存储管M7、M8输出电流。电路实现的传递函数为H(z)=Az-1。

3 双线性积分器
图3(a)所示为采用图2所示延迟单元设计的双线性积分器,电路采用两相控制时钟。双线性积分器的工作时序波形如图3(b)所示。电路的工作原理如下。M1~M6构成电流增益为A的输入级,输入电流在φ1相的取样值由M3、M4的公共端输出,在φ2相的取样值由M5、M6的公共端输出。M 11~M 16构成电流增益为1的反馈级,输出电流由M 15、M 16的公共端反馈到M7、M8的公共端。

在φ1[n]相,输出电流为:

在φ2[n+1/2]相,输出电流为:

由式(1)和式(2)可以发现两者具有相同的z域传递函数表达式:

当时钟频率足够高时,φ1[n]相和φ2[n+1/2]相的输出信号近似相等,因此时钟φ1[n]相和φ2[n+1/2]相都可以用于信号输出,从而实现了双频采样输出。
4 仿真结果分析
采用HSPICE分别对设计的存储单元、延迟单元和积分器电路进行了仿真,晶体管模型选用TSMC0.18μm标准数字工艺参数。电源电压为±1 V;输入电流iin=40μA,信号频率fin=100 kHz,采样频率fs=1 MHz;开关管的宽长比W/L=0.4μn/0.4μm。所有PMOS存储管的W/L=28μm/4μm,所有NMOS存储管的W/L=12μm/8μm。
甲乙类存储单元的仿真结果如图4所示,由图4(b)测得的-3 dB频率为12.9 MHz,即电路的最大采样信号频率为12.9 MHz。

延迟单元和双线性积分器的仿真结果如图5和图6所示。
从图4~6可以看出,输出达到了预期功能。仿真波形中没有出现瞬态虚假信号,所有信号波形相当理想。


5 结束语
本文设计了一种低电压甲乙类开关电流存储单元,电源电压±1 V,其最大采样信号频率12.9 MHz,并且具有结构简单、容易设计的优点。HSPICE电路仿真结果表明,所设计的电路有良好的工作性能,所有波形都很理想。本文设计的双线性积分器可用于开关电流滤波器和开关电流调制器的设计中,在实际应用中还可以通过采用共源-共栅电路结构以及S2I等技术来进一步提升电路性能。
射频工程师养成培训教程套装,助您快速成为一名优秀射频工程师...
天线设计工程师培训课程套装,资深专家授课,让天线设计不再难...
上一篇:便携式设备的电池保护IC测试电路的设计
下一篇:嵌入式ARM处理器S3C4480在高精度直流开关电源设计中的应用
射频和天线工程师培训课程详情>>

