- 易迪拓培训,专注于微波、射频、天线设计工程师的培养
一种低温漂低功耗的带隙基准源的设计
录入:edatop.com 点击:
2 新型带系基准的设计与分析
在温度300 kΩ 时,VBE的温度系数约为一2.2 mV/℃,VT的温度系数约为O.86 mV/℃。这里所提出的核心电路如图2所示,使用双极型晶体管构成电路的核心部分,实现VBE和VT的线性叠加,得到温度系数近似为零的输出电压。

2.1 核心电路
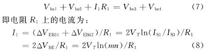
图2中Q1和Q2,Q3和Q4的发射结面积相同,根据设计需要,取Q1和Q2的发射结面积为Q3和Q4的发射结面积的46倍。假设双极型晶体管基极电流为零,且运放的增益足够大,则A点和B点的电压被迫相等:

其中:m为2条支路上的电流的比值;n为Q1和Q2的发射结面积之比。该电流是与绝对温度成正比的PTAT电流,且与电源电压无关。Vref的值为:

图2采用2个双极型晶体管叠加的结构,主要目的是减小运放失调电压对输出电压的影响。假设运放的失调电压为VOS,得到以下输出电压:

由上式可得,要减小运放的失调电压的影响,可以增大括号中的第一项,也就是增大m或竹的值,取Q,和Q2的发射结面积为Q3和Q4的发射结面积的46倍就是为了减小失调电压对输出的影响,使用比较大的n值;其次,两个相叠的双极型晶体管使运算放大器的两个输入电压中均含有两个叠加的VBE,减小核心电路中对运算放大器的增益的需求,使得使用的运算放大器的增益小于传统带隙基准中的运算放大器的增益,从而使输出中减小了运放失调电压对输出电压的影响。两种方法使该电路输出的基准电压有比使用传统核心电路更低的温度系数。
此电路的缺点是比普通带隙基准多消耗1个电压余度,两个叠加的双极型晶体管需要多消耗1个VBE,大约是0.7 V的电压。电源电压Vdd,至少需要2VBE+VDS1+VDS2,其中VDS1和VDS2分别为M1和M2的源漏电压,共计3 V左右。在低电源电压中应用这种结构对共源共栅电流镜的输出电压摆幅即所消耗的电压余度的要求比较高。
2.2 运算放大器的设计
要使带隙基准有高的电源抑制比,电路中使用的运放开环增益和电源抑制比就必须足够大。计算得运放增益大约60 dB,使用了套筒式共源共栅结构,以NMOS管作为输入管,两对PMOS管作为负载管。套筒式结构简单,功耗和消耗的电压余度和都相对要更小,比较适合设计中低功耗的需求,并且可以解决核心电路中叠加的双极型晶体管多消耗的一个电压余度。图3是带隙基准整体结构图,启动电路在核心结构正常工作后自动关断,由图可知运算放大器所需要的偏置电流由带隙基准产生。

3 测试结果分析
基于CSMCO.5μm DPTM CMOS工艺对版图进行设计、流片。电路概貌图如图4所示。

图5是在3.3 V的电源电压下,一40~+85℃的工作温度范围内带隙基准的温度特性曲线;表1是将电源电压的设定范围为2~4 V,对带隙基准电路的输出电压进行测试,得到的电源电压特性。


图5 3.3 V电源电压下,温度为一40~+85℃时的输出电压与工作温度曲线图5表示的是基准电压源的温度特性曲线,测试结果表明此电压源在工作温度范围内,温度系数为2.563 ppm/℃。
表1是电源电压特性分布,在室温下,电源电压在2~4 V间变化时的输出电压,由表1可知,此电压源在电源电压为2 V时就可以正常工作。基准电压源在2~4 V间的输出差值为413.9μV,即电源调整率为206.95 ppm。
蒙特卡罗分析是用于衡量器件特性值对电路性能影响的一种测试分析方法。在每个蒙特卡罗分析中,器件的特征值被当作潜在影响测试结果的因素并进行分类,由于测试是随机选取样本,各个特征值也将是随机。在一个完整的测试结束后,可以得到1个或多个结果。每一项性质将得到一系列可被统计学统计的结果。对带隙基准而言,主要特征值包括制造中的掺杂浓度的分布,内部电源电压值的偏差和外界的温度变化。
分析测试结果的方法是将它们归纳在不同范围中,每个范围表示在所有结果中占有的比例。将这些范围用柱状图表示出来,每部分柱状图都由其高度表示在总体中占有的数量。
图6是在室温下选取80个芯片并对其带隙基准电路输出电压测试。由图可以看出,输出电压有95%以上都分布在设计的输出电压周围,在实际应用中不需要trim就可以得到合适的输出电压。

4 结 语
这里设计了一种具有低温漂低功耗且不需要trim的基准电压源,利用低压共源共栅电流镜来减小输出电压对电源电压的依赖。测试结果表示:电路在2 V电源电压下就可以正常工作,输出基准电压为1.326 65 V;在-40~+85℃之间的温度系数为2.563 ppm/0C;电路在3.3 V电源电压下,功耗仅为2.81 μW,可以广泛应用在移动电子设备中。
射频工程师养成培训教程套装,助您快速成为一名优秀射频工程师...
射频和天线工程师培训课程详情>>

