- 易迪拓培训,专注于微波、射频、天线设计工程师的培养
如何最大化减少电源损耗实现电源效率
录入:edatop.com 点击:
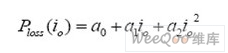
我们建议使用如下输出电流函数来计算电源损耗:
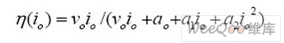
下一步是利用上述简单表达式,并将其放入效率方程式中:
这样,输出电流的效率就得到了优化(具体论证工作留给学生去完成)。这种优化可产生一个有趣的结果。当输出电流等于如下表达式时,效率将会最大化。
需要注意的第一件事是,a1 项对效率达到最大时的电流不产生影响。这是由于它与损耗相关,而上述损耗又与诸如二极管结点的输出电流成比例关系。因此,当输出电流增加时,上述损耗和输出功率也会随之增加,并且对效率没有影响。需要注意的第二件事是,最佳效率出现在固定损耗和传导损耗相等的某个点上。这就是说,只要控制设置 a0 和 a2 值的组件,便能够获得最佳效率。还是要努力减小 a1 的值,并提高效率。控制该项所得结果对所有负载电流而言均相同,因此如其他项一样没有出现最佳效率。a1 项的目标是在控制成本的同时达到最小化。表 1 概括总结了各种电源损耗项及其相关损耗系数,该表提供了一些最佳化电源效率方面的折中方法。例如,功率 MOSFET 导通电阻的选择会影响其栅极驱动要求及 Coss 损耗和潜在的缓冲器损耗。低导通电阻意味着,栅极驱动、Coss 和缓冲器损耗逆向增加。因此,您可通过选择 MOSFET 来控制 a0 和 a2。压;它们还包含两组低压差线性稳压器(LDO),负责提供电源给锁相回路 (PLL) 和SRAM或处理器的其它功能模块。这些器件还有许多功能未列在表中,例如后备电池支持、I2C界面和重置功能。 表 1 损耗系数及相应的电源损耗损耗系数举例
a0偏压损耗 Coss 损耗
内核损耗 缓冲器损耗
栅极驱动损耗
a1二级管结点损耗 开关损耗
逆向恢复损耗 SR 停滞时间损耗
a2FFT 电阻损耗 绕组损耗
漏电感损耗 蚀刻损耗
电容器纹波 | 损耗 电流感应损耗
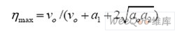
代数式下一位将最佳电流代回到效率方程式中,解得最大效率为:
需要最小化该表达式中的最后两项,以最佳化效率。a1 项很简单,只需对其最小化即可。末尾项能够实现部分优化。如果假设 MOSFET 的 Coss 和栅极驱动功率与其面积相关,同时其导通电阻与面积成反比,则可以为它选择最佳面积(和电阻)。图 1 显示了裸片面积的优化结果。裸片面积较小时,MOSFET 的导通电阻变为效率限制器。随着裸片面积增加,驱动和 Coss 损耗也随之增加,并且在某一点上变为主要损耗组件。这种最小值相对宽泛,从而让设计人员可以灵活控制已实现低损耗的 MOSFET 成本。当驱动损耗等于传导损耗时达到最低损耗。
图 1 调节 MOSFET 裸片面积来最小化满负载功率损耗图 2 是围绕图 1 最佳点的三种可能设计效率图。图中分别显示了三种设计的正常裸片面积。轻负载情况下,较大面积裸片的效率会受不断增加的驱动损耗影响,而在重负载条件下小尺寸器件因高传导损耗而变得不堪重负。这些曲线代表裸片面积和成本的三比一变化,注意这一点非常重要。正常芯片面积设计的效率只比满功率大面积设计的效率稍低一点,而在轻载条件下(设计常常运行在这种负载条件下)则更高。

下一步是利用上述简单表达式,并将其放入效率方程式中:

这样,输出电流的效率就得到了优化(具体论证工作留给学生去完成)。这种优化可产生一个有趣的结果。当输出电流等于如下表达式时,效率将会最大化。

需要注意的第一件事是,a1 项对效率达到最大时的电流不产生影响。这是由于它与损耗相关,而上述损耗又与诸如二极管结点的输出电流成比例关系。因此,当输出电流增加时,上述损耗和输出功率也会随之增加,并且对效率没有影响。需要注意的第二件事是,最佳效率出现在固定损耗和传导损耗相等的某个点上。这就是说,只要控制设置 a0 和 a2 值的组件,便能够获得最佳效率。还是要努力减小 a1 的值,并提高效率。控制该项所得结果对所有负载电流而言均相同,因此如其他项一样没有出现最佳效率。a1 项的目标是在控制成本的同时达到最小化。表 1 概括总结了各种电源损耗项及其相关损耗系数,该表提供了一些最佳化电源效率方面的折中方法。例如,功率 MOSFET 导通电阻的选择会影响其栅极驱动要求及 Coss 损耗和潜在的缓冲器损耗。低导通电阻意味着,栅极驱动、Coss 和缓冲器损耗逆向增加。因此,您可通过选择 MOSFET 来控制 a0 和 a2。压;它们还包含两组低压差线性稳压器(LDO),负责提供电源给锁相回路 (PLL) 和SRAM或处理器的其它功能模块。这些器件还有许多功能未列在表中,例如后备电池支持、I2C界面和重置功能。 表 1 损耗系数及相应的电源损耗损耗系数举例
a0偏压损耗 Coss 损耗
内核损耗 缓冲器损耗
栅极驱动损耗
a1二级管结点损耗 开关损耗
逆向恢复损耗 SR 停滞时间损耗
a2FFT 电阻损耗 绕组损耗
漏电感损耗 蚀刻损耗
电容器纹波 | 损耗 电流感应损耗
代数式下一位将最佳电流代回到效率方程式中,解得最大效率为:

需要最小化该表达式中的最后两项,以最佳化效率。a1 项很简单,只需对其最小化即可。末尾项能够实现部分优化。如果假设 MOSFET 的 Coss 和栅极驱动功率与其面积相关,同时其导通电阻与面积成反比,则可以为它选择最佳面积(和电阻)。图 1 显示了裸片面积的优化结果。裸片面积较小时,MOSFET 的导通电阻变为效率限制器。随着裸片面积增加,驱动和 Coss 损耗也随之增加,并且在某一点上变为主要损耗组件。这种最小值相对宽泛,从而让设计人员可以灵活控制已实现低损耗的 MOSFET 成本。当驱动损耗等于传导损耗时达到最低损耗。

图 1 调节 MOSFET 裸片面积来最小化满负载功率损耗图 2 是围绕图 1 最佳点的三种可能设计效率图。图中分别显示了三种设计的正常裸片面积。轻负载情况下,较大面积裸片的效率会受不断增加的驱动损耗影响,而在重负载条件下小尺寸器件因高传导损耗而变得不堪重负。这些曲线代表裸片面积和成本的三比一变化,注意这一点非常重要。正常芯片面积设计的效率只比满功率大面积设计的效率稍低一点,而在轻载条件下(设计常常运行在这种负载条件下)则更高。

图 2 效率峰值出现在满额定电流之前
射频工程师养成培训教程套装,助您快速成为一名优秀射频工程师...
天线设计工程师培训课程套装,资深专家授课,让天线设计不再难...
上一篇:台达UPS地铁弱电系统解决方案
(1)
下一篇:如何由以太网络供电获得更大功率
射频和天线工程师培训课程详情>>

