- 易迪拓培训,专注于微波、射频、天线设计工程师的培养
再谈DC-DC效率:提高能效的新方法
录入:edatop.com 点击:
功率半导体获得如此多的关注实属罕见,但即使是小小的半导体也能够在能效方面做出巨大的贡献。当前的“绿色”系统趋势不仅意味着采用环保元件,还为电子产业带来了艰巨的挑战:即节能和提高系统级效率。基于此,功率硅产品如功率MOSFET 正在市场上炙手可热,因为对任何低压转换而言,绝大部分在线损耗都是由这些器件产生的,而这直接关系到系统的总体效率。
由于业界的巨大努力与关注,计算和消费电子产品在提高功效和降低功耗上已取得惊人的进步。一直以来,业界焦点都放在 AC-DC “银盒子”转换上面。然而,随着80 PLUS、Climate Savers 和能源之星 (EnergyStar 5) 等法规的出台,设计人员开始认识到 AC-DC 和 DC-DC 功率系统都需要进一步改进。AC-DC 系统的平均效率一般在 65% 左右,而 DC-DC 系统则为 80%,因此前者的改进空间较大,对其更为关注也是不难理解的。目前正是重新审视 DC-DC 系统,寻找能提升效率的创新方法的时候了。
在计算、通信和消费应用系统中,DC-DC 系统负责转换、管理和分配能量,为图形卡、处理器芯片和内存等器件供电。随着对更高性能和功能性的需求不断增加,这些器件的耗电量比以往更甚。计算和消费电子产品的设计人员不得不在功率预算和效率、成本及性能之间进行权衡。为此,人们一直在就如何评估开关电路以及其所采用的功率晶体管器件展开研究,同时也在 MOSFET 器件和先进的热封装技术方面取得进展。
EnergyStar 和 80 PLUS 法规的出台对各种消费电子产品,尤其是计算产品意味着有了规范要求。延长电池寿命也是当今便携设备用户的一个呼声。因此,延长电池寿命、减小波形因数,以及新的政府法令要求,都在促使设计人员仔细选择电源部件,尤其是板上同步降压转换器。这使新平台在功率密度、效率和热性能上有了显著的改进。例如,已有 50 万台服务器完全达到 80 PLUS 能效要求,一年节省的能量足以供应 377,000 多户欧洲家庭所需。
1 电路和损耗
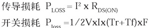
同步降压电路是低压DC-DC功率管理系统的主要部分,而导致DC-DC同步降压电路效率降低的主要因素在于MOSFET的开关损耗和传导损耗。
图1所示为桌面计算机典型的单相降压调节 (VRM)。在满载时一般将产生高达25A的电流,并可在12V输入下,以1.2V输出电平输出这样的电流。为此,主通道电路上 (或者说高位) 就得有一个MOSFET;而在同步侧 (或者说低位) 就有两个并联的MOSFET。从12V降到1.2V意味着有10% 的占空比,只有这样,高位MOSFET才会实现低开关损耗,而低位的一对MOSFET才会有最低的导通电阻RDS(ON),从而最大限度地降低传导损耗。
在采用分立元件驱动电路和MOSFET的多相位VRM解决方案中,典型的峰值效率在每相额定电流为10A时一般为90%,而当电流为满负载30A时效率降到85%。这10%~15% 的系统能效损耗直接正比于功率和热耗散。直接来说,所有功率系统设计人员都在努力使损耗和热耗散达到最小。就当今的设计而言,VRM系统一般输出功率在100W,运行效率为85%,这就是说,所有的桌面计算机都浪费了15% 的功率。
2 MOSFET硅技术的演进
MOSFET厂商一直主要在两个方面优化其半导体开发。首先是改进新产品的开关特性 (开关速度),采用先进的栅极结构,从而减弱器件的栅极电荷 (Qg) 效应。其次是提高单元密度,即在晶片尺寸不变的前提下,状态电阻 (R) 显著降低。按功率的数学定义,导通RDS(ON) 和电流是决定MOSFET传导损耗的两个因素。
从上面的公式可看出,如果改进MOSFET器件,降低导通电阻RDS(ON和缩短开关跃迁时间TRISE 和TFALL,就能减少功率损耗 (PLOSS)。
图2所示为飞兆半导体30V以下N沟道MOSFET器件在单元密度上的改进情况。图中,每个柱条代表一次新的工艺变革。从此图可看出,在最近10年,单元密度已经从每平方英寸3200万发展为当今的每平方英寸10亿。
如前所述,RDS(ON) 直接关系到传导损耗,QG直接关系到开关损耗,因此,FOM越低,器件性能就越好。
图3所示为飞兆半导体的低压MOSFET工艺技术的演进。2004年推出的PowerTrench 3代,最佳FOM为240,而今天的PowerTrench 5代,最佳FOM为126。
不幸的是,FOM降低50%,并不能使MOSFET的损耗也降低50%,因为两者并非线性关系。不过,只要仔细选择器件和优化,当今的MOSFET产品仍然可显著降低系统的功耗。
3 系统级效率
功率MOSFET是DC-DC功率电路损耗的罪魁,而若采用先进的器件,这种损耗可大幅降低。不过你一定会问,这与系统整体效率有何关系?
系统级设计人员正在寻求在轻、中等和重负载情况下以及在设备的整个运作范围内提高系统效率的方法。在满负载情况下,一台计算机启动或在重处理序列,功率系统由传导损耗主导。因此,只需挑选一个低RDS(ON) FET,损耗就可大幅降低。有趣的是,大多数PC在其运作寿命的大部分时间都处于待机或睡眠状态。因此,功率系统必须考虑轻负载效率管理,在低输出电流的情况下,如低于10A,栅极驱动和开关损耗是主要因素。
图4所示为一部台式机VRM的真实效率图。四条曲线是采用两种不同MOSFET器件在300 KHz 和550KHz的开关频率下的结果。图中给出了整个负载电流范围的效率。
我们着重讨论上面的两条曲线 (300KHz时的结果),在满负载时 (30A),两种不同器件间效率有1.5%的差距。而在负载较小时 (15A),差距也在1%。即使在更高的开关频率下 (>500KHz),系统级效率在负载较小时 (15A) 也是80% 以上,而满负载时也超过70%。
如果综合考虑整个负载范围,可计算出平均功率损耗减少达到8-10%。这样的节能效果还仅仅是优化和选择了正确的 MOSFET就取得的,而这与目前一般的解决方案不同。
反映到实际的产品中,如果典型的100W台式机DC-DC VRM系统能在电路中节省10% 的能量,就意味着节省了10W。2007年全世界生产了1.7亿块主板。如果每块主板能减少10W的工作能耗,总计就能节省1700兆瓦的电力。
在美国,家庭每年平均能耗为11827瓦,这意味着,通过改善主板DC-DC系统整体能效而节省的1700兆瓦电力,便可供144,000个美国家庭使用一年。
同样的原理也可用于笔记本电脑处理器电源、游戏机,以及机顶盒 (虽然电流低得多) 和其它家用电器。
4 结语
虽然节省每一毫瓦的能量并不起眼,但这种节省却给当今的环境问题带来全球性的变化。诸如汽车、建筑和IT之类的主体行业领域是构成这种影响的主流,而只要在局部地区进行微小的变化也足以产生显著的效果。功率器件产业非常重视节能和高能效解决方案。当今的技术可让我们开发出新的器件,以提高消费电子和计算机产品的系统级效率。
从本文的分析中看出,仅仅选用先进的MOSFET器件就能使典型台式计算机的能效提高10%。而这样的产品已经面市,现在需要的是设计人员、制造厂商和消费者共同参与,奉行节能的原则来为世界出一分力。
由于业界的巨大努力与关注,计算和消费电子产品在提高功效和降低功耗上已取得惊人的进步。一直以来,业界焦点都放在 AC-DC “银盒子”转换上面。然而,随着80 PLUS、Climate Savers 和能源之星 (EnergyStar 5) 等法规的出台,设计人员开始认识到 AC-DC 和 DC-DC 功率系统都需要进一步改进。AC-DC 系统的平均效率一般在 65% 左右,而 DC-DC 系统则为 80%,因此前者的改进空间较大,对其更为关注也是不难理解的。目前正是重新审视 DC-DC 系统,寻找能提升效率的创新方法的时候了。
在计算、通信和消费应用系统中,DC-DC 系统负责转换、管理和分配能量,为图形卡、处理器芯片和内存等器件供电。随着对更高性能和功能性的需求不断增加,这些器件的耗电量比以往更甚。计算和消费电子产品的设计人员不得不在功率预算和效率、成本及性能之间进行权衡。为此,人们一直在就如何评估开关电路以及其所采用的功率晶体管器件展开研究,同时也在 MOSFET 器件和先进的热封装技术方面取得进展。
EnergyStar 和 80 PLUS 法规的出台对各种消费电子产品,尤其是计算产品意味着有了规范要求。延长电池寿命也是当今便携设备用户的一个呼声。因此,延长电池寿命、减小波形因数,以及新的政府法令要求,都在促使设计人员仔细选择电源部件,尤其是板上同步降压转换器。这使新平台在功率密度、效率和热性能上有了显著的改进。例如,已有 50 万台服务器完全达到 80 PLUS 能效要求,一年节省的能量足以供应 377,000 多户欧洲家庭所需。
1 电路和损耗
同步降压电路是低压DC-DC功率管理系统的主要部分,而导致DC-DC同步降压电路效率降低的主要因素在于MOSFET的开关损耗和传导损耗。
图1所示为桌面计算机典型的单相降压调节 (VRM)。在满载时一般将产生高达25A的电流,并可在12V输入下,以1.2V输出电平输出这样的电流。为此,主通道电路上 (或者说高位) 就得有一个MOSFET;而在同步侧 (或者说低位) 就有两个并联的MOSFET。从12V降到1.2V意味着有10% 的占空比,只有这样,高位MOSFET才会实现低开关损耗,而低位的一对MOSFET才会有最低的导通电阻RDS(ON),从而最大限度地降低传导损耗。

图1 台式电脑典型的单相VRM
在采用分立元件驱动电路和MOSFET的多相位VRM解决方案中,典型的峰值效率在每相额定电流为10A时一般为90%,而当电流为满负载30A时效率降到85%。这10%~15% 的系统能效损耗直接正比于功率和热耗散。直接来说,所有功率系统设计人员都在努力使损耗和热耗散达到最小。就当今的设计而言,VRM系统一般输出功率在100W,运行效率为85%,这就是说,所有的桌面计算机都浪费了15% 的功率。
2 MOSFET硅技术的演进
MOSFET厂商一直主要在两个方面优化其半导体开发。首先是改进新产品的开关特性 (开关速度),采用先进的栅极结构,从而减弱器件的栅极电荷 (Qg) 效应。其次是提高单元密度,即在晶片尺寸不变的前提下,状态电阻 (R) 显著降低。按功率的数学定义,导通RDS(ON) 和电流是决定MOSFET传导损耗的两个因素。

从上面的公式可看出,如果改进MOSFET器件,降低导通电阻RDS(ON和缩短开关跃迁时间TRISE 和TFALL,就能减少功率损耗 (PLOSS)。
图2所示为飞兆半导体30V以下N沟道MOSFET器件在单元密度上的改进情况。图中,每个柱条代表一次新的工艺变革。从此图可看出,在最近10年,单元密度已经从每平方英寸3200万发展为当今的每平方英寸10亿。

图2 单元密度的演进
[图中文字:单元密度的发展趋势;技术发布,单元密度数值(百万单元数量/平方英寸)
在业界,有一个普适的性能测量始终是基准,即品质因数 (FOM),而且基本上是半导体硅片导通电阻 (RDS(ON)) 和栅极电荷 (Qg) 的总和。FOM = RDS(ON) x QG
如前所述,RDS(ON) 直接关系到传导损耗,QG直接关系到开关损耗,因此,FOM越低,器件性能就越好。
图3所示为飞兆半导体的低压MOSFET工艺技术的演进。2004年推出的PowerTrench 3代,最佳FOM为240,而今天的PowerTrench 5代,最佳FOM为126。

图3 品质因数的提高
不幸的是,FOM降低50%,并不能使MOSFET的损耗也降低50%,因为两者并非线性关系。不过,只要仔细选择器件和优化,当今的MOSFET产品仍然可显著降低系统的功耗。
3 系统级效率
功率MOSFET是DC-DC功率电路损耗的罪魁,而若采用先进的器件,这种损耗可大幅降低。不过你一定会问,这与系统整体效率有何关系?
系统级设计人员正在寻求在轻、中等和重负载情况下以及在设备的整个运作范围内提高系统效率的方法。在满负载情况下,一台计算机启动或在重处理序列,功率系统由传导损耗主导。因此,只需挑选一个低RDS(ON) FET,损耗就可大幅降低。有趣的是,大多数PC在其运作寿命的大部分时间都处于待机或睡眠状态。因此,功率系统必须考虑轻负载效率管理,在低输出电流的情况下,如低于10A,栅极驱动和开关损耗是主要因素。
图4所示为一部台式机VRM的真实效率图。四条曲线是采用两种不同MOSFET器件在300 KHz 和550KHz的开关频率下的结果。图中给出了整个负载电流范围的效率。

图4 VR11.1 VCORE 的效率比较
我们着重讨论上面的两条曲线 (300KHz时的结果),在满负载时 (30A),两种不同器件间效率有1.5%的差距。而在负载较小时 (15A),差距也在1%。即使在更高的开关频率下 (>500KHz),系统级效率在负载较小时 (15A) 也是80% 以上,而满负载时也超过70%。
如果综合考虑整个负载范围,可计算出平均功率损耗减少达到8-10%。这样的节能效果还仅仅是优化和选择了正确的 MOSFET就取得的,而这与目前一般的解决方案不同。
反映到实际的产品中,如果典型的100W台式机DC-DC VRM系统能在电路中节省10% 的能量,就意味着节省了10W。2007年全世界生产了1.7亿块主板。如果每块主板能减少10W的工作能耗,总计就能节省1700兆瓦的电力。
在美国,家庭每年平均能耗为11827瓦,这意味着,通过改善主板DC-DC系统整体能效而节省的1700兆瓦电力,便可供144,000个美国家庭使用一年。
同样的原理也可用于笔记本电脑处理器电源、游戏机,以及机顶盒 (虽然电流低得多) 和其它家用电器。
4 结语
虽然节省每一毫瓦的能量并不起眼,但这种节省却给当今的环境问题带来全球性的变化。诸如汽车、建筑和IT之类的主体行业领域是构成这种影响的主流,而只要在局部地区进行微小的变化也足以产生显著的效果。功率器件产业非常重视节能和高能效解决方案。当今的技术可让我们开发出新的器件,以提高消费电子和计算机产品的系统级效率。
从本文的分析中看出,仅仅选用先进的MOSFET器件就能使典型台式计算机的能效提高10%。而这样的产品已经面市,现在需要的是设计人员、制造厂商和消费者共同参与,奉行节能的原则来为世界出一分力。
射频工程师养成培训教程套装,助您快速成为一名优秀射频工程师...
天线设计工程师培训课程套装,资深专家授课,让天线设计不再难...
上一篇:致力于满足并超越节能规范标准的“绿色”电源技术
下一篇:高性能、高能效的IGBT
射频和天线工程师培训课程详情>>

