- 易迪拓培训,专注于微波、射频、天线设计工程师的培养
半导体激光管(LD)的电源设计
录入:edatop.com 点击:
半导体激光管(LD)和普通二极管采用不同工艺,但电压和电流特性基本相同。在工作点时,小电压变化会导致激光管电流变化较大。此外电流纹波过大也会使得激光器输出不稳定。二极管激光器对它的驱动电源有十分严格的要求;输出的直流电流要高、电流稳定及低纹波系数、高功率因数等。随着激光器的输出功率不断加大,需要高性能大电流的稳流电源来驱动。为了保证半导体激光器正常工作,需要对其驱动电源进行合理设计。并且随着高频、低开关阻抗的MOSFET技术的发展,采用以MOSFET为核心的开关电源出现,开关电源在输出大电流时,纹波过大的问题得到了解决。
1 系统构成
装置输入电压为24V,输出最大电流为20A,根据串联激光管的数量输出不同电压。如果采用交流供电,前端应该采用AC/DC作相应的变换。该装置主要部分为同步DC/DC变换器,其原理图如图1所示。
Vin为输入电压,VM1、VM2为MOSFET,VM1导通宽度决定输出电压大小,快恢复二极管和VM2共同续流电路,整流管的导通损耗占据最主要的部分,因此它的选择至关重要,试验中选用通态电阻很低的M0SFET。电感、电容组成滤波电路。测量电阻两端电压与给定值比较后,通过脉冲发生器产生相应的脉宽,保持负载电流稳定。VM1关断,快恢复二极管工作,快恢复二极管通态损耗大,VM2接着开通续流,减少系统损耗。
2 工作原理
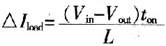
VM1导通ton时,可得:
,电流纹波为:
;
VM1关断,电流通过VD续流,接着VN2导通。由于VM2的阻抗远小于二极管阻抗,因此通过VM2续流。VMl、VN2触发脉冲如图2所示。图2中td为续流二极管导通时间。
二极管消耗的功率为P=VtdI0。一般快恢复二极管压降0.4V,当电流20A时,二极管消耗功率为0.8W。如采用MOSFET,则消耗的功率将小很多。本实验采用威世半导体公司的60A的MOSFET,其导通等效电阻为0.0022Ω。当电流为20A时,消耗功率约为0.088W。
由电流纹波公式可知,增大电感、减小ton都可以减小纹波。为了不提高电感容量,实验中采用200kHz的工作频率,其中电感选用4.8-μH,根据公式可得激光管压降2V时纹波电流约为1000mA。
系统采用了电流负反馈电路,以适应激光二极管的要求。当负载变化,电流略大于给定电流时,减小ton宽度,电压降低。电流略小于给定电流时,增加ton宽度,这样可以维持电流稳定。图3所示为脉冲发生器结构。
图3中,R1,R2为电压测量电阻,Rc为电流测量电阻。调节R1可以设定最大输出电压。Rc限制最大输出电流。当最大电压或电流其中一个达到给定值,则脉冲宽度最大。这样可以保证负载正常工作。
其仿真结果如图4所示。
3 实验结果
实验曲线如图5所示,实验数据为输入电压12V,输出电压2V左右,测量电阻0.0025Ω,最大输出电流20A。
实验中用50A的2个二极管串联作为负载,输入电压12V时,不同电流下输出及效率如表1所示。
1 系统构成
装置输入电压为24V,输出最大电流为20A,根据串联激光管的数量输出不同电压。如果采用交流供电,前端应该采用AC/DC作相应的变换。该装置主要部分为同步DC/DC变换器,其原理图如图1所示。

Vin为输入电压,VM1、VM2为MOSFET,VM1导通宽度决定输出电压大小,快恢复二极管和VM2共同续流电路,整流管的导通损耗占据最主要的部分,因此它的选择至关重要,试验中选用通态电阻很低的M0SFET。电感、电容组成滤波电路。测量电阻两端电压与给定值比较后,通过脉冲发生器产生相应的脉宽,保持负载电流稳定。VM1关断,快恢复二极管工作,快恢复二极管通态损耗大,VM2接着开通续流,减少系统损耗。
2 工作原理
VM1导通ton时,可得:
,电流纹波为:
;VM1关断,电流通过VD续流,接着VN2导通。由于VM2的阻抗远小于二极管阻抗,因此通过VM2续流。VMl、VN2触发脉冲如图2所示。图2中td为续流二极管导通时间。

二极管消耗的功率为P=VtdI0。一般快恢复二极管压降0.4V,当电流20A时,二极管消耗功率为0.8W。如采用MOSFET,则消耗的功率将小很多。本实验采用威世半导体公司的60A的MOSFET,其导通等效电阻为0.0022Ω。当电流为20A时,消耗功率约为0.088W。
由电流纹波公式可知,增大电感、减小ton都可以减小纹波。为了不提高电感容量,实验中采用200kHz的工作频率,其中电感选用4.8-μH,根据公式可得激光管压降2V时纹波电流约为1000mA。
系统采用了电流负反馈电路,以适应激光二极管的要求。当负载变化,电流略大于给定电流时,减小ton宽度,电压降低。电流略小于给定电流时,增加ton宽度,这样可以维持电流稳定。图3所示为脉冲发生器结构。

图3中,R1,R2为电压测量电阻,Rc为电流测量电阻。调节R1可以设定最大输出电压。Rc限制最大输出电流。当最大电压或电流其中一个达到给定值,则脉冲宽度最大。这样可以保证负载正常工作。
其仿真结果如图4所示。

3 实验结果
实验曲线如图5所示,实验数据为输入电压12V,输出电压2V左右,测量电阻0.0025Ω,最大输出电流20A。

实验中用50A的2个二极管串联作为负载,输入电压12V时,不同电流下输出及效率如表1所示。

射频工程师养成培训教程套装,助您快速成为一名优秀射频工程师...
天线设计工程师培训课程套装,资深专家授课,让天线设计不再难...
上一篇:大型锂电池常温循环性能及其容量损失
下一篇:安森美推出街道照明高能效LED电源方案
射频和天线工程师培训课程详情>>

