- 易迪拓培训,专注于微波、射频、天线设计工程师的培养
280W移相全桥软开关DC/DC变换器设计
录入:edatop.com 点击:
移相控制的全桥PWM变换器是最常用的中大功率DC/DC变换电路拓扑形式之一。移相PWM控制方式利用开关管的结电容和高频变压器的漏电感或原边串联电感作为谐振元件,使开关管能进行零电压开通和关断,从而有效地降低了电路的开关损耗和开关噪声,减少了器件开关过程中产生的电磁干扰,为变换器提高开关频率、提高效率、减小尺寸及减轻质量提供了良好的条件。然而,传统的移相全桥变换器的输出整流二极管存在反向恢复过程,会引起寄生振荡,二极管上存在很高的尖峰电压,需增加阻容吸收回路进行抑制,文献提出了两种带箝位二极管的拓扑,可以很好地抑制寄生振荡。本文采取文献提出的拓扑结构,设计了一台280 W移相全桥软开关DC/DC变换器,该变换器输入电压为194~310 V,输出电压为76V。
1 主电路拓扑及工作过程分析
本设计所采用的主电路拓扑如图1所示。其中VQ1~VQ4为4个开关管,VD1~VD4分别是4个开关管的寄生二极管,C1~C4分别为4个开关管的结电容和外接电容,VQ5和VQ6是2个箝位二极管,Lr是谐振电感,VDR1和VDR5为输出整流二极管,CDR1和CDR2为输出整流二极管的等效并联电容。VQ1和VQ3组成超前桥臂,VQ2和VQ4组成滞后桥臂,每个桥臂的2个开关管互补180°导通,2个桥臂的导通角相差1个相位。即移相角,通过调节该相位就可以调节输出电压。这种拓扑通过增加2个箝位二极管VQ5、VQ6来消除次级整流管反向恢复引起的电压振荡,减小了次级整流管的电压应力,并且箝位二极管VQ5、VQ6,在一个周期里分别只导通一次,减小了二极管VQ5,VQ6的电流损耗,提高了变换器的效率。图2为变换器的工作波形,其中,iLr为Lr上的电流,ip为变压器原边电流,UAB为A、B两点电压差,iD5为VD5的电流,iD6为VD6的电流。


图2中,在一个开关周期中,该变换器有16种开关状态,这里只分析前8种状态。在分析前,先作如下假设:除输出整流二极管外,所有开关管、二极管、电感和电容均为理想器件:变压器的漏感很小,可以忽略不计;Lf>>Lr/K2(K是变压器原副边匝比):输出整流二极管等效为一个理想二极管和一只电容的并联。
1)状态1[t0,t1]:在t0时刻以前,VQ1,VQ4和VDRl导通。在t0时刻,VQ1关断,谐振电感上的电流iLr对C1充电,对C2放电,由于有C1和C2,VQ1为零电压关断,VD5和VD6不导通。
2)状态2t1,t2]:t1时刻,C3的电压降为O,VD3自然导通,此时可以零电压开VQ3。CDR2继续放电,iLr和变压器原边电流ip继续下降。
3)状态3[t2,t3]:t2时刻,CDR2完全放电,VDR2导通,2个整流二极管都导通,副边短接,iLr和ip相等,处于自然续流状态。
4)状态4[t3,t4]:t3时刻,关断VQ4,ip给C2放电,给C4充电,iLr和ip相等,一起线性下降,由于有C2和C4,VQ4是零电压关断。
5)状态5[t4,t6]:t4时刻,VD2导通,VD2能够零电压开通。t5时刻,ip由正向过零,且向负方向增加,由于ip不足以提供负载电流,VDR1和VDR2仍然导通,Vin全部加在Lr上,iLr和ip同时线性负增长。
6)状态6[t6,t7]:t6时刻,VDR1关断,VDR2流过全部负载电流。Lr与CDR1谐振,给CDR1充电,iLr和ip继续线性负增长。
7)状态7[t7,t8]:t7时刻,Cdr1电压上升到2Vm,VD6导通,将原边电压箝位在Vin,因此CDR1电压被箝位在2Vin/K,到t8时刻,ip等于iLr,VD6关断。
8)状态8[t8,t9]:在此状态中,原边给负载提供能量,iLr和ip相等。
2 磁性元器件设计
2.1 变压器设计
变压器原副边匝数比为

式中,Vin min为输出电压最小值,V。为输出电压,VD为输出整流二极管压降,Dmax为副边最大占空比,这里取为0.8,因此,匝数比K取为2。
用铁氧体磁芯EE55绕制该变压器,原边用7根线径为0.33 mm的漆包线并绕28匝,副边用11根线径为O.33 mm的漆包线并绕14匝。
2.2 输出滤波电感设计
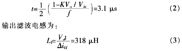
输出滤波电感应能够存储足够大的能量,能够在次级整流管自然续流时为负载提供连续的电流。当变换器输入为310 V时,续流时间最大,为:

式中,滤波电感上电流的脉动量△iLf=20%Iomax,因此,Lf取为330 μs。
用铁氧体磁芯PQ40绕制该电感,用18根线径为0.33 mm的漆包线并绕3l匝,气隙为0.7 mm。
2.3谐振电感设计
超前臂利用滤波电感和谐振电感的能量很容易实现软开关,而滞后臂只能利用谐振电感的能量来实现软开关,相对超前臂来说,滞后臂只能在较窄的负载范嗣内实现软开关。为了实现滞后臂的软开关,必须满足:

式中,Coss为开关管的寄生和外接电容,为300 pF,I为滞后臂关断时原边电流的大小,而变换器在1/3满载时,

由式(4)式(5)可以得到谐振电感

因此,Lr取为120μH。用铁氧体磁芯PQ40绕制该电感,用7根线径为0.33 mm的漆包线并绕32匝,气隙为2 mm。
3 实验结果
本文设计的变换器的主要参数如下:Vin=194-310 V,Vo=76V,Pomax=280 W,K=2,f=80 kHz,Lr=120μH,Lr=330μH,Co=3000μF,开关管采用12N60,Coss=300 pF。
图3为超前臂的ZVS波形,图4为滞后臂的ZVS波形。输入电压为250 V,VCS为驱动电压,VDS为漏源电压,由图3和图4可以看出变换器的超前臂和滞后臂都可以实现零电压开通。
图5为输出整流二极管VDR1电压波形,VDR1为VDR1两端的端电压,由图5可知,VDR1关断后,经过很小一段时间,箝位二极管VD6开通,将VDR1箝位,没有出现电压振荡,当VD6截止后,出现了很小的电压振荡,电压尖峰值不大于箝位电压,因此次级整流管的的电压应力可以大大减小。
4 结论
本文分析了一种移相全桥软开关变换器的拓扑,在分析的基础上设计了一台280 W的软开关DC/DC变换器,该变换器在变压器原边采用2个箝位二极管。实验证明,该方案在实现开关管零电压开关的同时,能够有效地抑制输出整流二极管反向恢复所带来的电压振荡,减小了次级整流二极管的电压应力。
1 主电路拓扑及工作过程分析
本设计所采用的主电路拓扑如图1所示。其中VQ1~VQ4为4个开关管,VD1~VD4分别是4个开关管的寄生二极管,C1~C4分别为4个开关管的结电容和外接电容,VQ5和VQ6是2个箝位二极管,Lr是谐振电感,VDR1和VDR5为输出整流二极管,CDR1和CDR2为输出整流二极管的等效并联电容。VQ1和VQ3组成超前桥臂,VQ2和VQ4组成滞后桥臂,每个桥臂的2个开关管互补180°导通,2个桥臂的导通角相差1个相位。即移相角,通过调节该相位就可以调节输出电压。这种拓扑通过增加2个箝位二极管VQ5、VQ6来消除次级整流管反向恢复引起的电压振荡,减小了次级整流管的电压应力,并且箝位二极管VQ5、VQ6,在一个周期里分别只导通一次,减小了二极管VQ5,VQ6的电流损耗,提高了变换器的效率。图2为变换器的工作波形,其中,iLr为Lr上的电流,ip为变压器原边电流,UAB为A、B两点电压差,iD5为VD5的电流,iD6为VD6的电流。


图2中,在一个开关周期中,该变换器有16种开关状态,这里只分析前8种状态。在分析前,先作如下假设:除输出整流二极管外,所有开关管、二极管、电感和电容均为理想器件:变压器的漏感很小,可以忽略不计;Lf>>Lr/K2(K是变压器原副边匝比):输出整流二极管等效为一个理想二极管和一只电容的并联。
1)状态1[t0,t1]:在t0时刻以前,VQ1,VQ4和VDRl导通。在t0时刻,VQ1关断,谐振电感上的电流iLr对C1充电,对C2放电,由于有C1和C2,VQ1为零电压关断,VD5和VD6不导通。
2)状态2t1,t2]:t1时刻,C3的电压降为O,VD3自然导通,此时可以零电压开VQ3。CDR2继续放电,iLr和变压器原边电流ip继续下降。
3)状态3[t2,t3]:t2时刻,CDR2完全放电,VDR2导通,2个整流二极管都导通,副边短接,iLr和ip相等,处于自然续流状态。
4)状态4[t3,t4]:t3时刻,关断VQ4,ip给C2放电,给C4充电,iLr和ip相等,一起线性下降,由于有C2和C4,VQ4是零电压关断。
5)状态5[t4,t6]:t4时刻,VD2导通,VD2能够零电压开通。t5时刻,ip由正向过零,且向负方向增加,由于ip不足以提供负载电流,VDR1和VDR2仍然导通,Vin全部加在Lr上,iLr和ip同时线性负增长。
6)状态6[t6,t7]:t6时刻,VDR1关断,VDR2流过全部负载电流。Lr与CDR1谐振,给CDR1充电,iLr和ip继续线性负增长。
7)状态7[t7,t8]:t7时刻,Cdr1电压上升到2Vm,VD6导通,将原边电压箝位在Vin,因此CDR1电压被箝位在2Vin/K,到t8时刻,ip等于iLr,VD6关断。
8)状态8[t8,t9]:在此状态中,原边给负载提供能量,iLr和ip相等。
2 磁性元器件设计
2.1 变压器设计
变压器原副边匝数比为

式中,Vin min为输出电压最小值,V。为输出电压,VD为输出整流二极管压降,Dmax为副边最大占空比,这里取为0.8,因此,匝数比K取为2。
用铁氧体磁芯EE55绕制该变压器,原边用7根线径为0.33 mm的漆包线并绕28匝,副边用11根线径为O.33 mm的漆包线并绕14匝。
2.2 输出滤波电感设计
输出滤波电感应能够存储足够大的能量,能够在次级整流管自然续流时为负载提供连续的电流。当变换器输入为310 V时,续流时间最大,为:

式中,滤波电感上电流的脉动量△iLf=20%Iomax,因此,Lf取为330 μs。
用铁氧体磁芯PQ40绕制该电感,用18根线径为0.33 mm的漆包线并绕3l匝,气隙为0.7 mm。
2.3谐振电感设计
超前臂利用滤波电感和谐振电感的能量很容易实现软开关,而滞后臂只能利用谐振电感的能量来实现软开关,相对超前臂来说,滞后臂只能在较窄的负载范嗣内实现软开关。为了实现滞后臂的软开关,必须满足:

式中,Coss为开关管的寄生和外接电容,为300 pF,I为滞后臂关断时原边电流的大小,而变换器在1/3满载时,

由式(4)式(5)可以得到谐振电感

因此,Lr取为120μH。用铁氧体磁芯PQ40绕制该电感,用7根线径为0.33 mm的漆包线并绕32匝,气隙为2 mm。
3 实验结果
本文设计的变换器的主要参数如下:Vin=194-310 V,Vo=76V,Pomax=280 W,K=2,f=80 kHz,Lr=120μH,Lr=330μH,Co=3000μF,开关管采用12N60,Coss=300 pF。
图3为超前臂的ZVS波形,图4为滞后臂的ZVS波形。输入电压为250 V,VCS为驱动电压,VDS为漏源电压,由图3和图4可以看出变换器的超前臂和滞后臂都可以实现零电压开通。
![]() |
图5为输出整流二极管VDR1电压波形,VDR1为VDR1两端的端电压,由图5可知,VDR1关断后,经过很小一段时间,箝位二极管VD6开通,将VDR1箝位,没有出现电压振荡,当VD6截止后,出现了很小的电压振荡,电压尖峰值不大于箝位电压,因此次级整流管的的电压应力可以大大减小。
4 结论
本文分析了一种移相全桥软开关变换器的拓扑,在分析的基础上设计了一台280 W的软开关DC/DC变换器,该变换器在变压器原边采用2个箝位二极管。实验证明,该方案在实现开关管零电压开关的同时,能够有效地抑制输出整流二极管反向恢复所带来的电压振荡,减小了次级整流二极管的电压应力。
射频工程师养成培训教程套装,助您快速成为一名优秀射频工程师...
射频和天线工程师培训课程详情>>


