- 易迪拓培训,专注于微波、射频、天线设计工程师的培养
电流不连续状念下LLC谐振型DC/DC变换器的分析
录入:edatop.com 点击:
LLC谐振型DC/DC变换器有许多优点:开关管的频率可工作在欠谐振和过谐振状态;在输出负载和输入电压较大变化时可利用相对较小的频率调节来保证输出电压恒定,而且在整个调节范围内都能保证功率器件软开关。因此,它是计算机、通信、薄型电视机开关电源中最具吸引力的拓扑结构。
LLC谐振型DC/DC变换器工作在过谐振模式时或接近谐振频率时,整流二极管的电流工作在CCM(连续状态),谐振电流的波形接近正弦波,对这种状况的变换器的特性分析已有很多文献做了报道[1~4]。而变换器实际工作在DCM(不连续状态)、CCM两个状态下,特别在输入电压变化较宽的场合下,工作频率更是远离谐振频率,此时整流二极管的电流工作在DCM,谐振电流的波形不完全是正弦波,而对这种状态下变换器的特性分析则很少。本文着重分析这种状态下的变换器的特性,为更准确完整设计LLC谐振变换器提供理论基础。
1 DCM工作状态的工作原理
图1为半桥结构的LLC的谐振变换器,两个主开关Q1、Q2的驱动信号为占空比50%的固定信号,电感L1,电容Cr=C1+C2,变压器的励磁电感L2构成LLC谐振网络;在输出侧,整流二极管D1、D2构成中心抽头的整流电路,整流二极管直接连到输出电容C。,变压器各线圈的匝比为n:1:1。LLC谐振变换器有2个本征谐振频率:一个是由L1、Cr谐振的谐振频率f1,角频率为ω1,另一个是由L1+L2、Cr谐振的谐振频率f2,角频率为ω2。它们分别为:


当开关管的开关频率工作在f>f1时,输出整流二极管D1的电流工作在CCM,而当开关管的开关频率工作在f2 < f < f1时,输出整流二极管D1的电流工作在DCM。
DCM工作状态的波形图如图2所示。在正半周的[t0~t1]阶段,S1导通,谐振元件为L1、cr,i3=i1-i2>0,D1导通、D2关断,电源向负载输送能量;而在[t1~t2]阶段,Sl导通,谐振元件为,L1+L2、cr,i3=i1一i2=0,D1、D2都关断,电源不向负载输送能量,i1为下半个周期开关管换流时实现ZVS提供续流。负半周与此相反。

2 DCM工作状态的分析
为了简化分析,定义归一化频率F=f/f1,品质因数Q=ω1L1/(n2R0),谐振电感比A=L2/L1。
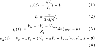
1)励磁电流i2(ι)、谐振电流i1(t)、电容电压Vc2(t)
a)在整流二极管D1导通期间:

式中VCmin为谐振电容最低电压;θ为初相角;nV0为折算到变压器原边的电压;Vin为电路输入电压;

为谐振电路特征阻抗。
b)在整流二极管D1关断期间:

式中:T为开关周期;T1为L1、Cr的谐振周期。
2)谐振电容的最大电压VCmax和最小电压Vcmin
由

得

根据电路的特点有:

应用(7)式得:

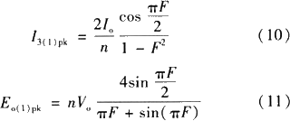
3)谐振电流的最大值,I1pk令式(3)sin((ω1t-θ)=l,得

4)直流增益特性分析
根据基波分析法的原理,谐振变换器的基波分量等效电路如图3所示。

应用傅里叶级数分析变压器原边电流、电压波形的基波幅值为:

因此,负载电阻反射到变压器原边的电阻为:

根据等效电路图,归一化后得:

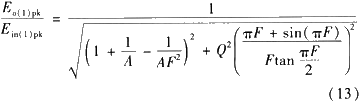
直流增益特性为:

应用Ein(1)pk=(2/π)Vin得到:

3 变换器的参数最佳设计
应用MATLAB仿真软件,绘制出nM、VCmax、VCmax/nV0、nI1pk/I0 随归一化频率F、品质因素Q和电感比A的曲线如图4、图5、图6所示。

设LLC谐振变换器的输入电压变化范围为Vinmin~Vinmax输出电压V0恒定不变,最高工作频率为fmax,负载电流变化范围为,Iomin~Iomax,利用上述图形讨论LLC谐振变换器最佳参数设计方法。
1)A、Q、F的选择
从图6可知,不论Q如何变化,在F=1时,nM始终为1,设定输入电压最大时对应最高工作频率fmax, 此时nM=1。当输入电压最小时,为了保证输出电压不变,nMmax必须变为Vinmax/Vinmin,假设为2,在图6中找到nM=2对应的A=2,A=4,A=8时Qmax、Fmin值,然后在图4、图5中找到对应的nI1PK/I0、VCmax/V0。输入电压变化时设计参数变化见表1。

从表1可以看出,电感比A=4时,通过开关管的电流最小,随着A的增大,频率控制范围加大,但开关管的电流增加,谐振电容的峰值电压下降不明显。因此A选择在2-8之间为最佳,至于具体选择多少,根据谐振变换器的要求按照上述公式和设计方法找到最佳点,一般选择4或5。
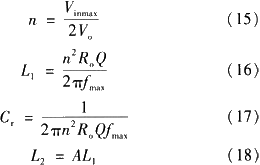
2)n、L1、L2、Cr参数的计算

4 实验结果
为验证以上分析,制作了一台规格为Vin=200 V~400 V,V0=48 V,R0=11.5 Ωfmax=100 kHz的实验样机。主要参数如下:nMmax=2,A=4,Q=O.1,n=5,L1=46μH,Cr=0.055μF,L2=184μH。
改变输入电压,测量保持输出电压不变时各种输入电压下的最小控制频率fmin、谐振电路最大峰值电流ILpk和谐振电容最大峰值电压Vcmax,测量结果见表2。

5 结束语
分析了LLC谐振变换器工作在DCM状态的特性和参数最佳确定方法,给出了相关的实验结果,实验证明理论分析与实验结果完全一致,为LLC谐振变换器的准确设计提供 了一个简单方便的方法。
LLC谐振型DC/DC变换器工作在过谐振模式时或接近谐振频率时,整流二极管的电流工作在CCM(连续状态),谐振电流的波形接近正弦波,对这种状况的变换器的特性分析已有很多文献做了报道[1~4]。而变换器实际工作在DCM(不连续状态)、CCM两个状态下,特别在输入电压变化较宽的场合下,工作频率更是远离谐振频率,此时整流二极管的电流工作在DCM,谐振电流的波形不完全是正弦波,而对这种状态下变换器的特性分析则很少。本文着重分析这种状态下的变换器的特性,为更准确完整设计LLC谐振变换器提供理论基础。
1 DCM工作状态的工作原理
图1为半桥结构的LLC的谐振变换器,两个主开关Q1、Q2的驱动信号为占空比50%的固定信号,电感L1,电容Cr=C1+C2,变压器的励磁电感L2构成LLC谐振网络;在输出侧,整流二极管D1、D2构成中心抽头的整流电路,整流二极管直接连到输出电容C。,变压器各线圈的匝比为n:1:1。LLC谐振变换器有2个本征谐振频率:一个是由L1、Cr谐振的谐振频率f1,角频率为ω1,另一个是由L1+L2、Cr谐振的谐振频率f2,角频率为ω2。它们分别为:


当开关管的开关频率工作在f>f1时,输出整流二极管D1的电流工作在CCM,而当开关管的开关频率工作在f2 < f < f1时,输出整流二极管D1的电流工作在DCM。
DCM工作状态的波形图如图2所示。在正半周的[t0~t1]阶段,S1导通,谐振元件为L1、cr,i3=i1-i2>0,D1导通、D2关断,电源向负载输送能量;而在[t1~t2]阶段,Sl导通,谐振元件为,L1+L2、cr,i3=i1一i2=0,D1、D2都关断,电源不向负载输送能量,i1为下半个周期开关管换流时实现ZVS提供续流。负半周与此相反。

2 DCM工作状态的分析
为了简化分析,定义归一化频率F=f/f1,品质因数Q=ω1L1/(n2R0),谐振电感比A=L2/L1。
1)励磁电流i2(ι)、谐振电流i1(t)、电容电压Vc2(t)
a)在整流二极管D1导通期间:

式中VCmin为谐振电容最低电压;θ为初相角;nV0为折算到变压器原边的电压;Vin为电路输入电压;

为谐振电路特征阻抗。
b)在整流二极管D1关断期间:

式中:T为开关周期;T1为L1、Cr的谐振周期。
2)谐振电容的最大电压VCmax和最小电压Vcmin
由

得

根据电路的特点有:

应用(7)式得:

3)谐振电流的最大值,I1pk令式(3)sin((ω1t-θ)=l,得

4)直流增益特性分析
根据基波分析法的原理,谐振变换器的基波分量等效电路如图3所示。

应用傅里叶级数分析变压器原边电流、电压波形的基波幅值为:

因此,负载电阻反射到变压器原边的电阻为:

根据等效电路图,归一化后得:

直流增益特性为:

应用Ein(1)pk=(2/π)Vin得到:

3 变换器的参数最佳设计
应用MATLAB仿真软件,绘制出nM、VCmax、VCmax/nV0、nI1pk/I0 随归一化频率F、品质因素Q和电感比A的曲线如图4、图5、图6所示。

设LLC谐振变换器的输入电压变化范围为Vinmin~Vinmax输出电压V0恒定不变,最高工作频率为fmax,负载电流变化范围为,Iomin~Iomax,利用上述图形讨论LLC谐振变换器最佳参数设计方法。
1)A、Q、F的选择
从图6可知,不论Q如何变化,在F=1时,nM始终为1,设定输入电压最大时对应最高工作频率fmax, 此时nM=1。当输入电压最小时,为了保证输出电压不变,nMmax必须变为Vinmax/Vinmin,假设为2,在图6中找到nM=2对应的A=2,A=4,A=8时Qmax、Fmin值,然后在图4、图5中找到对应的nI1PK/I0、VCmax/V0。输入电压变化时设计参数变化见表1。

从表1可以看出,电感比A=4时,通过开关管的电流最小,随着A的增大,频率控制范围加大,但开关管的电流增加,谐振电容的峰值电压下降不明显。因此A选择在2-8之间为最佳,至于具体选择多少,根据谐振变换器的要求按照上述公式和设计方法找到最佳点,一般选择4或5。
2)n、L1、L2、Cr参数的计算

4 实验结果
为验证以上分析,制作了一台规格为Vin=200 V~400 V,V0=48 V,R0=11.5 Ωfmax=100 kHz的实验样机。主要参数如下:nMmax=2,A=4,Q=O.1,n=5,L1=46μH,Cr=0.055μF,L2=184μH。
改变输入电压,测量保持输出电压不变时各种输入电压下的最小控制频率fmin、谐振电路最大峰值电流ILpk和谐振电容最大峰值电压Vcmax,测量结果见表2。

5 结束语
分析了LLC谐振变换器工作在DCM状态的特性和参数最佳确定方法,给出了相关的实验结果,实验证明理论分析与实验结果完全一致,为LLC谐振变换器的准确设计提供 了一个简单方便的方法。
射频工程师养成培训教程套装,助您快速成为一名优秀射频工程师...
天线设计工程师培训课程套装,资深专家授课,让天线设计不再难...
上一篇:脉宽调制开关电源控制IC
下一篇:如何选择合适的(变)电站用直流电源屏
射频和天线工程师培训课程详情>>

