- 易迪拓培训,专注于微波、射频、天线设计工程师的培养
反激式开关电源输出滤波电容器的选择
录入:edatop.com 点击:
1.反激式开关电源输出整流滤波电路工作状态分析
反激式开关电源输出整流滤波电路原理上是最简单的。但是,由于反激式开关电源的能量传递必须通过变压器转换实现,并压器的初次级两侧的开关(MOSFET或整流二极管)均工作在电流断续状态。在相同输出功率条件下,反激式开关电源的开关流过的电流峰值和有效值大于正激式、桥式、推挽式开关电源。为了获得更低的输出电压尖峰,通常的反激式开关电源工作在电感电流(变压器储能)断续状态,这就进一步增加了开关元件的电流额定。
开关电源的电路拓扑对输出整流滤波电容器影响也是非常大的,由于反激式开关电源的输出电流断续性,其交流分量需要由输出整流滤波电容器吸收,当电感电流断续时输出整流滤波电容器的需要吸收的纹波电流相对最大。
对应的输出整流二极管的电流波形如图1,输出滤波电容器的电流波形如图2。

图1 反激式开关电源的输出整流二极管的电流波形

图2 输出滤波电容器的电流波形
由图1可以得到流过输出整流二极管电流峰值与平均值、有效值的关系为如下。
流过输出整流器的峰值电流与平均值电流的关系:
(1)
流过输出整流器的有效值电流与峰值值电流的关系:
(2)
流过整流器的有效值电流与平均值电流的关系:
(3)
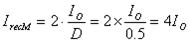
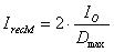
式中:IrecM、Irecrms、IO、Dmax分别为流过输出整流器的峰值电流、有效值电流、平均值电流和输出整流二极管的最大导通占空比。
流过输出滤波电容器的电流有效值略小于流过输出整流器的有效值电流。
式(1)、(2)、(3)表明,随着输出整流器导通占空比的减小,相同输出电流平均值对应道德峰值电流、有效值电流随占空比的减小而增加。
在大多数情况下,反激式开关电源工作在变压器电流临界或断续状态。在变压器电流临界状态下,初级侧开关管导通占空比与输出整流器导通占空比相加为1。
在大多数情况下,反激式开关电源的输出整流器的最大导通占空比约为0.5。这样,流过输出整流器的电流峰值与输出平均值电流之间的关系为:
(4)
有效值电流于输出电流平均值的关系为:
(5)
2.设计实例与分析
某反激式开关电源的技术参数为:电路图拓扑:反激式;输入电压:85Vac"264Vac工作频率:65kHz ;输出:12V/5A;纹波电压:50mV;CLC滤波。
(1)第一级滤波电容器的选择
对于输出电流5A对应的峰值电流为20A、有效值电流为14.14A,其中大部分流入滤波电容器。按最高温度的纹波电流2倍选用电容器,滤波电容器的纹波电流之和至少要7A。
25V/1000μF低ESR铝电解电容器的额定纹波电流约为1A,需要7只并联。如果非要5只并联甚至4只并联,也是可以运行的,但是不具有长期可靠性。
25℃温度下,25V/1000μF低ESR铝电解电容器的ESR约为0.09Ω。7只并联对应的ESR为129mΩ、5只并联为180mΩ、4只并联为225mΩ。由电流变化在ESR上产生的峰值电压分别为2.59V、3.60V、4.50V。除此之外,滤波电容器的ESL还会在整流二极管开通时由于电流的跃变而产生感生电势,这个感生电势同样会加到滤波电容器上,因此,滤波电容器上的峰值电压将不只是上述的2.59V、3.60V、4.50V。其电压波形如图3。

图3 第一级滤波电容器的电压波形
很显然,2.59V、3.60V、4.50V是不能满足设计要求的,需要在第一级滤波电容器后面加上一级LC低通滤波器。
(2)第二极LC低通滤波器的设计与参数选择
第二级需要考虑的是如何将不能满足要求纹波电压经过LC滤波使其满足要求。通常滤波电感可以选择30"100μH,输出滤波电容器不仅要考虑输出纹波电压是否可以满足要求,还要考虑抑制负载电流的变化,在这里可以选择330"1000μF/25V。
反激式开关电源输出整流滤波电路原理上是最简单的。但是,由于反激式开关电源的能量传递必须通过变压器转换实现,并压器的初次级两侧的开关(MOSFET或整流二极管)均工作在电流断续状态。在相同输出功率条件下,反激式开关电源的开关流过的电流峰值和有效值大于正激式、桥式、推挽式开关电源。为了获得更低的输出电压尖峰,通常的反激式开关电源工作在电感电流(变压器储能)断续状态,这就进一步增加了开关元件的电流额定。
开关电源的电路拓扑对输出整流滤波电容器影响也是非常大的,由于反激式开关电源的输出电流断续性,其交流分量需要由输出整流滤波电容器吸收,当电感电流断续时输出整流滤波电容器的需要吸收的纹波电流相对最大。
对应的输出整流二极管的电流波形如图1,输出滤波电容器的电流波形如图2。

图1 反激式开关电源的输出整流二极管的电流波形

图2 输出滤波电容器的电流波形
由图1可以得到流过输出整流二极管电流峰值与平均值、有效值的关系为如下。
流过输出整流器的峰值电流与平均值电流的关系:
(1)流过输出整流器的有效值电流与峰值值电流的关系:
(2)流过整流器的有效值电流与平均值电流的关系:
(3)式中:IrecM、Irecrms、IO、Dmax分别为流过输出整流器的峰值电流、有效值电流、平均值电流和输出整流二极管的最大导通占空比。
流过输出滤波电容器的电流有效值略小于流过输出整流器的有效值电流。
式(1)、(2)、(3)表明,随着输出整流器导通占空比的减小,相同输出电流平均值对应道德峰值电流、有效值电流随占空比的减小而增加。
在大多数情况下,反激式开关电源工作在变压器电流临界或断续状态。在变压器电流临界状态下,初级侧开关管导通占空比与输出整流器导通占空比相加为1。
在大多数情况下,反激式开关电源的输出整流器的最大导通占空比约为0.5。这样,流过输出整流器的电流峰值与输出平均值电流之间的关系为:
(4)有效值电流于输出电流平均值的关系为:
(5)2.设计实例与分析
某反激式开关电源的技术参数为:电路图拓扑:反激式;输入电压:85Vac"264Vac工作频率:65kHz ;输出:12V/5A;纹波电压:50mV;CLC滤波。
(1)第一级滤波电容器的选择
对于输出电流5A对应的峰值电流为20A、有效值电流为14.14A,其中大部分流入滤波电容器。按最高温度的纹波电流2倍选用电容器,滤波电容器的纹波电流之和至少要7A。
25V/1000μF低ESR铝电解电容器的额定纹波电流约为1A,需要7只并联。如果非要5只并联甚至4只并联,也是可以运行的,但是不具有长期可靠性。
25℃温度下,25V/1000μF低ESR铝电解电容器的ESR约为0.09Ω。7只并联对应的ESR为129mΩ、5只并联为180mΩ、4只并联为225mΩ。由电流变化在ESR上产生的峰值电压分别为2.59V、3.60V、4.50V。除此之外,滤波电容器的ESL还会在整流二极管开通时由于电流的跃变而产生感生电势,这个感生电势同样会加到滤波电容器上,因此,滤波电容器上的峰值电压将不只是上述的2.59V、3.60V、4.50V。其电压波形如图3。

图3 第一级滤波电容器的电压波形
很显然,2.59V、3.60V、4.50V是不能满足设计要求的,需要在第一级滤波电容器后面加上一级LC低通滤波器。
(2)第二极LC低通滤波器的设计与参数选择
第二级需要考虑的是如何将不能满足要求纹波电压经过LC滤波使其满足要求。通常滤波电感可以选择30"100μH,输出滤波电容器不仅要考虑输出纹波电压是否可以满足要求,还要考虑抑制负载电流的变化,在这里可以选择330"1000μF/25V。
射频工程师养成培训教程套装,助您快速成为一名优秀射频工程师...
天线设计工程师培训课程套装,资深专家授课,让天线设计不再难...
上一篇:整流二极管紧贴电路板安装不妥
下一篇:IGBT功率元件的应用及保护技术
射频和天线工程师培训课程详情>>

