- 易迪拓培训,专注于微波、射频、天线设计工程师的培养
新技术在开关电源中的应用
录入:edatop.com 点击:
随着电子技术的快速发展以及人们环保意识的不断增强,对电源产品在尺寸,效率,可靠性,寿命及舒适性方面的要求越来越高,传统的开关电源技术已经很难再满足这些要求。在70W - 500W交流-直流电源中,采用LLC谐振变换技术的开关电源效率要高于传统拓扑开关电源,因此LLC谐振变换技术在电源产品中的运用越来越广泛。
下图所示为一个典型的半桥LLC谐振变换器电路:

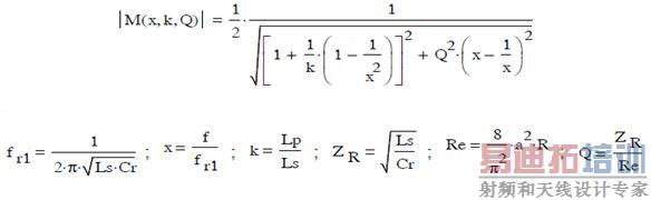
其等效电压传输关系为:

fr1 为谐振腔的谐振频率
x 为开关频率相对谐振频率的归一化值
k 为变压器励磁电感量与谐振电感量的比值
Zr 为谐振腔特征阻抗
Re 为等效的负载交流阻抗
Q 为品质因数
根据电压传输关系公式可以画出在不同变量条件下的电压传输关系曲线:

参考以上LLC谐振变换器的电压传输比曲线,可以总结出LLC变换器具有以下特点:
1.当变换器设计工作在蓝色区域(ZVS-零电压开关)时,LLC变换器一次侧开关管在全负载范围内实现零电压开通,开关管的开关损耗降至几乎为零。同时,二次侧的整流二极管可以实现零电流开关,几乎不存在反向恢复的问题,从而减少了损耗和对EMI的影响。
2.配合前级PFC电路,LLC变换器可以在宽负载范围内通过调节开关频率来可靠地稳定输出电压。同时,LLC变换器还可以依靠其电压增益调节能力的优势,在不增加输入电解电容容量的前提下,提供更长的保持时间。
3.由于LLC谐振变换器能够实现开关元器件的软开关,开关损耗低,为提高开关频率,减小磁性器件体积创造条件,进而可以保持效率高的前提下,实现开关电源的小型化,高功率密度化,在无风扇散热设计条件下,保持元器件的低温升,从而确保了电源的寿命和可靠性。

上图显示的是TDK-Lambda的基于LLC谐振变换技术的全新CUS350M系列电源,无风扇自然冷却式、350W交流-直流医疗电源,其满载效率最高可达94.7%,与传统拓扑的同类电源相比,约有5%左右的提升。
此外,CUS350M系列凭借新技术的应用,实现了1U高度的扁薄紧凑型设计,在自然冷却条件下达到8.7瓦/立方英寸的高功率密度,在业界处于领先水平,其小型化的设计使其适于更多的设备安装需求,自然冷却可以减少粉尘堆积造成的侵蚀,无风扇噪音为使用者营造安静、舒适的应用体验。
下图所示为一个典型的半桥LLC谐振变换器电路:

其等效电压传输关系为:

fr1 为谐振腔的谐振频率
x 为开关频率相对谐振频率的归一化值
k 为变压器励磁电感量与谐振电感量的比值
Zr 为谐振腔特征阻抗
Re 为等效的负载交流阻抗
Q 为品质因数
根据电压传输关系公式可以画出在不同变量条件下的电压传输关系曲线:

参考以上LLC谐振变换器的电压传输比曲线,可以总结出LLC变换器具有以下特点:
1.当变换器设计工作在蓝色区域(ZVS-零电压开关)时,LLC变换器一次侧开关管在全负载范围内实现零电压开通,开关管的开关损耗降至几乎为零。同时,二次侧的整流二极管可以实现零电流开关,几乎不存在反向恢复的问题,从而减少了损耗和对EMI的影响。
2.配合前级PFC电路,LLC变换器可以在宽负载范围内通过调节开关频率来可靠地稳定输出电压。同时,LLC变换器还可以依靠其电压增益调节能力的优势,在不增加输入电解电容容量的前提下,提供更长的保持时间。
3.由于LLC谐振变换器能够实现开关元器件的软开关,开关损耗低,为提高开关频率,减小磁性器件体积创造条件,进而可以保持效率高的前提下,实现开关电源的小型化,高功率密度化,在无风扇散热设计条件下,保持元器件的低温升,从而确保了电源的寿命和可靠性。

上图显示的是TDK-Lambda的基于LLC谐振变换技术的全新CUS350M系列电源,无风扇自然冷却式、350W交流-直流医疗电源,其满载效率最高可达94.7%,与传统拓扑的同类电源相比,约有5%左右的提升。
此外,CUS350M系列凭借新技术的应用,实现了1U高度的扁薄紧凑型设计,在自然冷却条件下达到8.7瓦/立方英寸的高功率密度,在业界处于领先水平,其小型化的设计使其适于更多的设备安装需求,自然冷却可以减少粉尘堆积造成的侵蚀,无风扇噪音为使用者营造安静、舒适的应用体验。
射频工程师养成培训教程套装,助您快速成为一名优秀射频工程师...
射频和天线工程师培训课程详情>>

