- 易迪拓培训,专注于微波、射频、天线设计工程师的培养
光耦合器的加速也可降低功耗
录入:edatop.com 点击:
影响标准光耦合器速度的主要因素是光电晶体管,其反应速度相对较慢。本文将在LED驱动端添加组件,以提升光耦合器的速度。
R1为原始LED电阻器,在增加额外电路之前使用。由于启动速度主要是由新加的电路决定,因此事实上R1的值可以高一些,从而有助于节省能源,并以功率较低的驱动器驱动LED。

图1:与简单地通过电阻器驱动LED相比,加速电路不仅增加了上升输入信号的传播速度,还在加速过程中降低了功耗。
开启加速设备(turn-on speed-up device)是一个射极跟随器(Emitter Follower)——NPN晶体管Q1。该射极跟随器的射极电阻分为低位值REL和高位值REH,与电容器C并联。当输入电压VIN大幅上升时,初始未充电的电容器C将暂时“短少(short)”REH。因此,流经LED的射极电流增加:

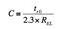
电流IE不应超过50 mA。VIN值出现阶跃时,电容器C随时间常数τ = RELC呈指数级充电。电容器C的初始值按照以下公式来计算:

其中,tr0为未充电的光耦合器输出的上升时间。
计算得出的电容值为13nF,导致输出电压VOUT超过正常值。因此,试验确定的电容器C最佳值应为1.5nF,此时输出电压VOUT仅超出正常值2%,几乎可以忽略不计。肖特基(Schottky)二极管D1和D2可协助电容器C快速放电,实现输入下降沿(input falling-edge),同时在Q1和LED的基极-射极连接处抑制反向偏压。
在Vcc= +5V,输入电压为0~+3V情况下对电路进行测试。结果为:开启延迟时间tdr = 0.5μs;完整开启时间ton = tdr + tr =2.8μs。对于无加速电路(R1 = 3.6kΩ)的光耦合器,开启延迟时间和完整开启时间分别为3.2μs和10.8μs。
由此可以得到以下结论:由于加速电路的存在,上升沿延迟时间缩短至未修改耦合器的六分之一,开启时间缩短至原有值的大约四分之一。注意:与IC1数据表上列出的5mA相比,得出这些结果的前提是把LED的正向电流降低至0.5mA。
R1为原始LED电阻器,在增加额外电路之前使用。由于启动速度主要是由新加的电路决定,因此事实上R1的值可以高一些,从而有助于节省能源,并以功率较低的驱动器驱动LED。

图1:与简单地通过电阻器驱动LED相比,加速电路不仅增加了上升输入信号的传播速度,还在加速过程中降低了功耗。
开启加速设备(turn-on speed-up device)是一个射极跟随器(Emitter Follower)——NPN晶体管Q1。该射极跟随器的射极电阻分为低位值REL和高位值REH,与电容器C并联。当输入电压VIN大幅上升时,初始未充电的电容器C将暂时“短少(short)”REH。因此,流经LED的射极电流增加:

电流IE不应超过50 mA。VIN值出现阶跃时,电容器C随时间常数τ = RELC呈指数级充电。电容器C的初始值按照以下公式来计算:

其中,tr0为未充电的光耦合器输出的上升时间。
计算得出的电容值为13nF,导致输出电压VOUT超过正常值。因此,试验确定的电容器C最佳值应为1.5nF,此时输出电压VOUT仅超出正常值2%,几乎可以忽略不计。肖特基(Schottky)二极管D1和D2可协助电容器C快速放电,实现输入下降沿(input falling-edge),同时在Q1和LED的基极-射极连接处抑制反向偏压。
在Vcc= +5V,输入电压为0~+3V情况下对电路进行测试。结果为:开启延迟时间tdr = 0.5μs;完整开启时间ton = tdr + tr =2.8μs。对于无加速电路(R1 = 3.6kΩ)的光耦合器,开启延迟时间和完整开启时间分别为3.2μs和10.8μs。
由此可以得到以下结论:由于加速电路的存在,上升沿延迟时间缩短至未修改耦合器的六分之一,开启时间缩短至原有值的大约四分之一。注意:与IC1数据表上列出的5mA相比,得出这些结果的前提是把LED的正向电流降低至0.5mA。
射频工程师养成培训教程套装,助您快速成为一名优秀射频工程师...
天线设计工程师培训课程套装,资深专家授课,让天线设计不再难...
上一篇:软开关设计:典型电路及软件代码
下一篇:如何设计兼顾效率与成本的太阳能系统
射频和天线工程师培训课程详情>>

