- 易迪拓培训,专注于微波、射频、天线设计工程师的培养
浅谈移动电源电路的设计
录入:edatop.com 点击:
近年来,由于便携式产品的普及化,如智能手机、平板电脑、笔记本电脑、MP3随身听等,几乎人人都使用这些便携式产品,但是当你出门在外正在使用智能手机打电话或使用平板电脑看影片时,电池突然没电了,常常让人觉得非常无奈。为避免外出时遇上智能手机或平板电脑没电的窘况,对于这些便携式产品来说,移动电源(Power Bank)几乎成为必备的配件。同时,随着锂离子电池相关技术的快速发展,使得移动电源的电池容量愈来愈大但体积却不增反减,大大提升了移动电源携带的便利性。
目前,移动电源本身除了追求愈来愈大的电池容量与仅可能轻薄小巧的外型外,其充电所需的时间长短与可释放出来的总电量多寡也为消费者选购时关心的重点。因此,如何设计充电时间短、转换效率高的移动电源电路,亦为移动电源产品设计上的重要课题。有鉴于此,本文将说明如何实现一体积小、效率高的移动电源电路。

图1 Charger IC + Boost IC 方案。

图2 MCU + Charger IC + Boost IC 方案。

图3 MCU + Combo IC 方案。
电路方案
目前移动电源的电路方案大致上可分为三种,第一种方案是Charger IC + Boost IC,此种方案利用Charger IC对移动电源的锂电池充电,Boost IC对移动装置放电,如图1所示。第二种方案是MCU + Charger IC + Boost IC,除了第一种方案的部分外,多了MCU对锂电池及输入输出电压作侦测,此种方案目前比较常见,如图2所示。第三种方案则是MCU + Combo IC,此种方案是将Charger IC及Boost IC整合成一颗IC,可以减少零件的数量,节省PCB空间,如图3所示。而本文将针对目前比较常见的第二种方案做详细介绍。
移动电源电路
这几年,随着便携式产品不断成长,移动电源的需求也持续增加,轻薄小巧、快速充电、转换效率高及高安全性等也成为消费者购买移动电源时的首要考虑,为了满足消费者的需求,许多公司都推出移动电源解决方案,在此我们以沛亨半导体所开发的AIC6511及AIC3420作为设计范例,提供给读者参考。
从上一节可以得知,一个完整的移动电源电路包含了电池充电管理IC、升压转换器IC及MCU,每个部分都会影响移动电源的整体效能,所以选用适当的IC是非常重要的。图4所示为本文所要介绍的移动电源电路,主要由AIC6511锂离子电池充电转换器、AIC3420升压转换器及MCU所组成。底下将针对所提出的移动电源电路做详细的说明。

图4 移动电源电路。
A. 锂离子电池充电转换器
锂离子电池是目前应用最广泛的可重复充电式电池,可将单颗锂电池用于低功率产品,也可以将多颗锂电池串并联得到更高电压与容量,例如移动电源就是将多颗锂电池并联来获得高容量。锂电池具有能量密度高、自放电率低、无记忆效应、寿命长、重量轻等优点,非常适合做为便携式产品的电力来源。
锂电池充电IC分为线性式及切换式两种,线性式充电IC的成本低,IC接脚数较少,只需要少数的被动组件。然而线性式充电IC有较大的功率损耗,若设计不好常会导致IC温度过高,且一般移动电源大多使用散热较差的塑料外壳,使得线性式充电IC无法提供较大的充电电流,因此线性式充电IC通常比较适合低容量锂离子电池应用。若希望在短时间之内将电池充饱,则必须要提高充电电流,此时可以考虑应用切换式充电IC。切换式充电IC利用开关的高频切换来达到能量的传递,可提供较大的充电电流,且具有高转换效率不会有过热现象,适合高容量电池的充电应用。
充电过程中,当电池电压上升到4.2V时,要立即停止充电,以避免电池过充而产生危险,而当电池放电时,电池电压如果降至2.5V以下,要立即停止放电,以免电池过放而减少电池的使用寿命。除此之外,锂电池在应用上,还会加上短路保护电路,防止锂电池因短路而造成危险。
锂电池对充电要求很高,需要精密的充电电路以保证充电的安全,尤其要求终止充电电压精度在额定值的±0.5%之内。目前锂电池充电最常采用三段充电法,即预先充电模式(Trickle Charge Mode)、定电流充电模式(Constant Current Charge Mode)、定电压充电模式(Constant Voltage Charge Mode)。充电IC在充电前会侦测电池的状态,若电池电压大于3V,将以定电流充电模式充电;若电池电压低于3V,则以预先充电模式(约10%的定电流充电模式充电电流) 充电,到接近终止电压时,改为定电压模式充电,此时电池电压几乎不变,但充电电流会持续下降,当充电电流降到某一值时(约10%的定电流充电模式充电电流),充电电流会被关闭,完成充电。图5所示为采用三段充电法的锂电池充电特性曲线。

图5 采用三段充电法的锂电池充电特性曲线。
B. 锂离子电池充电转换器
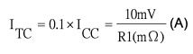
AIC6511是一个高度整合的切换式锂离子电池充电管理IC,具有高精度的电流及电压调节能力,适合使用在单颗锂电池的充电应用,当电池电压接近输入电压时,将会进入责任周期为100%的工作模式持续对电池进行充电,而其本身高达1.6MHz的切换频率,将有助减少外部零件的尺寸。此外,其也具备提供充电状态指示及电池移除侦测机制,支持USB mode及AC Adapter mode两种输入模式,最大可以输出2A的充电电流,充电电流可由外部电阻来决定。预先充电电流(Trickle Charge Current)可以由下列公式计算:

定电流充电电流(Constant Current Charge Current)可由下列公式计算:

当使用USB电源做为输入时,则可对输入电流做限制使输入电流可以低于USB电源所能提供的电流,避免USB电源进入过流保护,输入电流限制设定值的计算公式如下:

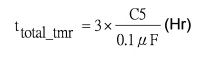
此外,安全定时器(Safety Timer),可避免因电池损坏时充电时间过长,造成危险。只要充电时间达到设定的安全计时时间,即便电池还未达到终止电压,充电IC也会关闭充电电流,停止充电。安全计时时间可以透过电容C5来设定,预先充电(Trickle Charge)模式下之安全计时时间可由下列公式计算:

定电流充电(Constant Current Charge) 模式下之安全计时时间则可由下列公式计算:

为避免电池高温充电,并提高安全性,IC透过负温度系数(NTC, Negative Temperature Coefficient)热敏电阻来侦测电池温度,当温度过高或过低时,IC会马上终止充电,只有在电池温度维持在安全范围内(通常是0~45℃)时,才会对电池进行充电。而为了防止电池放电到输入端,内建的休眠模式(Sleep Mode)功能,当输入端电压低于电池电压时, P-channel MOSFET Power Switch将会关闭以防止电池对充电IC或输入端进行放电。
另外,短路保护(Short Circuit Protection)功能、过电流保护(Over Current Protection)功能及过温度保护(Over Temperature Protection)功能,当输出发生短路时,短路保护功能启动,电感电流会被限制住且切换频率也会降低以减少损失;IC本身也会侦测流经内部功率开关的电流,当功率开关的电流过大时,过电流保护功能启动,限制住功率开关的电流不再往上增加,以保护内部的切换开关;此外,当IC结面温度达到150oC时,过温度保护功能将会启动,IC会停止充电,直到IC温度降至120oC,才回复充电。
C. 升压转换器与MCU
AIC3420是一个具轻载高效率的同步升压DC-DC转换器IC,最低输入启动电压为0.9V,可以使用单颗锂电池做为输入电源,最大输出电流可达2.1A,适合较大电流的应用。当负载操作在轻载时,IC会切换至PSM (Pulse Skipping Mode) 模式降低待机的功率损失,提升轻载效率。True Shutdown功能,使IC 进入Shutdown模式时,输出电压降为0V。而零电流侦测(Zero Current Detection)功能让电感电流不会有倒灌现象,可大幅改善轻载效率,最高效率可达94%,对移动电源来说可以更有效率的放电。
另外,柔性启动(Soft Start)功能以限制启动时输出电压的过冲(Overshoot)及涌浪电流(Inrush Current),避免IC及零件的损坏。而AIC3420本身也具有短路保护、过电流保护、过温度保护及过电压保护功能。
本文所介绍的移动电源电路中,MCU的主要功能为输入电压侦测、输出电压侦测、电池电量状况显示以及输出过电流保护等。电路中,LED将显示电池的电量,可以让使用者知道电池的电量状况。而当输入及输出电压过高或过低时,MCU会送出讯号关闭IC;另外,当发生输出过电流时,MCU也会关闭IC来保护电池及IC。
结论
便携式产品的蓬勃发展,使得移动电源的功能及规格要求也日渐提升,因此如何有效率的充放电也成为各家厂商发展的主流。由于切换式充电器在应用上较线性式充电器广泛,也具有更高转换效率,适合高容量锂电池的应用。因此本文提出一个以切换式充电IC来取代线性式充电IC的移动电源方案,来提高充电电流,缩短充电时间,并使充电电路几乎不会有过热的问题发生。
目前,移动电源本身除了追求愈来愈大的电池容量与仅可能轻薄小巧的外型外,其充电所需的时间长短与可释放出来的总电量多寡也为消费者选购时关心的重点。因此,如何设计充电时间短、转换效率高的移动电源电路,亦为移动电源产品设计上的重要课题。有鉴于此,本文将说明如何实现一体积小、效率高的移动电源电路。

图1 Charger IC + Boost IC 方案。

图2 MCU + Charger IC + Boost IC 方案。

图3 MCU + Combo IC 方案。
电路方案
目前移动电源的电路方案大致上可分为三种,第一种方案是Charger IC + Boost IC,此种方案利用Charger IC对移动电源的锂电池充电,Boost IC对移动装置放电,如图1所示。第二种方案是MCU + Charger IC + Boost IC,除了第一种方案的部分外,多了MCU对锂电池及输入输出电压作侦测,此种方案目前比较常见,如图2所示。第三种方案则是MCU + Combo IC,此种方案是将Charger IC及Boost IC整合成一颗IC,可以减少零件的数量,节省PCB空间,如图3所示。而本文将针对目前比较常见的第二种方案做详细介绍。
移动电源电路
这几年,随着便携式产品不断成长,移动电源的需求也持续增加,轻薄小巧、快速充电、转换效率高及高安全性等也成为消费者购买移动电源时的首要考虑,为了满足消费者的需求,许多公司都推出移动电源解决方案,在此我们以沛亨半导体所开发的AIC6511及AIC3420作为设计范例,提供给读者参考。
从上一节可以得知,一个完整的移动电源电路包含了电池充电管理IC、升压转换器IC及MCU,每个部分都会影响移动电源的整体效能,所以选用适当的IC是非常重要的。图4所示为本文所要介绍的移动电源电路,主要由AIC6511锂离子电池充电转换器、AIC3420升压转换器及MCU所组成。底下将针对所提出的移动电源电路做详细的说明。

图4 移动电源电路。
A. 锂离子电池充电转换器
锂离子电池是目前应用最广泛的可重复充电式电池,可将单颗锂电池用于低功率产品,也可以将多颗锂电池串并联得到更高电压与容量,例如移动电源就是将多颗锂电池并联来获得高容量。锂电池具有能量密度高、自放电率低、无记忆效应、寿命长、重量轻等优点,非常适合做为便携式产品的电力来源。
锂电池充电IC分为线性式及切换式两种,线性式充电IC的成本低,IC接脚数较少,只需要少数的被动组件。然而线性式充电IC有较大的功率损耗,若设计不好常会导致IC温度过高,且一般移动电源大多使用散热较差的塑料外壳,使得线性式充电IC无法提供较大的充电电流,因此线性式充电IC通常比较适合低容量锂离子电池应用。若希望在短时间之内将电池充饱,则必须要提高充电电流,此时可以考虑应用切换式充电IC。切换式充电IC利用开关的高频切换来达到能量的传递,可提供较大的充电电流,且具有高转换效率不会有过热现象,适合高容量电池的充电应用。
充电过程中,当电池电压上升到4.2V时,要立即停止充电,以避免电池过充而产生危险,而当电池放电时,电池电压如果降至2.5V以下,要立即停止放电,以免电池过放而减少电池的使用寿命。除此之外,锂电池在应用上,还会加上短路保护电路,防止锂电池因短路而造成危险。
锂电池对充电要求很高,需要精密的充电电路以保证充电的安全,尤其要求终止充电电压精度在额定值的±0.5%之内。目前锂电池充电最常采用三段充电法,即预先充电模式(Trickle Charge Mode)、定电流充电模式(Constant Current Charge Mode)、定电压充电模式(Constant Voltage Charge Mode)。充电IC在充电前会侦测电池的状态,若电池电压大于3V,将以定电流充电模式充电;若电池电压低于3V,则以预先充电模式(约10%的定电流充电模式充电电流) 充电,到接近终止电压时,改为定电压模式充电,此时电池电压几乎不变,但充电电流会持续下降,当充电电流降到某一值时(约10%的定电流充电模式充电电流),充电电流会被关闭,完成充电。图5所示为采用三段充电法的锂电池充电特性曲线。

图5 采用三段充电法的锂电池充电特性曲线。
B. 锂离子电池充电转换器
AIC6511是一个高度整合的切换式锂离子电池充电管理IC,具有高精度的电流及电压调节能力,适合使用在单颗锂电池的充电应用,当电池电压接近输入电压时,将会进入责任周期为100%的工作模式持续对电池进行充电,而其本身高达1.6MHz的切换频率,将有助减少外部零件的尺寸。此外,其也具备提供充电状态指示及电池移除侦测机制,支持USB mode及AC Adapter mode两种输入模式,最大可以输出2A的充电电流,充电电流可由外部电阻来决定。预先充电电流(Trickle Charge Current)可以由下列公式计算:

定电流充电电流(Constant Current Charge Current)可由下列公式计算:

当使用USB电源做为输入时,则可对输入电流做限制使输入电流可以低于USB电源所能提供的电流,避免USB电源进入过流保护,输入电流限制设定值的计算公式如下:

此外,安全定时器(Safety Timer),可避免因电池损坏时充电时间过长,造成危险。只要充电时间达到设定的安全计时时间,即便电池还未达到终止电压,充电IC也会关闭充电电流,停止充电。安全计时时间可以透过电容C5来设定,预先充电(Trickle Charge)模式下之安全计时时间可由下列公式计算:

定电流充电(Constant Current Charge) 模式下之安全计时时间则可由下列公式计算:

为避免电池高温充电,并提高安全性,IC透过负温度系数(NTC, Negative Temperature Coefficient)热敏电阻来侦测电池温度,当温度过高或过低时,IC会马上终止充电,只有在电池温度维持在安全范围内(通常是0~45℃)时,才会对电池进行充电。而为了防止电池放电到输入端,内建的休眠模式(Sleep Mode)功能,当输入端电压低于电池电压时, P-channel MOSFET Power Switch将会关闭以防止电池对充电IC或输入端进行放电。
另外,短路保护(Short Circuit Protection)功能、过电流保护(Over Current Protection)功能及过温度保护(Over Temperature Protection)功能,当输出发生短路时,短路保护功能启动,电感电流会被限制住且切换频率也会降低以减少损失;IC本身也会侦测流经内部功率开关的电流,当功率开关的电流过大时,过电流保护功能启动,限制住功率开关的电流不再往上增加,以保护内部的切换开关;此外,当IC结面温度达到150oC时,过温度保护功能将会启动,IC会停止充电,直到IC温度降至120oC,才回复充电。
C. 升压转换器与MCU
AIC3420是一个具轻载高效率的同步升压DC-DC转换器IC,最低输入启动电压为0.9V,可以使用单颗锂电池做为输入电源,最大输出电流可达2.1A,适合较大电流的应用。当负载操作在轻载时,IC会切换至PSM (Pulse Skipping Mode) 模式降低待机的功率损失,提升轻载效率。True Shutdown功能,使IC 进入Shutdown模式时,输出电压降为0V。而零电流侦测(Zero Current Detection)功能让电感电流不会有倒灌现象,可大幅改善轻载效率,最高效率可达94%,对移动电源来说可以更有效率的放电。
另外,柔性启动(Soft Start)功能以限制启动时输出电压的过冲(Overshoot)及涌浪电流(Inrush Current),避免IC及零件的损坏。而AIC3420本身也具有短路保护、过电流保护、过温度保护及过电压保护功能。
本文所介绍的移动电源电路中,MCU的主要功能为输入电压侦测、输出电压侦测、电池电量状况显示以及输出过电流保护等。电路中,LED将显示电池的电量,可以让使用者知道电池的电量状况。而当输入及输出电压过高或过低时,MCU会送出讯号关闭IC;另外,当发生输出过电流时,MCU也会关闭IC来保护电池及IC。
结论
便携式产品的蓬勃发展,使得移动电源的功能及规格要求也日渐提升,因此如何有效率的充放电也成为各家厂商发展的主流。由于切换式充电器在应用上较线性式充电器广泛,也具有更高转换效率,适合高容量锂电池的应用。因此本文提出一个以切换式充电IC来取代线性式充电IC的移动电源方案,来提高充电电流,缩短充电时间,并使充电电路几乎不会有过热的问题发生。
射频工程师养成培训教程套装,助您快速成为一名优秀射频工程师...
天线设计工程师培训课程套装,资深专家授课,让天线设计不再难...
上一篇:优化低成本BJT电源开关方案
满足DoE和CoC新效率标准
下一篇:用于PLL/VCO和时钟IC供电的超低噪声线性调节器
射频和天线工程师培训课程详情>>

