- 易迪拓培训,专注于微波、射频、天线设计工程师的培养
电源小贴士:教你为波特 设置频率响应分析仪
录入:edatop.com 点击:
环路增益是描述开关模式电源特性的一个重要参数。使用频率分析仪来测定环路增益能让您稳定电源并优化瞬态响应。
在测定波特图之前,您需先断开环路并在断点处插入一个小型电阻器,如图1所示。该频率分析仪有一个信号源,可跨该小型电阻器注入交流(AC)干扰信号vds。

图1:典型的波特图测定设置
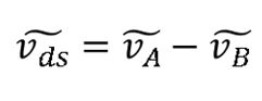
其结果是,AC波动出现在跨该断点的两个节点(A和B)处。该频率分析仪具有两个接收器,能测量节点A和节点B处的信号vA和vB。您可用方程式1计算出该系统环路增益TV:

方程式1
为了准确测量TV,该分析仪必须准确测量vA和vB。频率分析仪接收器已限制了信号测量分辨率。在本文中,笔者将用来自AP Instruments公司的AP300(一款被广泛使用的频率响应分析仪)作为一个设置示例。图2展示了AP300的接收器技术规格,图3则展示了信号源技术规格。

图2:AP300频率响应分析仪的接收器技术规格(图片来源:AP Instruments公司)

图3 AP300频率响应分析仪的信号源技术规格(图片来源:AP Instruments公司)
干扰注入信号幅度
根据接收器技术规格,可测量的信号应大于5μV。为准确测量vA和vB的电压,这两种信号的幅度均应大于该频率响应分析仪可测量的信号振幅。
vA和vB的电压与干扰注入信号及环路增益本身都有关联(方程式2):

方程式2
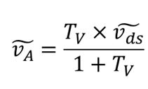
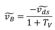
求解方程式1和方程式2可得出方程式3和方程式4:

方程式3

方程式4
当频率比交叉频率低时,环路增益的量值|TV|会远远大于1。信号vB接近于vds/|TV|。为确保信号vB/大于5μV的可测量幅度,干扰信号vds应大于5μV × |TV|。具备严格调节功能的电源转换器通常拥有大于60dB的直流(DC)增益。根据经验法则,vds在100Hz的频率下起始值应为50mV。
另一项重要技术规格是信号源的输出阻抗。AP300具有50Ω的输出阻抗。为确保提供足够的电能,最好在断点处插入一个50Ω的匹配电阻器。如果您是为补偿信号强度的损耗而调整注入信号幅度,那么使用较小的电阻器是可以接受的,但不要选择太小的电阻器。笔者建议使用这样的电阻器 —— 其电阻值大于该频率响应分析仪信号源输出端口输出阻抗的五分之一。
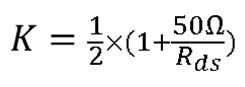
如果您插入了一个小型电阻器,那么请用方程式5来调整干扰信号幅度。例如,对一个20Ω的电阻器而言,频率为100Hz时vds的起始值应为88mV。

方程式5
在整个频率范围内都保持较大的恒定干扰信号幅度并非上策。随着频率的增加,|TV|的量值应减小,而这会使信号vsub>B增大。对有些应用来说,在交叉频率下的较大干扰可能导致误差放大器或占空比饱和。为使信号尽可能小,干扰信号也应随频率减少。
图4展示了AP300接口,该接口提供了一个可编程信号源。该图中的绿色迹线显示了在频率范围内的干扰信号幅度。

图4:AP300波特图的图形用户界面(GUI)
图5展示了采用25mV的恒定干扰信号测定的波特图。这幅测定的波特图显示,在100Hz的频率下增益仅为50dB;而笔者从高性能控制器TPS53661处估算,在100Hz的频率下增益超过70dB。对稳压器输出DC调节功能而言,DC增益是一项重要指标。

图5:具有TPS53661控制器的步降型转换器的波特图(采用了25mV的恒定干扰信号)
笔者对干扰信号作了相应的调整,并再次测定了波特图。测得的波特图显示,频率为100Hz时增益要高得多,如图6所示。

图6:具有TPS53661控制器的步降型转换器的波特图(采用了可编程干扰信号)
测量用中频(IF)带宽的选择
中频(IF)带宽(可减小IF接收器带宽)能减少随机噪声对测量的影响。这使该频率分析器需要更长的时间来完成测定任务。
图6展示了采用不同信号带宽时测量结果之间的差异。用10Hz的带宽测定的波特图非常干净平滑。用100Hz的带宽测定的波特图在频率低于1kHz时则显示出很多毛刺。对于交叉频率低于10Hz的应用,笔者建议采用低于10Hz的IF带宽,以获得干净的波特图。

图7:采用不同测量带宽的波特图
设置幅度恰当的干扰信号对准确测定波特图至关重要。本文为工程师提供了可估算适当干扰信号幅度的方程式。对于具有低交叉频率的应用,IF带宽应该相应地减小,以提供干净的波德图和精确的相位裕度。
在测定波特图之前,您需先断开环路并在断点处插入一个小型电阻器,如图1所示。该频率分析仪有一个信号源,可跨该小型电阻器注入交流(AC)干扰信号vds。

图1:典型的波特图测定设置
其结果是,AC波动出现在跨该断点的两个节点(A和B)处。该频率分析仪具有两个接收器,能测量节点A和节点B处的信号vA和vB。您可用方程式1计算出该系统环路增益TV:

方程式1
为了准确测量TV,该分析仪必须准确测量vA和vB。频率分析仪接收器已限制了信号测量分辨率。在本文中,笔者将用来自AP Instruments公司的AP300(一款被广泛使用的频率响应分析仪)作为一个设置示例。图2展示了AP300的接收器技术规格,图3则展示了信号源技术规格。

图2:AP300频率响应分析仪的接收器技术规格(图片来源:AP Instruments公司)

图3 AP300频率响应分析仪的信号源技术规格(图片来源:AP Instruments公司)
干扰注入信号幅度
根据接收器技术规格,可测量的信号应大于5μV。为准确测量vA和vB的电压,这两种信号的幅度均应大于该频率响应分析仪可测量的信号振幅。
vA和vB的电压与干扰注入信号及环路增益本身都有关联(方程式2):

方程式2
求解方程式1和方程式2可得出方程式3和方程式4:

方程式3

方程式4
当频率比交叉频率低时,环路增益的量值|TV|会远远大于1。信号vB接近于vds/|TV|。为确保信号vB/大于5μV的可测量幅度,干扰信号vds应大于5μV × |TV|。具备严格调节功能的电源转换器通常拥有大于60dB的直流(DC)增益。根据经验法则,vds在100Hz的频率下起始值应为50mV。
另一项重要技术规格是信号源的输出阻抗。AP300具有50Ω的输出阻抗。为确保提供足够的电能,最好在断点处插入一个50Ω的匹配电阻器。如果您是为补偿信号强度的损耗而调整注入信号幅度,那么使用较小的电阻器是可以接受的,但不要选择太小的电阻器。笔者建议使用这样的电阻器 —— 其电阻值大于该频率响应分析仪信号源输出端口输出阻抗的五分之一。
如果您插入了一个小型电阻器,那么请用方程式5来调整干扰信号幅度。例如,对一个20Ω的电阻器而言,频率为100Hz时vds的起始值应为88mV。

方程式5
在整个频率范围内都保持较大的恒定干扰信号幅度并非上策。随着频率的增加,|TV|的量值应减小,而这会使信号vsub>B增大。对有些应用来说,在交叉频率下的较大干扰可能导致误差放大器或占空比饱和。为使信号尽可能小,干扰信号也应随频率减少。
图4展示了AP300接口,该接口提供了一个可编程信号源。该图中的绿色迹线显示了在频率范围内的干扰信号幅度。

图4:AP300波特图的图形用户界面(GUI)
图5展示了采用25mV的恒定干扰信号测定的波特图。这幅测定的波特图显示,在100Hz的频率下增益仅为50dB;而笔者从高性能控制器TPS53661处估算,在100Hz的频率下增益超过70dB。对稳压器输出DC调节功能而言,DC增益是一项重要指标。

图5:具有TPS53661控制器的步降型转换器的波特图(采用了25mV的恒定干扰信号)
笔者对干扰信号作了相应的调整,并再次测定了波特图。测得的波特图显示,频率为100Hz时增益要高得多,如图6所示。

图6:具有TPS53661控制器的步降型转换器的波特图(采用了可编程干扰信号)
测量用中频(IF)带宽的选择
中频(IF)带宽(可减小IF接收器带宽)能减少随机噪声对测量的影响。这使该频率分析器需要更长的时间来完成测定任务。
图6展示了采用不同信号带宽时测量结果之间的差异。用10Hz的带宽测定的波特图非常干净平滑。用100Hz的带宽测定的波特图在频率低于1kHz时则显示出很多毛刺。对于交叉频率低于10Hz的应用,笔者建议采用低于10Hz的IF带宽,以获得干净的波特图。

图7:采用不同测量带宽的波特图
设置幅度恰当的干扰信号对准确测定波特图至关重要。本文为工程师提供了可估算适当干扰信号幅度的方程式。对于具有低交叉频率的应用,IF带宽应该相应地减小,以提供干净的波德图和精确的相位裕度。
射频工程师养成培训教程套装,助您快速成为一名优秀射频工程师...
射频和天线工程师培训课程详情>>

