- 易迪拓培训,专注于微波、射频、天线设计工程师的培养
被忽视已久的新能源发电杀手
录入:edatop.com 点击:
摘要:
根据已经探明的储量,全球石油、天然气的可开采年限分别为41年和65年。人类面临着严重的能源危机,新能源光伏发电将拯救人类。曾经被忽视已久的新能源发电杀手,是时候来仔细了解一下了!
新能源发电是未来大趋势
现代社会发展中,经济、能源、环保是困扰全世界的三大问题。随着工业化推进和人口增长,世界能源的消耗日益增加。根据已经探明的储量,全球石油、天然气的可开采年限分别为41年和65年。为了应对化石燃料能源逐渐短缺的局面,大力开发可再生能源已刻不容缓。各种新能源中太阳能能量巨大,非枯竭,是国际社会公认的理想替代能源。

图1 光伏发电现场
太阳能光伏并网发电系统展示
在太阳光的作用下,光伏阵列会产生直流电。为了将电能输入电网,需要通过功率变换装置,将直流功率变换为交流功率,并且经过并网滤波器的作用,提高并网电流质量。

图2 光伏发电系统原理
光伏并网杀手“直流注入”的产生原因
光伏并网算法的完成需要实时采样并网电流、电网电压等正弦量,然而采样所用到的霍尔电流电压互感器、后级的模拟放大电路都存在一定的非线性特性,输出与输入信号的关系不是一条具有固定斜率的直线。对于输入的正弦波形,输入信号幅度不同,放大倍数会不同,这将导致所测量的正弦波形发生畸变,产生直流分量,俗称直流注入。
直流注入所带来的危害
直流注入主要对配电网中变压器、电流时漏电断路器、电流型变压器、计量仪表等造成不利影响。由于这些设备中都有磁芯,直流分量的存在容易造成磁路的饱和,引起电流式漏电断路器误动作,变压器或互感器饱和、发热、产生谐波和噪音等,导致整个系统的运行故障,甚至瘫痪。

图3 被烧毁的变压器
直流分量的测量和计算
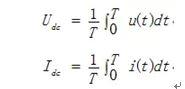
IEC61727中规定,在任何状态下,光伏系统注入电网交流接口的直流电流不应大于逆变器输出电流的1%。直流分量的测量原理是针对被测信号作FFT分析,可以准确计算出频谱中第0次谐波分量,即直流分量。

广州致远电子的在线式电能质量监测装置E8000,可以准确直观地测出直流分量,测量精度高达0.1%,可以完全满足光伏发电现场的精确测量需求。

图4 E8000现场实测显示

图5 E8000实物展示
直流注入问题的解决方法
要解决直流注入的问题,还是要从这个问题的原理出发。常用的方法有直流分量隔离法,以及检测后反向补偿法。那么,在实际应用中,要怎么操作呢 小编再给大家介绍一种简单易行的操作方案,那就是采用能够抑制直流注入的半桥逆变器。无论半桥逆变器中的开关器件处于何种状态,并网电流始终会经过直流侧电容,使直流分量被电容隔离,从而达到消除直流分量的目的。

图6 半桥逆变器拓扑
根据已经探明的储量,全球石油、天然气的可开采年限分别为41年和65年。人类面临着严重的能源危机,新能源光伏发电将拯救人类。曾经被忽视已久的新能源发电杀手,是时候来仔细了解一下了!
新能源发电是未来大趋势
现代社会发展中,经济、能源、环保是困扰全世界的三大问题。随着工业化推进和人口增长,世界能源的消耗日益增加。根据已经探明的储量,全球石油、天然气的可开采年限分别为41年和65年。为了应对化石燃料能源逐渐短缺的局面,大力开发可再生能源已刻不容缓。各种新能源中太阳能能量巨大,非枯竭,是国际社会公认的理想替代能源。

图1 光伏发电现场
太阳能光伏并网发电系统展示
在太阳光的作用下,光伏阵列会产生直流电。为了将电能输入电网,需要通过功率变换装置,将直流功率变换为交流功率,并且经过并网滤波器的作用,提高并网电流质量。

图2 光伏发电系统原理
光伏并网杀手“直流注入”的产生原因
光伏并网算法的完成需要实时采样并网电流、电网电压等正弦量,然而采样所用到的霍尔电流电压互感器、后级的模拟放大电路都存在一定的非线性特性,输出与输入信号的关系不是一条具有固定斜率的直线。对于输入的正弦波形,输入信号幅度不同,放大倍数会不同,这将导致所测量的正弦波形发生畸变,产生直流分量,俗称直流注入。
直流注入所带来的危害
直流注入主要对配电网中变压器、电流时漏电断路器、电流型变压器、计量仪表等造成不利影响。由于这些设备中都有磁芯,直流分量的存在容易造成磁路的饱和,引起电流式漏电断路器误动作,变压器或互感器饱和、发热、产生谐波和噪音等,导致整个系统的运行故障,甚至瘫痪。

图3 被烧毁的变压器
直流分量的测量和计算
IEC61727中规定,在任何状态下,光伏系统注入电网交流接口的直流电流不应大于逆变器输出电流的1%。直流分量的测量原理是针对被测信号作FFT分析,可以准确计算出频谱中第0次谐波分量,即直流分量。

广州致远电子的在线式电能质量监测装置E8000,可以准确直观地测出直流分量,测量精度高达0.1%,可以完全满足光伏发电现场的精确测量需求。

图4 E8000现场实测显示

图5 E8000实物展示
直流注入问题的解决方法
要解决直流注入的问题,还是要从这个问题的原理出发。常用的方法有直流分量隔离法,以及检测后反向补偿法。那么,在实际应用中,要怎么操作呢 小编再给大家介绍一种简单易行的操作方案,那就是采用能够抑制直流注入的半桥逆变器。无论半桥逆变器中的开关器件处于何种状态,并网电流始终会经过直流侧电容,使直流分量被电容隔离,从而达到消除直流分量的目的。

图6 半桥逆变器拓扑
射频工程师养成培训教程套装,助您快速成为一名优秀射频工程师...
射频和天线工程师培训课程详情>>

