- 易迪拓培训,专注于微波、射频、天线设计工程师的培养
如何区分有效值和整流平均值
录入:edatop.com 点击:
西游记中孙悟空和六耳猕猴真假难辨,着实为难了唐僧和各路神仙,最后还是靠佛祖慧眼识金。在电子工程上也有一对兄弟,一个叫真有效值(RMS)、一个叫整流平均值(RMN)。看完这篇文章,其实它们比真假美猴王容易区分多了。
一、真有效值的推导
真有效值简单而言即代表此一交流电相当于多大数值的直流电所做的功,一真有效值为10V的交流电与一10V的直流电对相同的负载在相同的时间下所做的功相同。
这个电压即为交流电的有效值,因其计算过程为先将周期函数平方,再积分求出面积除以周期(即计算平均值的意思),最后开根号,所以又称均方根值,简称RMS。
二、整流平均值的推导
整流平均值简单而言即代表此一交流电在全波整流后相同时间内波形围出的面积与多大数值直流围出的面积一致。
三、真有效值和整流平均值的异同
在西游记中唐僧的紧箍咒、天王的照妖镜都不能分辨出真假美猴王。那么我们平常所接触到的各类电信号是否能区分真有效值和整流平均值呢
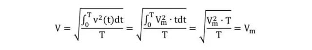
首先说一说方波,假定幅值是。按照上文所述,在计算有效值时带入公式:
在计算整流平均值时,由于做了全波整流处理,幅值是V_m的方波已经整流成为幅值是V_m的直流电,故整流平均值也为V_m。也就是说方波信号的真有效值和整流平均值是相等的。
图1 方波波形
下面再说一说正弦信号,假设一个标准正弦电压为V_msin(t)、周期T为π,带入两个公式分别得到
真有效值:
整流平均值:
可见对于正弦交流电,整流平均值不等于真有效值。
图2 正弦波波形
四、总结
可见大多数电信号的真有效值和整流平均值并不相等,当信号被整流平均后,其交流分量都被过滤掉了,因此损失了能量。所以整流平均值一般小于真有效值。说到这里相信读者朋友们再也不会分不清这对真假美猴王了。
一、真有效值的推导
真有效值简单而言即代表此一交流电相当于多大数值的直流电所做的功,一真有效值为10V的交流电与一10V的直流电对相同的负载在相同的时间下所做的功相同。
这个电压即为交流电的有效值,因其计算过程为先将周期函数平方,再积分求出面积除以周期(即计算平均值的意思),最后开根号,所以又称均方根值,简称RMS。
二、整流平均值的推导
整流平均值简单而言即代表此一交流电在全波整流后相同时间内波形围出的面积与多大数值直流围出的面积一致。
三、真有效值和整流平均值的异同
在西游记中唐僧的紧箍咒、天王的照妖镜都不能分辨出真假美猴王。那么我们平常所接触到的各类电信号是否能区分真有效值和整流平均值呢
首先说一说方波,假定幅值是。按照上文所述,在计算有效值时带入公式:
在计算整流平均值时,由于做了全波整流处理,幅值是V_m的方波已经整流成为幅值是V_m的直流电,故整流平均值也为V_m。也就是说方波信号的真有效值和整流平均值是相等的。
图1 方波波形
下面再说一说正弦信号,假设一个标准正弦电压为V_msin(t)、周期T为π,带入两个公式分别得到
真有效值:
整流平均值:
可见对于正弦交流电,整流平均值不等于真有效值。
图2 正弦波波形
四、总结
可见大多数电信号的真有效值和整流平均值并不相等,当信号被整流平均后,其交流分量都被过滤掉了,因此损失了能量。所以整流平均值一般小于真有效值。说到这里相信读者朋友们再也不会分不清这对真假美猴王了。
射频工程师养成培训教程套装,助您快速成为一名优秀射频工程师...
射频和天线工程师培训课程详情>>

