- 易迪拓培训,专注于微波、射频、天线设计工程师的培养
详解怎样选择升压转换器电感值
仅一个电池可能无法为复杂系统提供正常工作所需的所有电压轨。汽车LED驱动器、音频放大器以及电信等应用需要升压转换器将较低输入电压转换为较高输出电压。要确定应该将转换器的工作模式设计成连续传导模式 (CCM)、非连续传导模式 (DCM) 还是二者的结合,这对于升压转换器设计人员来说可能不太明确。
升压转换器的形状和尺寸多种多样,所支持的电源等级和升压比率非常广泛。这些要求决定了升压转换器最适合在CCM下工作,还是在DCM下工作。在DCM下,电感器电流在 FET 导通时开始从零升高,并在下一个转换周期到来之前完全放电归零。但在非同步 CCM 升压情况下,无论电流是在升高、在下降,还是在将电感器储存的能量释放到输出电容器和负载中,电感器电流始终大于零。
在CCM下,占空比对负载而言是恒定的,但会随输入电压变化而变化。在大多数CCM设计中,当低于某一最低负载时,工作模式会转换为DCM,因为电感器电流在下一个转换周期到来之前最终会降低至零。
在大多数情况下,高功率升压转换器工作在CCM下,而低功率升压则在DCM下完成。这是因为CCM允许较低峰值电流流过整个电路,通常会带来较低电路损耗。但可能在高电压升压转换的输出整流器中也有例外,例如在PFC中,反向恢复电流会导致更多损耗。这种损耗通常可采用高质量(快速)整流器进行处理。
如果在DCM下工作,会出现在CCM模式下两倍的峰值电感器电流,但如果故意减小电感值,则该电流可能还会高很多。这些更高电流不仅可增大输入输出电容器中的均方根电流,而且还可增加 FET 中的开关损耗,因此需要更大(或更多)的组件来应对附加应力。单这一项不足通常就能掩盖 DCM 在高功率下提供的其它优势。
尽管电感器均方根电流在 DCM 下更高,但其线阻通常会低很多,因此铜损耗往往与 CCM 相同或更低。不过,DCM 下的核心损耗在高功率等级下更大。有时候可能需要更大的核心来处理这些增加的损耗,这会使经常让人振奋的"更小电感器尺寸"优势黯然失色。DCM 能真正发挥优势的地方是较低功率等级,这里电容器和 FET 中增加的应力不一定需要较大组件,采用较小电感器即可。
DCM的一个额外优势是在以高升压比率工作时(此时CCM工作需要大量的导通时间),可通过减小电感值来缩短导通时间(伴有更高峰值电流)。这非常好,因为控制器经常会达到最大可控制导通时间(或最小关断时间)限值,跳过脉冲。这样,设计人员可根据控制器的可工作范围对导通和关断时间进行微调。此外,DCM 的控制环路表现要优于CCM,因为没有右半平面零点,其可转换为优异的瞬态性能。
有时候可通过减小电感值将RHPZ的影响降到最低,我们可将RHPZ推到影响较小的更高频率位置。无论在轻负载、启动还是在瞬态条件下,所有CCM升压都可在一定条件下以 DCM 模式工作。这完全可以接受,但应该搞清楚出现这种情况时的条件。
图 1 是电感方程式(方程 1)中反向升压比率 (VIN/VOUT) 与占空比 (D×(1-D)²) 的比较图。该项目与 CCM 升压转换器中所需的电感成正比。本图中的峰值出现在 VIN/VOUT 比值为 2/3 时或升压比率 (VOUT/VIN) 为 1.5 时。这可能是有些不太直观的结果。它的意思是,在采用变化输入电压的设计中,电路必须在 VIN/VOUT 比率的一个区段间工作。如果该范围非常广泛而且该区段包含图 1 中的峰值,那就应该在 2/3 的 VIN/VOUT 比率位置计算电感。如果该区段不包含 2/3 点,那它就应该在其相对峰值比率处进行设计。

图 1.CCM 所需的最大电感出现在 VIN/VOUT = 2/3 时

方程 1
图 2 是汽车 LED 驱动器应用,其采用控制器调节输出电流,而不是固定输出电压。该设计电路在 0.27 至 0.97 的区段间工作,如图 1 中虚线所示。应在 2/3 的比率位置计算其电感。LED 负载电流是恒定的,因此要选择所需的电感,就得选择低于实际负载电流的设计负载电流。只要实际负载电流大于这一所选等级,转换器就会在 CCM 下工作。

图 2.LED 升压转换器设计示例始终在 CCM 下工作,负载恒定
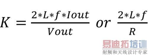
在本示例中,LED 电流为 0.22A,选择了 0.15A 的临界传导等级,这就意味着转换器应始终在 CCM 下工作。该等级可在最大限度降低所需电感与确保 CCM 工作之间实现良好平衡。对于该设计,这相当于是 68uH 的计算所得电感。要证实该电感是否正确,可将图 [2] 的 D(1-D)2 项指定为常数 K。将该常数代入方程 1 并进行计算,可通过方程 2 计算出 K 值。我们可使用 K 的计算值来确定工作边界。

方程 2
图 3 与图 1 相比稍有不同,横坐标变成了占空比,而不是原来的 VIN/VOUT。图中显示了设计示例(采用 68uH 电感器)的 K 计算值以及 0.15A 的降低负载电流。我们可以看到,电路工作一直处于该曲线上方,这说明在所有输出电压下电路将始终在 CCM 下工作。但电路实际可将电流调节为 0.22A,因此 K 的典型值接近 0.23。这明显高于该曲线而且更加深入 CCM,因此可提供所需的裕量。

图 3.占空比可影响升压转换器的工作模式
正如另一个可形象展示意外工作情况的设计点示例所示,必须考虑在改用 33uH 电感器时会出现的情况。如果该值通过 VIN 最大值或 VIN 最小值计算,而不是通过与图 1 峰值有关的 VIN 计算,就可对其进行选择。由于电感为 33uH,因此 K 的对应值等于 0.11,如图 3 所示。在 0.16 与 0.55(分别对应 28VIN 和 15VIN)的工作占空比之间,电路会无意间工作在 DCM 下,而在这些占空比以外则工作在 CCM 下。由于两种模式具有不同的控制环路特征,因此如果在多种模式下工作可能会导致适当的不稳定性。
升压转换器可在 CCM、DCM 或这两种模式下工作,主要取决于输入电压和负载。在计算所需的电感以确保 CCM 工作时,必须知道计算中使用的输入电压(或占空比)值。对于具有宽泛输入的设计而言,应使用 2/3 的 VIN/VOUT 比率 (D = 0.33)。现有设计可使用方程 2 计算出的 K 值通过 D(1-D)² 曲线确定工作模式。通过正确调整电感器尺寸,可以避免意外问题发生,并能更好地掌握升压转换器正工作在哪种或哪几种模式下。
John Betten 是德州仪器的应用工程师,也是 TI 科技委员会的资深委员,拥有超过 28 年的 AC/DC 及 DC/DC 电源转换设计经验。John 毕业于匹兹堡大学,获电子工程学士学位,是IEEE 会员。
射频工程师养成培训教程套装,助您快速成为一名优秀射频工程师...
天线设计工程师培训课程套装,资深专家授课,让天线设计不再难...
上一篇:大联大品佳集团推出基于On
Semi
的NCV7707分散式车门电子系统方案
下一篇:非隔离单电感的5-40W内置MOS的LED恒流驱动方案

