- 易迪拓培训,专注于微波、射频、天线设计工程师的培养
TPS92314 THD 设计考虑因素
摘要
TPS92314器件可安装在初级侧稳压和反向拓扑的LED驱动器中。它是一款离线控制器,经过专门设计,拥有初级侧检测、恒定导通时间和准谐振开关技术。TPS92314应用电路具有高功率因数(PF)、优秀的EMI性能和高系统效率。另外,使用TPS92314器件可实现对低外部组件数目应用解决方案的轻松设计。本文叙述了THD和PF的设计考虑以及设计举例。
1引言
THD(总谐波失真)和PF(功率因数)
如果TPS92314器件工作在自适应算法和单级反向拓扑(例如:PMP4347)的恒定导通时间模式下,则PF校正为自带。
具体条件考虑:AC输入电压(RMS):VAC;线压AC频率:fAC;额定功率:Pin输出电压:Vo;变压器匝数比:n=Np/Ns;

此处,延迟时间可在图1中定义。

图1延迟时间定义

考虑峰值电流模式的实用设计时,K应大于m.
方程式2表明,输入电流非完全的SINE波形,但是它包含了高阶谐波元素。
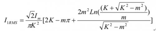
输入总RMS电流可表示为方程式3:

然后:

方程式4
"I1RMS"是输入电流的基础谐波组成。
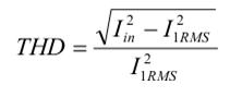
实际上,输入功率来自于输入线路AC电压乘以第一个谐波RMS电流。方程式5表明了总谐波失真(THD):
(方程式5)
图2表明了THD如何随不同"K"而变化。

图2 THD与K(K=Vp/nVo)对比图,图3 THD与m(K=3)对比图
图2表明,增加K会引起THD增加。因此,变压器匝数比n(n=Np/Ns)应高到足以实现更低的K.这样,输入电压越高,THD便越高。
同时,增加m会使THD降低。它意味着,如果在开关关断期间延迟时间增加,则THD降低(参见图3)。
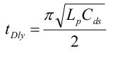
通过增加tDly来增加m是可以的,我们知道:
(方程式6)
因此,更大的Lp或者Cds可改善THD.例如,Cds增加一个电容便可改善THD.根据TPS92314产品说明书,DLY延迟时间可编程为图4所示。

图4 TPS92314延迟时间定义
方程式为:
(方程式7)
其中:KDLY=32MΩ/ns
因此,根据方程式5和方程式6,改进THD结果是可能的。
2 TPS92314环路设计考虑
TPS92314器件使用自适应频率的间断电流模式。图5显示了TPS92314器件的内部结构图。

图5 TPS92314器件的内部结构图
图6显示了TPS92314器件的控制结构图。

图6 TPS92314器件的控制结构图
根据TPS92314产品说明书:

就DCM反向功率级而言,根据参考(3),可以获得图7所示小信号电路

图7 DCM功率级的小信号电路
此处,
(方程式8)
因此,可以得到图8所示完整小信号电路。

图8 TPS92314完整小信号电路
射频工程师养成培训教程套装,助您快速成为一名优秀射频工程师...
天线设计工程师培训课程套装,资深专家授课,让天线设计不再难...
上一篇:具有TRIAC亮度调节功能的7W单级PFC
LED照明设计之一
下一篇:基于英飞凌ICL8002G12W调光非隔离球泡灯解决方案

